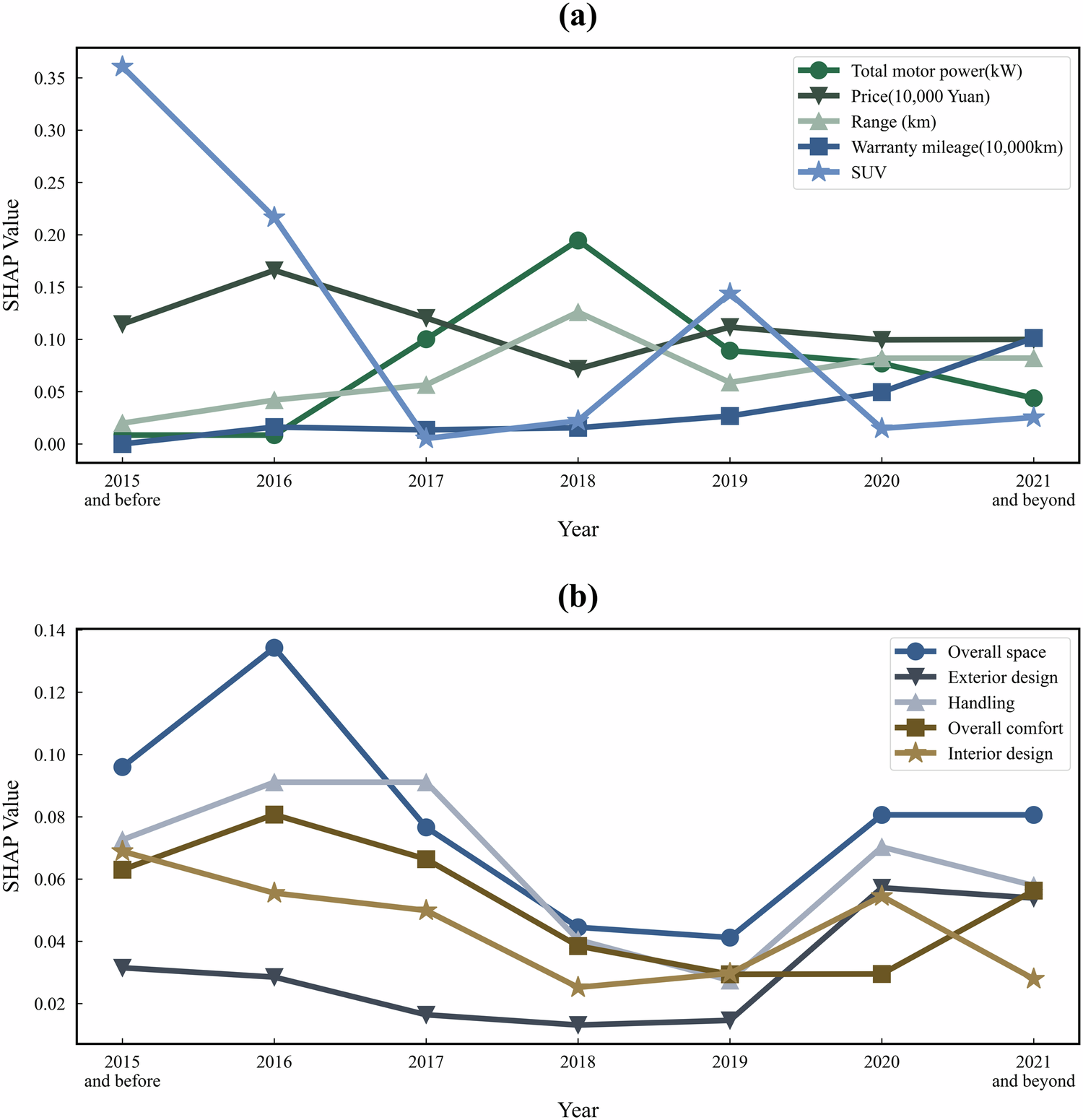
Fig. 5: Temporal trends of the key product attributes.

a Temporal trends of the five core objective product attributes. b Temporal trends of the five core subjective product attributes. In both panels, “2015 and before” on the horizontal axis represents the period from March 2014 to December 2015, and “2021 and beyond” represents the period from January 2021 to February 2022. Each time point on the horizontal axis denotes the average SHAP value over the respective time range.