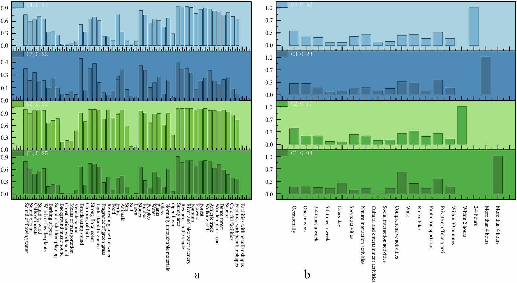
Fig. 5: Response probability maps for each potential category. | Humanities and Social Sciences Communications