Fig. 4
From: Evaluating transdisciplinary methods: a new scale for measuring knowledge integration

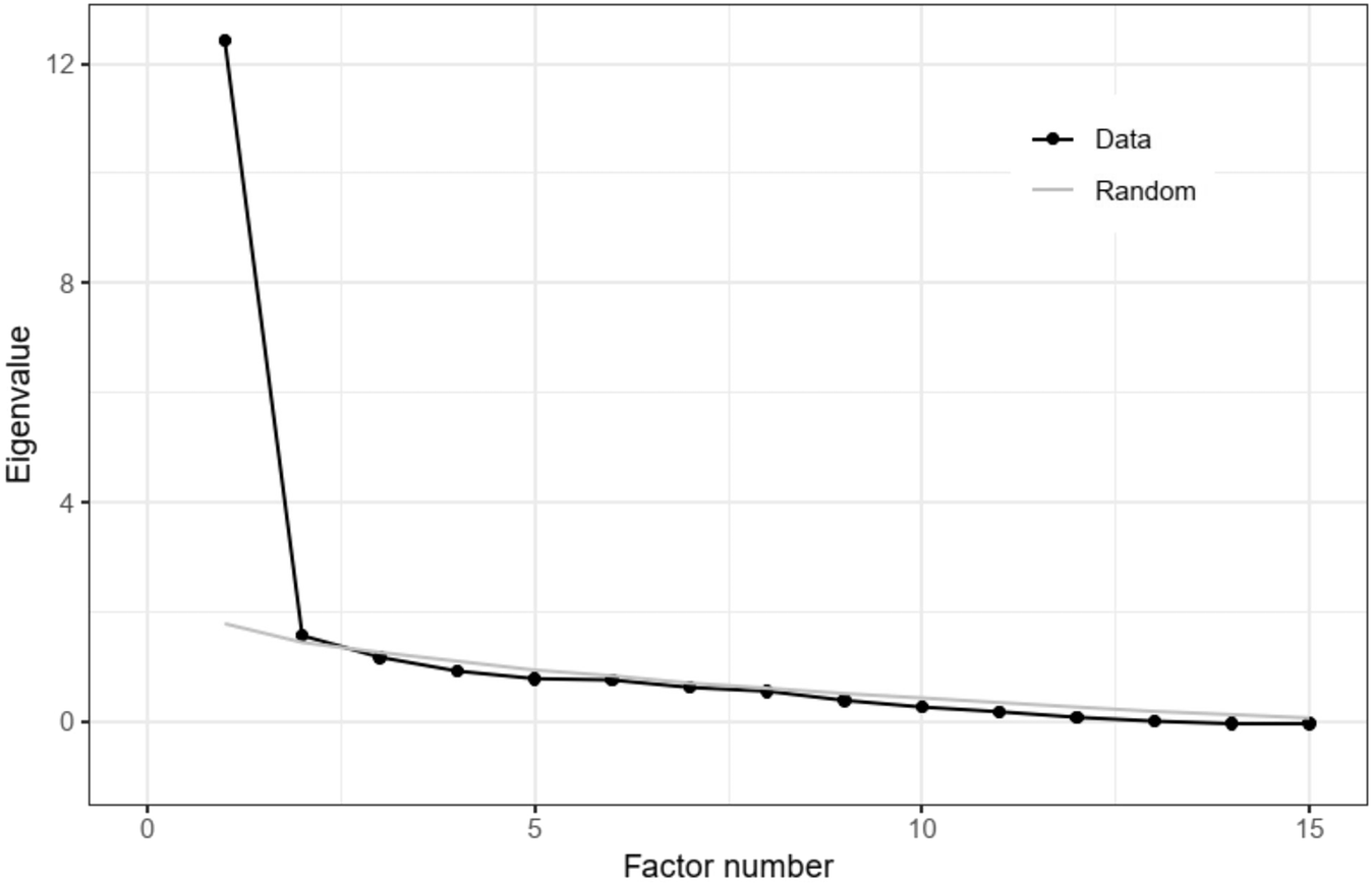
Parallel analysis suggesting two factors, as the eigenvalue for a three-factor model of random data already surpasses the observed eigenvalue for the real data.