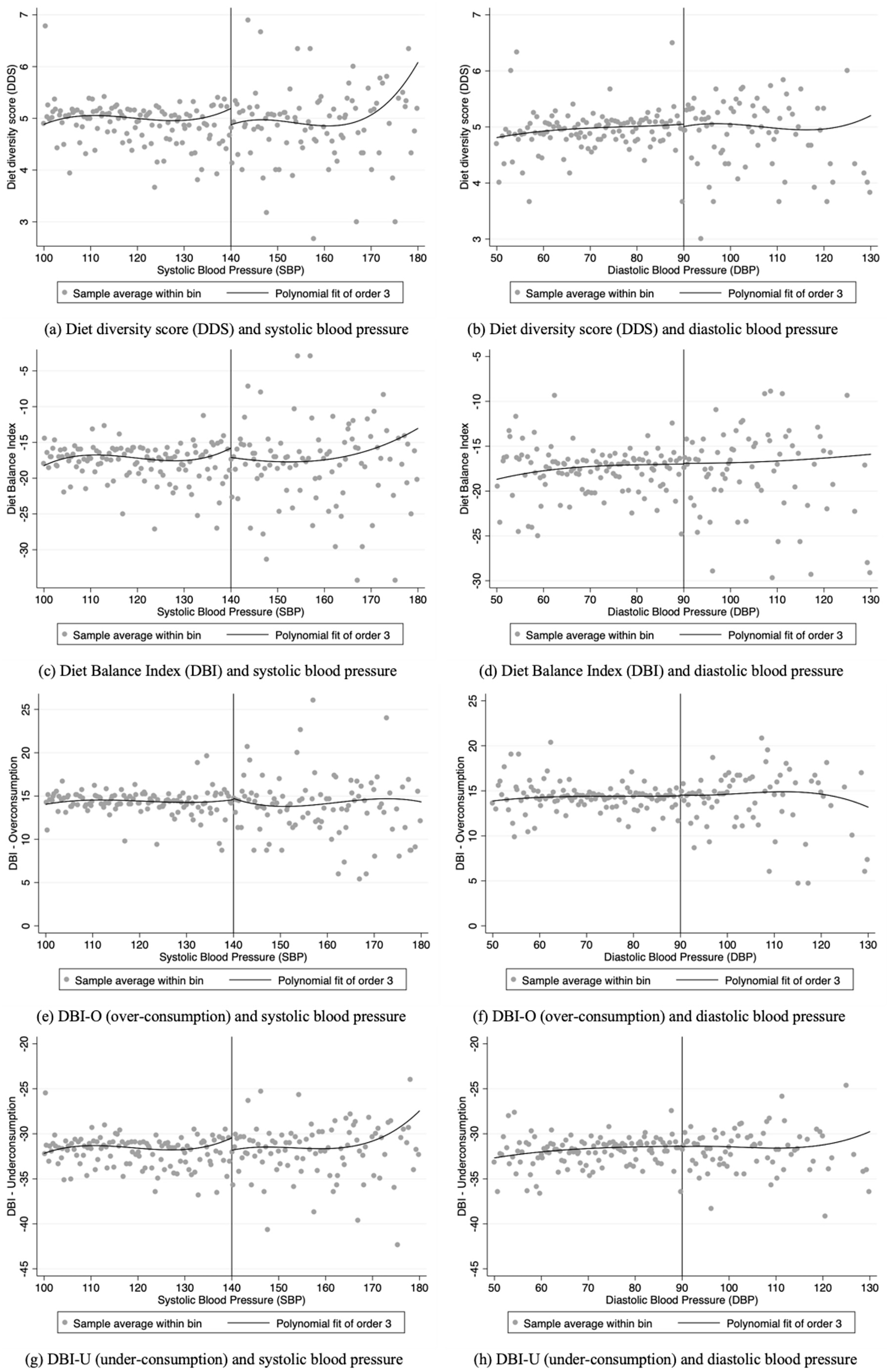
Fig. 3: Relationships between blood pressure and diet structure.

a Diet diversity score (DDS) and systolic blood pressure; b diet diversity score (DDS) and diastolic blood pressure; c diet balance index (DBI) and systolic blood pressure; d diet balance index (DBI) and diastolic blood pressure; e DBI-O (over-consumption) and systolic blood pressure; f DBI-O (over-consumption) and diastolic blood pressure; g DBI-U (under-consumption) and systolic blood pressure; h DBI-U (under-consumption) and diastolic blood pressure.