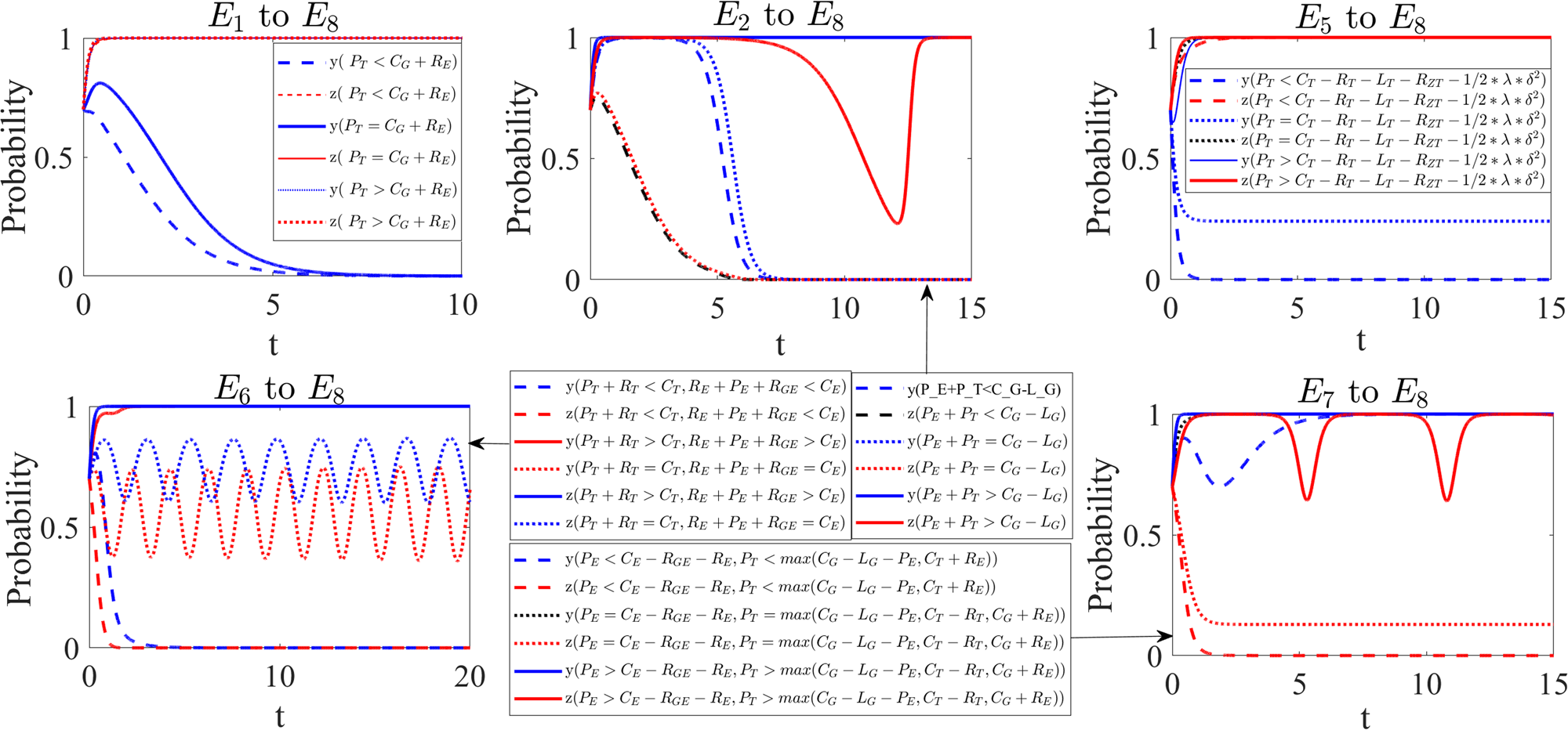
Fig. 8: The switching processes of E8 in model 2. | Humanities and Social Sciences Communications