Abstract
The stratospheric CO budget is determined by CH4 oxidation, OH-driven loss and atmospheric transport. These processes can be constrained using CO mole fractions and isotopic compositions, with the latter being largely unexplored. We present novel stratospheric observations of δ13C-CO and δ18O-CO vertical profiles, revealing distinct altitude-dependent trends. δ13C-CO decreases with altitude due to inverse 13C kinetic fractionation in the OH sink and 13C-depleted CO from CH4 oxidation. In contrast, δ18O-CO increases with altitude, driven by 18O-rich oxygen from O(1D) via O3 photolysis and CO2 photolysis. Our findings suggest that CO isotopes can act as valuable proxies for quantifying CO production from CO2 photolysis. Incorporating CO mole fractions and isotopic data into global models enhances evaluations of the stratospheric CH4 sink and OH abundance, improving our understanding of stratospheric water vapour and its radiative impacts.
Similar content being viewed by others
Introduction
Carbon monoxide (CO) is important for atmospheric chemistry and climate, mainly via the reaction with the hydroxyl radical (OH)1,2. Its anthropogenic sources include combustion of fossil fuels and biomass burning, which account for about half of its atmospheric budget, while the other half is from atmospheric oxidation of methane (CH4) and other hydrocarbons3. The reaction of CO with OH is the only significant sink of CO in the atmosphere.
Owing to the elemental mass difference, physical and chemical processes occur at different rates for different isotopes (or isotopologues). This phenomenon, known as isotopic fractionation, results in distinct isotope ratios (or signatures) for various sources and their subsequent modification in sink processes. Known signatures of typical sources and sinks were recently summarised by Vimont et al.4 and Dasari et al.5. For example, CH4 oxidation usually produces CO with lowest δ13C and δ18O values, and high temperature combustion processes generally produce CO with higher δ18O6,7,8. Despite being usually small, the variations in these signatures allow for quantification of source strengths using end-member mixing models5,9,10,11. Since these variations are typically small, they are expressed as a relative difference from a reference. For CO, the standard references are VPDB for 13C and VSMOW for 18O.
The variations in the isotope ratio can be used to identify and partition the sources of atmospheric CO12. However, such applications often suffer from insufficient knowledge on the isotope compositions of various sources. For example, the oxygen isotope source signature of CO from CH4 oxidation is uncertain, which complicates the application of isotope data as an emission or source constraint.
A secondary application of CO isotope data is investigating the loss of CH4 in the stratosphere. Contrary to the troposphere, where the main sink of CH4 is the reaction with OH, there are additional loss terms of CH4 in the stratosphere:
The carbon kinetic isotope effects of these reactions are well known13, and using these reactions, observations of CO depleted in 13C in the high southern latitude lower stratosphere could be explained14,15. Note that reactions following R1–3 do not affect 13C/12C of CO as the intermediate products are rapidly and completely oxidised to CO. Reaction R5 is crucial in defining the δ18O signature of CO produced from CH4 oxidation, as pointed out by Weston (2001)16.
Previous attempts to measure the CO isotopic composition at altitudes above 12 km in the stratosphere have been unsuccessful, except for two of our measurements of wildfire smoke at ~13.5 km17, due to the challenging conditions of very low CO mole fractions of 10–15 ppb18 and potential contamination during sampling19. Important questions regarding the isotope budget of CO concern the unknown oxygen isotope source signatures from CH4 oxidation both via the reaction of CH3+O2 and from O(1D) via R3b and R3c, and the importance of transport and oxidation by OH via R4.
Here we present the first in situ high altitude measurements of CO isotopes. We analyse 4 vertical profiles of the stable isotopic composition of CO based on 15 air samples collected between 12 and 25 km altitude using a lightweight stratospheric air (LISA) sampler on a weather balloon in Sodankylä, Finland20. This dataset allows us to explore the processes that cause the observed vertical distributions and infer the unknown source signatures of stratospheric CO originating from the photolysis of CO2. Furthermore, we use atmospheric transport and chemistry modelling to infer the isotope budget of CO, and confirm that oxygen with a very high 18O content is incorporated in a small fraction of the CO, originating from both O(1D) and CO2 photolysis.
Results
Vertical profiles of stratospheric δ18O-CO, δ13C-CO, CO and CH4
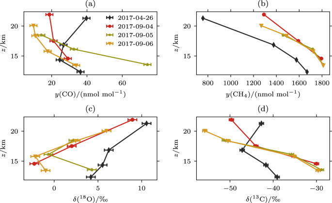
The observed vertical profiles of CO, CH4, δ18O-CO and δ13C-CO shown in Fig. 1 reveal generally decreasing trends with altitude for CO, CH4 and δ13C-CO and increasing trends for δ18O-CO. The vertical profiles of all species on 26 April 2017 are distinct from those obtained in September 2017, in particular through higher δ18O-CO and lower CH4 abundance. The low CH4 mole fraction observed on 26 April 2017 indicates the interception of air descending from high altitudes in the Arctic polar vortex, as reported previously13.
Four vertical profiles of LISA sampler from balloon flights coloured by date: a CO mole fractions, b CH4 mole fractions, c δ18O-CO, (d) δ13C-CO. The uncertainties are reported as standard deviation (1σ), and are 2 ppb for CO, 3 ppb for CH4 and 0.5‰ for δ18O-CO and δ13C-CO, respectively. The uncertainties of CO and CH4 are estimated based on uncertainties associated with five terms: analysis, scale transfer, scale extrapolation, sampling dead volume and storage37. The uncertainties of δ13C-CO and δ18O-CO are estimated from the reproducibility of repeated sample measurements. The uncertainties are smaller than the symbol size for CH4 (b). Note that the profiles of CH4 (b) and δ13C-CO (d) for Sep 5 and Sep 6 are overlapping.
The mole fractions of CH4 and CO decrease with altitude due to their stratospheric sink reactions, R1–3 for CH4 and R4 for CO, respectively. The observed decrease of δ13C-CO with altitude can be explained by the inverse kinetic isotope effect in the CO sink, where 13CO reacts faster with OH than 12CO at low pressures21, and by the strongly 13C-depleted source from CH4 oxidation. Three features here, however, are unexpected. First, large variations among the four profiles in δ13C-CO, δ18O-CO and CO mole fractions are observed above 20 km. Secondly, increasing δ18O-CO values are observed at higher altitudes, although the oxidation of CH4 and the CO sink via OH are expected to yield low δ18O values22. Finally, there is a large enhancement of CO and δ18O-CO in the lowest part of the stratosphere (13.6 km sample) on 5 September. This feature results from wildfire smoke that was transported from British Columbia, Canada, into the stratosphere and was discussed in a previous publication17. The first two features will be elaborated on further in this paper. A comparison to earlier atmospheric observations is made in Supplementary Section 1.1.
Source signatures of δ18O-CO and δ13C-CO originating from the photolysis of CO2
The enhancement of CO observed on 26 April 2017, and the changes in the vertical gradient in general at altitudes above 20 km (pressure < 60 hPa) in Fig. 1a are surprising features: the stratospheric production from methane oxidation cannot explain such large increases23. Meanwhile, deviations in the vertical gradient of δ18O-CO and δ13C-CO (Fig. 1c, d) is also visible. Using the atmospheric chemistry General Circulation Model EMAC (see “Methods” and Supplementary Section 7), we were able to reproduce this feature and attribute it to air transported from the mesosphere, where CO is produced from CO2 photolysis. A case of even stronger CO enhancements of up to 600 ppb, related to polar vortex dynamics, was studied before by Engel et al.24. Our measurements provide a unique opportunity to derive the isotopic source signatures of CO from mesospheric CO2 photolysis using the Keeling plot approach from the three uppermost samples, where this source is dominant. The derivation requires a correction of the integrated effect of isotope fractionation during CO oxidation by OH, which was obtained in a comprehensive simulation with the EMAC model. Ultimately, the obtained source signatures of δ18O-CO and δ13C-CO originating from the photolysis of CO2 are δ18O = 32 ± 2‰ and δ13C = −29 ± 3‰, respectively (see Fig. 2). Through a sensitivity test in the Monte Carlo simulations, we found that a 0.5 per mil uncertainty on the correction for OH fractionation yielded a 1.0 per mill additional uncertainty on the source signature estimate. These signatures indicate a different source than the most common stratospheric source from methane oxidation that would yield lower δ13C-CO and δ18O-CO.
The estimated isotopic composition of CO source mixture derived from measured δ18O-CO and δ13C-CO and corrected for OH sink isotope fractionation vs. the inverse CO mole fraction for the 3 uppermost samples of the dataset above 20 km (pressure < 60 hPa) from April 26, September 4 and 6, 2017. Ordinary least squares regression was performed on the data. The error bars represent the measurement uncertainty of 3 ppb for the CO mole fractions on the axis, with uncertainty propagation used to derive the 1/y(CO) uncertainty. The uncertainty in the CO isotope composition was 0.5 per mil. Both of these uncertainties, in addition to the uncertainty due to the OH correction, are used to estimate the uncertainty in the source signature shown on the PDFs on the left.
Previous estimates of the isotopic source signature of CO from CO2 photolysis are based on either theoretical work25 or lab measurements at very narrow wavelength26, with neither case realistically representing stratospheric conditions. Our derived source signatures are in qualitative agreement with Schmidt et al.25, suggesting a substantial wavelength-dependent fractionation effect that depletes the CO product in both 18O and 13C compared to the CO2 substrate. More recently, a similar effect on the CO from photolysis of CO2 was found for the Martian atmosphere27.
Large amounts of CO derived from mesospheric CO2 photolysis occasionally enter the stratosphere near the polar vortex24. Our simulations suggest that this contribution to the stratospheric CO budget may be significant during summertime, which is consistent with the observed δ13C-CO and δ18O-CO at high altitudes. Examination of the CH4 mole fractions of those samples suggests that this air has not spent a significant amount of time in the mesosphere as this would yield very low CH4 mole fractions. The alternative hypothesis would be the mixture of air from the mesosphere and air that has recently transported to the stratosphere from the troposphere. This, could in principle explain the observed isotope composition, but requires physically implausible long transport timescales in the stratosphere. This leads us to conclude that the deviation of the trend of CO mole fractions with altitude at high altitudes, particularly visible on 26 April 2017, is caused by mixing of mesospheric air into the stratosphere, and that CO2 photolysis may be important for the stratospheric budget CO mole fractions and δ18O-CO.
Origin of the high δ18O-CO: O(1D) and CO2 photolysis
Of particular interest is whether the obtained source signature of CO2 photolysis also explains the observed vertical gradient of δ18O-CO. An additional pathway of 18O -enriched CO production can be found by examining R3b and R3c. Here, the source of the oxygen is O(1D), which in the stratosphere is a product of ozone catalytic cycling, and is expected to have a very large 18O enrichment (~150‰) inherited from ozone28. Using our observations with the aid of the atmospheric model, we can derive the relative importance of the contributions from CO2 photolysis and O(1D) oxidation of CH4 to the final δ18O-CO values.
Our analysis shows that the increasing δ18O-CO with altitude requires contributions from both the O(1D) reaction and CO2 photolysis (Fig. 3). Model simulations that include the O(1D) reaction and CO2 photolysis can reproduce well the observed δ18O-CO signal, except for the lowest, wildfire-influenced sample on 5 September17. When both O(1D) and CO2 photolysis are excluded in the model, the gradient of simulated δ18O with altitude becomes much weaker. The photolysis of CO2 affects mostly the samples at highest altitudes, as it is associated with the transport of air from the mesosphere. Also, the contribution of O(1D) to δ18O-CO is larger at high altitudes than at lower altitudes due to a larger contribution of CH4+O(1D) reaction to CO production (see Supplementary Fig. 2). Although this reaction is a minor contributor (up to ~5%) to the mole fraction of stratospheric CO, its influence on δ18O-CO is pronounced because the CO formed this way carries the very high 18O enrichment from O(1D) that originates from highly 18O-enriched ozone. Thus, the CO from the CH4+O(1D) reaction records unique information in its isotope composition, quantitively linking two important stratospheric processes, namely CH4 oxidation and the enrichment of 18O in O(1D) via ozone.
Simulation results based on the source signatures optimised with the profile observations are shown in orange, results omitting O(1D) in red and results omitting both O(1D) and CO2 photolysis in light yellow. In case a given CO source pathway is disregarded in the computation, it is assumed that its δ18O signature is the same as the one for the CH3+O2 pathway. The error bar of δ18O-CO for September 2017 indicates the standard deviation of the values of three profiles. No error bar is available for April 2017, as one profile does not allow for the calculation of the uncertainty.
The observed isotope composition can only be reproduced in the model if we assume that δ18O signature of CO from CH4+O(1D) pathway is as large as 91‰ (see “Methods” and Table 1). It is expected that stratospheric O(1D) carries such a highly 18O-enriched signature because it is mainly produced from photolysis of ozone29. The δ18O-CO signature derived in this work is comparable to previously inferred δ18O of O(1D)30 and smaller than the estimated value of 150–160‰28, suggesting little room for a large fractionation during the photolysis reaction, as also argued by Zahn et al.28.
Our obtained signature for the reaction CH3+O2 agrees with the first estimate of Stevens et al.31 and also with estimates from an inverse modelling study4. However, it disagrees with earlier estimates of 0‰ derived from isotope budget closure using measurements from the Southern Hemisphere32. Our results can be reconciled with tropospheric estimates only if the effective sink isotope fractionation in CO oxidation by OH is underestimated by Brenninkmeijer et al.32.
Estimating the effect of oxidation of CO by the OH radical on the final CO isotope composition is intricate because of poor constraints on the key parameters defining it. For example, earlier studies assumed insignificance of the OH sink fractionation during an urban investigation4 or an equilibrium between CO sources and sinks32, which would allow for a simplified derivation. The inverse modelling studies using chemical transport and realistically varying OH fields disagree with these assumptions12, as do our results here. Therefore, we conclude that the sink fractionation effect of OH on CO isotopic composition may be significantly different from equilibrium fractionation and care has to be taken in quantifying its spatiotemporal distribution.
Discussion
In the stratosphere, the sink of CH4 is a major source of water vapour, the key contributor to atmospheric radiative forcing, chemistry and dynamics33. However, the strength of stratospheric CH4 sink is yet subject to considerable uncertainty34, which complicates our understanding of the future change of stratospheric water vapour under various scenarios of atmospheric CH4 evolution.
Observations of CO and its isotopic composition can provide an additional way of evaluating the stratospheric CH4 sink and the abundance of OH via discernible influences of these on the δ13C and δ18O of the CO formed in the stratosphere. For example, with the reactions that capture the oxygen from O1D (R3b and R3c) accounting for only 25% of the overall reaction rate R335, our model shows that a 4% increase in the CH4+O(1D) source will result in a 1‰ change in δ18O-CO; At the currently attainable CO stable isotope measurement uncertainty of 0.5‰, one can potentially distinguish changes on the order of 2% in the CH4+O(1D) sink rate. In contrast, a comparable change in the contributions of the other CH4 sink reactions, i.e. with reactants OH and Cl radicals, will not significantly alter the 18O content of CO. On the other hand, the reaction of CH4 with Cl is known to have a significant fractionation effect for 13C (ref. 36), thus small changes in Cl-driven sink may be well detectable in the δ13C of CO. CO2 photolysis has a significant effect on δ18O as well and can be identified through the co-variation of 13C-CO and CO mole fractions, with mutual increase indicating greater input share of CO2 photolysis source.
Our study demonstrates that subsidence of CO produced from mesospheric CO2 photolysis can best explain the observed enhancement of CO in the middle stratosphere, as shown by our model simulations and CO stable isotope observations. Simulations with the EMAC model demonstrate the ability of reproducing the combined chemical and dynamic nature of the observed CO isotope composition. The latter can be successfully employed for a range of atmospheric research problems dealing with trace gas chemistry and effects of CO2 on stratospheric and mesospheric dynamics.
Finally, laboratory studies that quantify the fractionation signatures of the oxygen isotopes from CO2 photolysis and CH4+O(1D) under a wide range of pressures and temperatures are encouraged. With the improved fractionation signatures and the isotopic composition measurements of CO and CO2 on routinely collected air samples using a lightweight stratospheric sampler19, CO stable isotopes will be a useful tracer for diagnosing important chemical reactions involving CH4, CO2 and H2O in the stratosphere.
Methods
Sample collection and analysis
Air samples were collected in Sodankylä (67.368°N, 26.633°E, 179 m.a.s.l.), Finland using a balloon-borne lightweight stratospheric air sampler as described in Hooghiem et al.20. A total of 15 air samples were collected on four individual days, i.e. on 26 April and 4–7 September 2017. The air samples were analysed for mole fractions of CO and CH4 using a cavity ring-down spectrometer in Sodankylä shortly after each flight. The CO and CH4 measurements are reported on the WMO X2014A and X2004A scales, with estimated uncertainties of 2 ppb and 3 ppb, respectively37. The air samples were then transferred and stored in glass flasks, and analysed 2–3 months after collection for δ13C-CO and δ18O-CO using continuous-flow isotope-ratio spectrometry at the Institute for Marine and Atmospheric research Utrecht (IMAU)38. The δ13C-CO and δ18O-CO measurements are reported relative to Vienna PeeDee Belemnite (VPDB) and Vienna Standard Mean Ocean Water (VSMOW), respectively, with estimated uncertainties of 0.5‰ for both. The bias on δ13C-CO measurements due to oxygen mass independent fractionation (MIF) caused by the sink reaction of CO and OH39,40 was estimated using the EMAC results to be less than 0.4‰, and is ignored.
EMAC model simulations
Accurate estimates of the sink fractionation effect and transport of CO isotopologues require use of a comprehensive atmospheric chemistry transport model. Here we employ the EMAC (ECHAM/MESSy Atmospheric Chemistry) general circulation model41 to provide two pieces of information. First, the relative contribution of the CO surface sources and chemical sources/sinks was simulated to understand the CO budget and the global atmospheric distribution at the times of the observations performed by LISA. A kinetic tagging technique42 was used to trace the C and O exchanges between CO, CH4, CO2, O3, O(1D) including all intermediate carbon- and oxygen-bearing species to quantify pathways and contribution of elemental transfer to CO from its principal sources. The kinetic tagging allows distinguishing individual shares of C and O from CH4 oxidation, CO2 photolysis, the pathways involving O(1D), and inheritance of O from principal oxygen reservoirs (ozone, water vapour, molecular O2). Secondly, the magnitude of effective sink fractionation resulting from oxidation of CO by the OH radical and atmospheric transport was obtained.
EMAC simulations were performed at the T63L90MA resolution (middle atmosphere setup with model top at about 80 km, horizontal resolution of about 1.88°) with tropospheric dynamics weakly relaxed towards the analysed meteorology (ECMWF ERA-INTERIM reanalysis43). Relaxation allows close reproduction of realistic meteorological conditions in the troposphere, which is sufficient for accurately simulating stratospheric dynamics (e.g. polar vortex split and mesospheric air intrusions) as well44. Model and trace gas emission setup closely follow that evaluated in Lelieveld et al.45. The model was spun up for 10 years to ensure realistic circulation and tracer distribution in the stratosphere are reached by year 2017. The data for comparison and model-aided analysis was sampled along LISA flight tracks at the highest possible temporal resolution.
Inferring isotopic source signatures
When two different air parcels mix, e.g. CO from a source added to background air, a simple linear relation exists between the inverse of the total mole fraction and the isotope ratio of the mixture expressed as δ value, known as the Keeling approach46. The intercept of the linear regression to the data in the δ - 1/CO space indicates the isotopic signature of the source. This approach is applied to the CO data for the samples collected at highest altitudes, i.e. enhanced CO from CO2 photolysis in the mesosphere, to obtain the CO source signature of CO2 photolysis. It is assumed, and confirmed by the EMAC simulations, that the effect of CO oxidation in the stratosphere was small over relevant timescales. Nevertheless, the fractionation effect would significantly bias the estimated source signature and therefore, a correction was applied before the regression analysis.
Mass balance
An isotopic mass balance equation for CO with multiple sources and a sink in the stratosphere can be approximated as follows:
where i indicates the number of sources, fi is the contribution of a specific source i with source signature δi, and ε is the effective fractionation of the combined sink. With δo from the observations, and f and ε from the EMAC simulations, Eq. (3) can be used to infer the isotopic source signatures of δi. A linear least squares algorithm was used to derive the source signatures while bounding the solutions based on observational constraints from earlier work. To assess the uncertainties associated with the simulated results by the EMAC and observations, a Monte-Carlo simulation was performed, yielding a close to normal estimate of the final uncertainty. Two important assumptions were made. First, the fractionation associated with sources and sink has no large temperature dependence. No data is available to verify or falsify this assumption. In our study, the stratospheric temperature for the collected air samples varies within 7 °C, and the fractionation deduced from the data is a mean value corresponding to a mean integrated temperature record of the sample in the stratosphere. Secondly, it is assumed that the dominant sources of O(1D) and O2 have vertically constant isotopic composition of oxygen. While this is an observed fact for O247, it is close to a rough estimate for O(1D), which is expected to have some altitude dependence inherited from its dominant source O3. However, this is a second order effect on top of the high 18O enrichment, and some variation in δ18O may not be detectable with our current uncertainty.
Data availability
The LISA data are available at https://doi.org/10.34894/YLXRBB.
Code availability
The code is available at https://github.com/JJDHooghiem/JJDH_PhD_code.
References
Logan, J. A., Prather, M. J., Wofsy, S. C. & McElroy, M. B. Tropospheric chemistry: a global perspective. J. Geophys. Res. Oceans 86, 7210–7254 (1981).
Thompson, A. M. The oxidizing capacity of the Earth’s atmosphere: probable past and future changes. Science 256, 1157–1165 (1992).
Zheng, B. et al. Global atmospheric carbon monoxide budget 2000–2017 inferred from multi-species atmospheric inversions. Earth Syst. Sci. Data 11, 1411–1436 (2019).
Vimont, I. J. et al. An improved estimate for the δ13C and δ18O signatures of carbon monoxide produced from atmospheric oxidation of volatile organic compounds. Atmos. Chem. Phys. 19, 8547–8562 (2019).
Dasari, S. et al. Observational evidence of large contribution from primary sources for carbon monoxide in the South Asian outflow. Environ. Sci. Technol. 56, 165–174 (2021).
Kato, S., Akimoto, H., Röckmann, T., Bräunlich, M. & Brenninkmeijer, C. Stable isotopic compositions of carbon monoxide from biomass burning experiments. Atmos. Environ. 33, 4357–4362 (1999).
Brenninkmeijer, C., Röckmann, T., Bräunlich, M., Jöckel, P. & Bergamaschi, P. Review of progress in isotope studies of atmospheric carbon monoxide. Chemosph. Glob. Chang. Sci. 1, 33–52 (1999).
Naus, S., Röckmann, T. & Popa, M. The isotopic composition of CO in vehicle exhaust. Atmos. Environ. 177, 132–142 (2018).
Röckmann, T., Brenninkmeijer, C. A., Hahn, M. & Elansky, N. F. CO mixing and isotope ratios across Russia; trans-Siberian railroad expedition TROICA 3, April 1997. Chemosph. Glob. Chang. Sci. 1, 219–231 (1999).
Tarasova, O. et al. Atmospheric CO along the Trans-Siberian Railroad and River Ob: source identification using isotope analysis. J. Atmos. Chem. 57, 135–152 (2007).
Kirago, L. et al. Sources and long-term variability of carbon monoxide at Mount Kenya and in Nairobi. Atmos. Chem. Phys. 23, 14349–14357 (2023).
Bergamaschi, P., Hein, R., Brenninkmeijer, C. A. & Crutzen, P. J. Inverse modeling of the global CO cycle: 2. Inversion of 13C/12C and 18O/16O isotope ratios. J. Geophys. Res. Atmos. 105, 1929–1945 (2000).
Röckmann, T., Brass, M., Borchers, R. & Engel, A. The isotopic composition of methane in the stratosphere: high-altitude balloon sample measurements. Atmos. Chem. Phys. 11, 13287–13304 (2011).
Brenninkmeijer, C. A. et al. A large 13CO deficit in the lower Antarctic stratosphere due to “Ozone Hole” Chemistry: Part I, Observations. Geophys. Res. Lett. 23, 2125–2128 (1996).
Müller, R., Brenninkmeijer, C. A. & Crutzen, P. J. A Large 13CO deficit in the lower Antarctic stratosphere due to "ozone hole" chemistry: Part II, Modeling. Geophys. Res Lett. 23, 2129–2132 (1996).
Weston, R. E. Oxygen isotope effects in the oxidation of methane to carbon monoxide. J. Phys. Chem. A 105, 1656–1661 (2001).
Hooghiem, J. J. et al. Wildfire smoke in the lower stratosphere identified by in situ CO observations. Atmos. Chem. Phys. 20, 13985–14003 (2020).
Flocke, F. et al. An examination of chemistry and transport processes in the tropical lower stratosphere using observations of long‐lived and short‐lived compounds obtained during STRAT and POLARIS. J. Geophys. Res. Atmos. 104, 26625–26642 (1999).
Gromov, S. & Brenninkmeijer, C. An estimation of the 18O/16O ratio of UT/LMS ozone based on artefact CO in air sampled during CARIBIC flights. Atmos. Chem. Phys. 15, 1901–1912 (2015).
Hooghiem, J. J. et al. LISA: a lightweight stratospheric air sampler. Atmos. Meas. Tech. 11, 6785–6801 (2018).
Stevens, C. et al. The kinetic isotope effect for carbon and oxygen in the reaction CO+ OH. Int. J. Chem. Kinet. 12, 935–948 (1980).
Brenninkmeijer, C., Lowe, D., Manning, M., Sparks, R. & Van Velthoven, P. The 13C, 14C, and 18O isotopic composition of CO, CH4, and CO2 in the higher southern latitudes lower stratosphere. J. Geophys. Res. Atmos. 100, 26163–26172 (1995).
Minschwaner, K. et al. The photochemistry of carbon monoxide in the stratosphere and mesosphere evaluated from observations by the Microwave Limb Sounder on the Aura satellite. J. Geophys. Res. Atmos. 115, https://doi.org/10.1029/2009JD012654 (2010).
Engel, A. et al. Observation of mesospheric air inside the arctic stratospheric polar vortex in early 2003. Atmos. Chem. Phys. 6, 267–282 (2006).
Schmidt, J. A., Johnson, M. S. & Schinke, R. Carbon dioxide photolysis from 150 to 210 nm: Singlet and triplet channel dynamics, UV-spectrum, and isotope effects. Proc. Natl. Acad. Sci. USA 110, 17691–17696 (2013).
Mahata, S. & Bhattacharya, S. Temperature dependence of isotopic fractionation in CO2 photolysis. Chem. Phys. Lett. 477, 52–56 (2009).
Yoshida, T. et al. Strong depletion of 13C in CO induced by photolysis of CO2 in the Martian atmosphere, calculated by a photochemical model. Planet. Sci. J. 4, 53 (2023).
Zahn, A., Franz, P., Bechtel, C., Grooß, J.-U. & Röckmann, T. Modelling the budget of middle atmospheric water vapour isotopes. Atmos. Chem. Phys. 6, 2073–2090 (2006).
Mauersberger, K., Lämmerzahl, P. & Krankowsky, D. Stratospheric ozone isotope enrichments—revisited. Geophys. Res. Lett. 28, 3155–3158 (2001).
Liang, M.-C., Blake, G. A., Lewis, B. R. & Yung, Y. L. Oxygen isotopic composition of carbon dioxide in the middle atmosphere. Proc. Natl. Acad. Sci. USA 104, 21–25 (2007).
Stevens, C. & Wagner, A. The role of isotope fractionation effects in atmospheric chemistry. Z. Naturforsch. A 44, 376–384 (1989).
Brenninkmeijer, C. A. & Röckmann, T. Principal factors determining the 18O/16O ratio of atmospheric CO as derived from observations in the southern hemispheric troposphere and lowermost stratosphere. J. Geophys. Res. Atmos. 102, 25477–25485 (1997).
Solomon, S. et al. Contributions of stratospheric water vapor to decadal changes in the rate of global warming. Science 327, 1219–1223 (2010).
Kirschke, S. et al. Three decades of global methane sources and sinks. Nat. Geosci. 6, 813–823 (2013).
Burkholder, J. et al. Chemical Kinetics and Photochemical Data for Use in Atmospheric Studies, Evaluation Number 19 (Jet Propulsion Laboratory, National Aeronautics and Space, 2020).
Saueressig, G., Bergamaschi, P., Crowley, J., Fischer, H. & Harris, G. Carbon kinetic isotope effect in the reaction of CH4 with Cl atoms. Geophys. Res. Lett. 22, 1225–1228 (1995).
Hooghiem, J. Stable isotopes in stratospheric carbon monoxide. PhD thesis, University of Groningen (2021).
Pathirana, S., Van Der Veen, C., Popa, M. & Röckmann, T. An analytical system for stable isotope analysis on carbon monoxide using continuous-flow isotope-ratio mass spectrometry. Atmos. Meas. Tech. 8, 5315–5324 (2015).
Rockmann, T. et al. Mass-independent oxygen isotope fractionation in atmospheric CO as a result of the reaction CO+ OH. Science 281, 544–546 (1998).
Röckmann, T. & Brenninkmeijer, C. A. The error in conventionally reported 13C/12C ratios of atmospheric CO due to the presence of mass independent oxygen isotope enrichment. Geophys. Res. Lett. 25, 3163–3166 (1998).
Jöckel, P. et al. Development cycle 2 of the modular earth submodel system (MESSy2). Geosci. Model Dev. 3, 717–752 (2010).
Gromov, S., Jöckel, P., Sander, R. & Brenninkmeijer, C. A. A kinetic chemistry tagging technique and its application to modelling the stable isotopic composition of atmospheric trace gases. Geosci. Model Dev. 3, 337–364 (2010).
Berrisford, P. et al. The ERA-Interim archive, version 2.0. (2011).
Jöckel, P. et al. The atmospheric chemistry general circulation model ECHAM5/MESSy1: consistent simulation of ozone from the surface to the mesosphere. Atmos. Chem. Phys. 6, 5067–5104 (2006).
Lelieveld, J., Gromov, S., Pozzer, A. & Taraborrelli, D. Global tropospheric hydroxyl distribution, budget and reactivity. Atmos. Chem. Phys. 16, 12477–12493 (2016).
Keeling, C. D. The concentration and isotopic abundances of atmospheric carbon dioxide in rural areas. Geochim. Cosmochim. Acta 13, 322–334 (1958).
Laskar, A. H., Peethambaran, R., Adnew, G. A. & Röckmann, T. Measurement of 18O18O and 17O18O in atmospheric O2 using the 253 Ultra mass spectrometer and applications to stratospheric and tropospheric air samples. Rapid Commun. Mass Spectrom. 33, 981–994 (2019).
Acknowledgements
This work was supported by the Netherlands Organization for Scientific Research (NWO) and Netherlands Space Office (NSO) with a reference no. ALW-GO/15–10. The work also benefitted from funding by the National Key Research and Development Program of China under grant 2022YFE0209100, the Natural Science Foundation of China (42475115), the EU project RINGO, the ESA project FRM4GHG, and the project of Youth Crossdisciplinary Team of the Chinese Academy of Sciences (No. 2023000126). We are very grateful for the valuable discussion with, and for the encouragement from, Dr. Carl Brenninkmeijer.
Author information
Authors and Affiliations
Contributions
H.C. and J.J.D.H. conceived the study. J.J.D.H. and R.K. collected the stratospheric air samples. J.J.D.H. and M.E.P. performed the stable isotope measurements. J.J.D.H. and S.G. performed the stable isotopes modelling. J.J.D.H., H.C., S.G., T.R. and M.E.P. interpreted the results. J.J.D.H. and H.C. wrote the manuscript with contributions from all co-authors.
Corresponding author
Ethics declarations
Competing interests
The authors declare no competing interests.
Additional information
Publisher’s note Springer Nature remains neutral with regard to jurisdictional claims in published maps and institutional affiliations.
Rights and permissions
Open Access This article is licensed under a Creative Commons Attribution 4.0 International License, which permits use, sharing, adaptation, distribution and reproduction in any medium or format, as long as you give appropriate credit to the original author(s) and the source, provide a link to the Creative Commons licence, and indicate if changes were made. The images or other third party material in this article are included in the article’s Creative Commons licence, unless indicated otherwise in a credit line to the material. If material is not included in the article’s Creative Commons licence and your intended use is not permitted by statutory regulation or exceeds the permitted use, you will need to obtain permission directly from the copyright holder. To view a copy of this licence, visit http://creativecommons.org/licenses/by/4.0/.
About this article
Cite this article
Hooghiem, J.J.D., Gromov, S., Kivi, R. et al. Isotopic source signatures of stratospheric CO inferred from in situ vertical profiles. npj Clim Atmos Sci 8, 110 (2025). https://doi.org/10.1038/s41612-025-00986-1
Received:
Accepted:
Published:
Version of record:
DOI: https://doi.org/10.1038/s41612-025-00986-1





