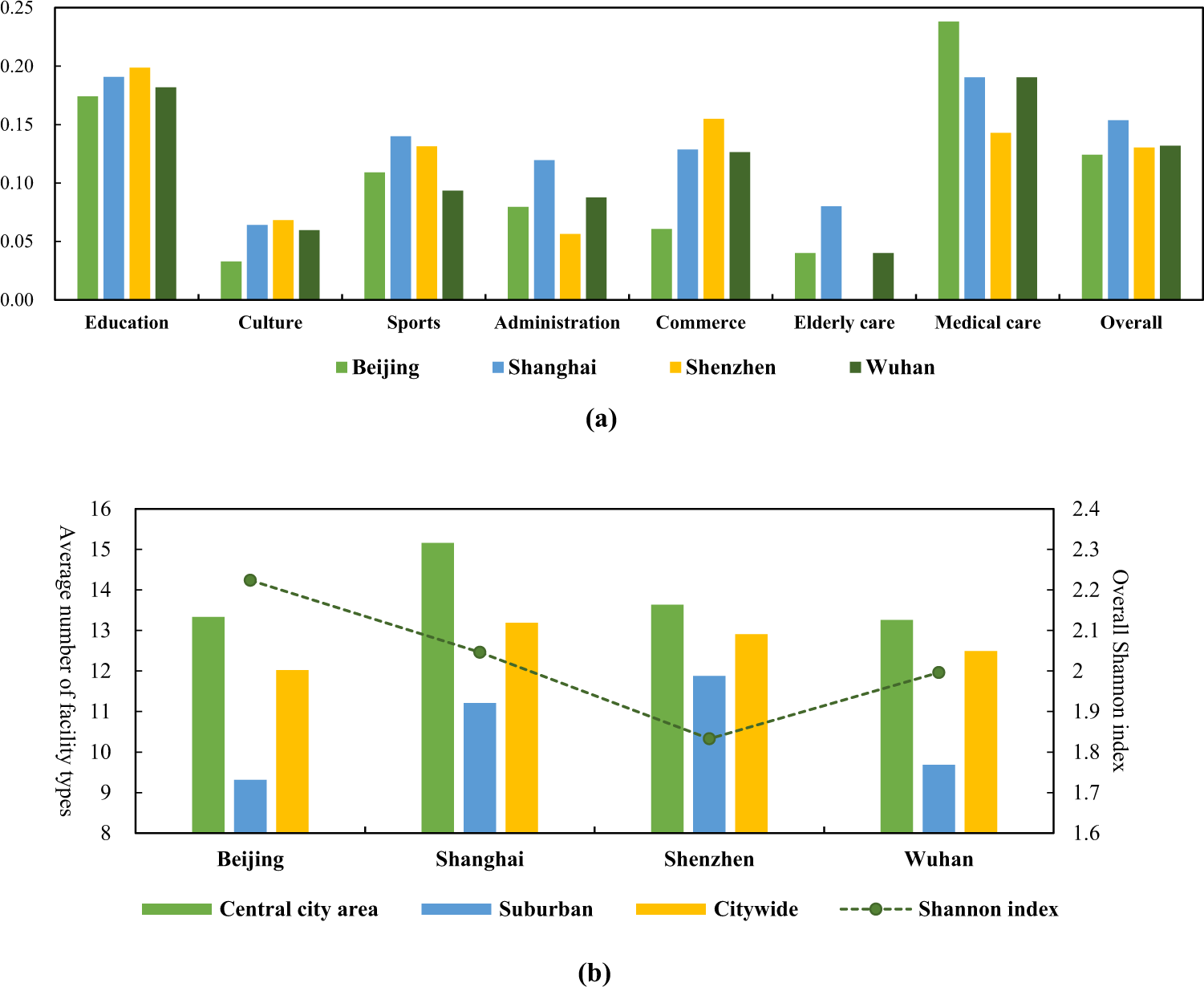
Fig. 6: Accessibility and Diversity index in Beijing, Shanghai, Shenzhen, and Wuhan. | Humanities and Social Sciences Communications