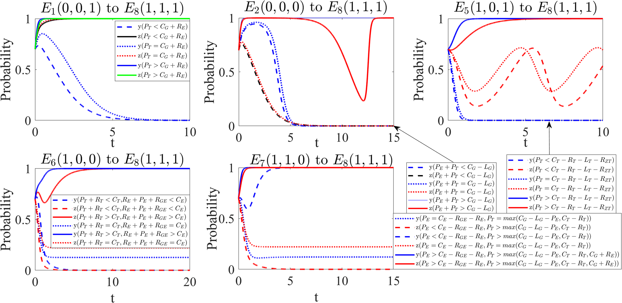
Fig. 7: The switching processes of E8 in model 1. | Humanities and Social Sciences Communications