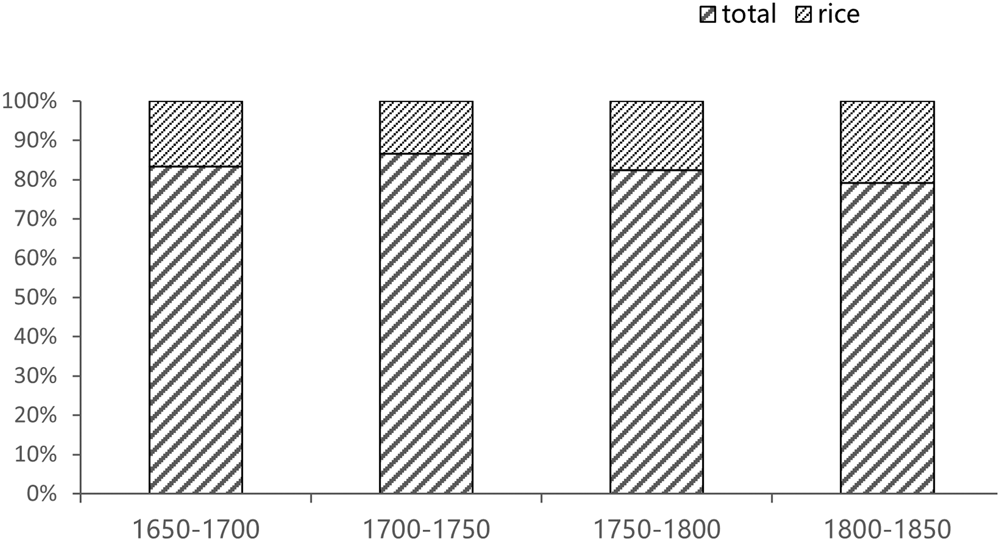
Fig. 4: Rice clubhouse foundations during the Qing dynasty. | Humanities and Social Sciences Communications