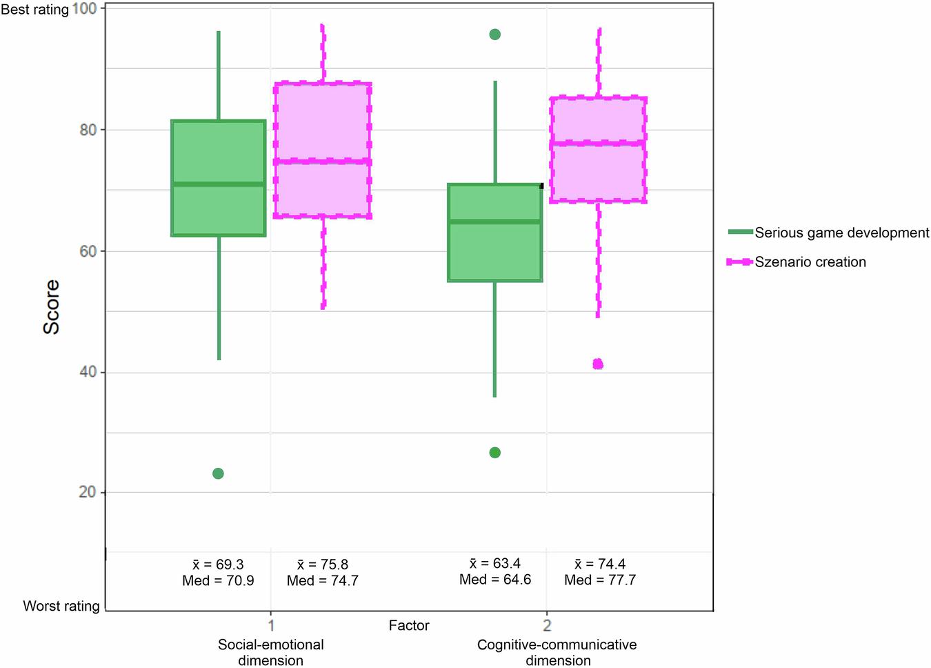
Fig. 5: The two transdisciplinary methods are comparatively evaluated by all actors regarding their integration performance (social and scientific actors), which shows that scenario development scores better than serious games creation in both factors.
From: Evaluating transdisciplinary methods: a new scale for measuring knowledge integration

Factor one (mainly emotional and socio-organizational items) has a wider range, while factor two (cognitive and communicative items) shows a statistically significant difference in favor of scenario development.