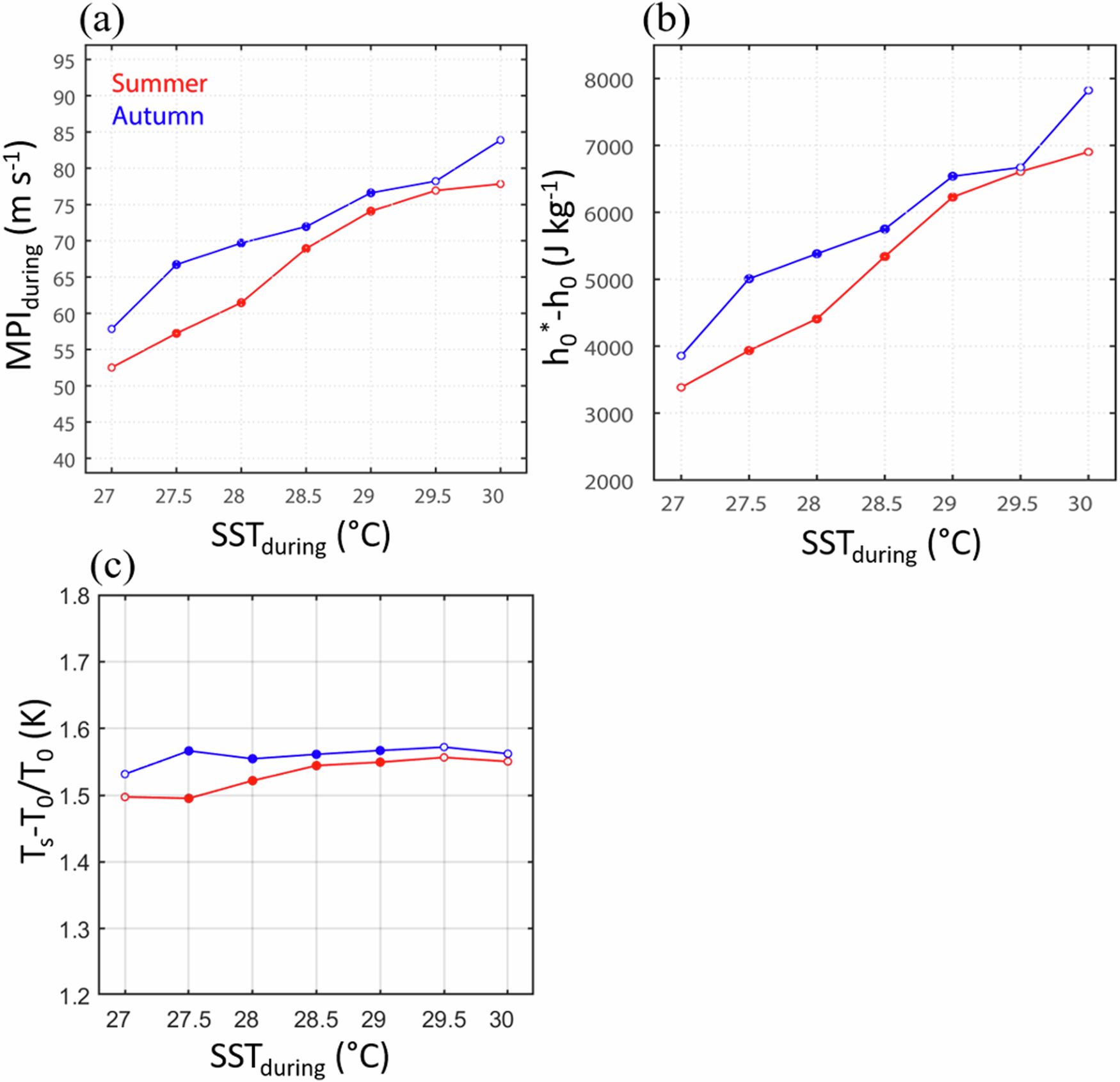
Fig. 5: Comparison of seasonal MPI varitions during TC.
From: Mechanism driving stronger tropical cyclones in cooler autumn than the hottest summer

a TC maximum potential intensity (MPIduring) and its components. b thermodynamic disequilibrium term and (c) thermodynamic efficiency term against SST underneath a TC (SSTduring) in the summer (red line) and autumn (blue line) seasons. The means of value are calculated at each 0.5 °C bin for SSTduring between 27 °C and 30 °C, similar to the methodology adopted in previous study126. The filled circle denotes that the differences in the summer and the autumn seasons are statistically significant at 95% confidence level.