Abstract
Large uncertainties still exist in the estimation of black carbon (BC) radiative forcing due to incomplete representation of BC optical properties. To address this, this study employed the AI-based nonspherical aerosol optical scheme (AI-NAOS), coupled with the Community Atmosphere Model version 6 (CAM6), to comprehensively estimate the optical properties of the aging BC and its direct radiative effect (DRE). The AI-NAOS was obtained from a database of accurate optical properties of encapsulated fractal aggregates computed from the invariant imbedding T-matrix method (IITM). With this scheme, the aging progress of BC in the CAM6 can be explicitly resolved by the volume fraction and the optical properties can be efficiently inferred from the deep neural network (DNN) in real time. Based on decadal-long simulations from 2010 to 2020, the BC DRE of fractal aggregates was estimated to be +0.3 w/m2 globally and +1.3 w/m2 over East Asia, representing decreases of 40.0% and 38.1%, respectively, compared to spherical assumptions. Additionally, an idealized scenario was considered where BC quantities were increased tenfold. In this scenario, the aging process was minimized due to insufficient hygroscopic aerosols for encapsulating BC aerosols. Compared to the normal scenario, the incremental ratio of radiative effects based on the fractal aggregate model was 11.1 globally and 9.1 over East Asia, whereas it was 7.6 globally and 5.3 over East Asia based on spherical assumptions. These results indicate that, compared to spherical assumptions, stronger enhancement of BC DRE could be produced using more realistic models in scenarios with higher BC emission. Whether the radiative effect is reduced or enhanced using realistic particle models depend on the competing roles of particle nonsphericity and encapsulation (lensing effect) in influencing BC absorption capabilities.
Similar content being viewed by others
Introduction
Black carbon (BC) is regarded as one of the most important components in the atmosphere, contributing strongest global warming effect among all aerosol species by absorbing solar radiation1. Aerosol direct radiative effect (DRE), defined as the difference of net radiative flux caused by aerosol scattering and absorption, is commonly used to account for the warming effect2. There are plenty of works on the estimation of BC DRE while large uncertainties still exist due to incomplete modeling on BC emissions and optical properties3,4,5,6,7.
Optical properties, namely, the extinction efficiency (qext), the single scattering albedo (\({\rm{\omega }}\)) and the asymmetry factor (g), are key parameters used to quantify the capability of particle scattering and absorption8. There are multiple significant factors in determining optical properties, such as refractive index, particle size, mixing state and morphology9,10,11,12,13. Among various weather and climate models, simplified spherical models are widely applied for aerosol optical parameterization, leading to large uncertainties in aerosol optical properties14,15,16.
According to observations from transmission electron microscopy, BC particles are chain-like fractal aggregates consisting of numerous monomers17. The morphology of bare fractal aggregates could be described by the fractal law as follows18.
where Ns is the monomer number, k0 is the scaling factor, Df is the fractal dimension, R is the mean monomer radius, and Rg is the radius of gyration. During atmospheric transport, BC particles can interact with other hygroscopic aerosols like sulfate and organic carbon, being encapsulated with hygroscopic coating. The coating thickness increases and the particle structure becomes more compact with the exposure time increasing, which is called as the aging process19,20. Going through an aging process, BC particles generally change from newly emitted bare fractal aggregates with loose structure and low Df value to encapsulated fractal aggregates with compact structure and high Df values21.
The primary reason for applying simplified spherical models instead of morphologically realistic models is the complexity of computing the optical properties of nonspherical particles and the unaffordable computational time. Although the Lorenz-Mie theory offers an analytical solution of the optical properties for spherical particles, practically, precalculated tables are integrated into climate models to speed up the computation process8,22. With the advancement of computational electrodynamics, the optical properties of particles with complex morphologies, such as fractal aggregates, can now be more efficiently calculated using numerical algorithms, such as the Discrete Dipole Approximation method (DDA)23, the Multiple Sphere T-matrix method (MSTM)24, and the Invariant Imbedding T-matrix method (IITM)25,26,27,28. Although the computational efficiency of these electromagnetic scattering algorithms is far from sufficient to implement real-time optical properties calculation, aerosol optical parameterization in climate models based on a single-scattering database has become achievable.
For example, considerable effort has been devoted to improving BC optical properties parameterization29,30. Precalculated databases of aerosol optical properties were adopted to overcome difficulties in time cost. Andersson and Kahnert31 have built a look-up table of bare fractal aggregates using the MSTM method, integrating it into Multiple-scale Atmospheric Transport and CHemistry modeling system version 5.5.0 (MATCH). Chen et al.32 have constructed a multidimensional dataset of encapsulated fractal aggregates within various mixing states through the DDA method, implementing real-time optical properties calculation by the look-up table method in Community Atmosphere Model version 6 (CAM6). Recently, we have established a database of encapsulated fractal aggregates using the IITM method33. Since the IITM method was more efficient than the DDA method, much more samples were included in this database, making it feasible to train a deep neural network (DNN). The deep learning method has been confirmed to be a useful method to infer aerosol optical properties, for spherical and nonspherical particles34,35,36. To facilitate application, we have developed an AI-based nonspherical aerosol optical scheme (AI-NAOS) for the mesoscale version 5.1 of Global/Regional Assimilation and Prediction System with Chinese Unified Atmospheric Chemistry Environment (GRAPES_Meso5.1/CUACE), inferring optical properties using DNNs for multiple aerosol optical models37.
However, the aging effect on the optical properties of BC has not been adequately considered in weather and climate models. In aforementioned studies, BC was modeled as fractal aggregates with a fixed Df value or as a mixture of fractal aggregates with different Df values but equal weightings. The development of AI-NAOS now enables the incorporation of the aging process into aerosol optical parameterization by characterizing BC particles with a dynamic fractal dimension. To enhance the performance of AI-NAOS, this study substantially expanded the database of BC optical properties to include encapsulated fractal aggregates with multiple fractal dimensions. A new DNN for inferring optical properties was trained using this updated database. This deep learning method is not limited to specific wave bands or aerosol size bins, providing the AI-NAOS module with sufficient flexibility to be coupled with various radiative transfer schemes in multiple weather/climate models. In this study, we integrated the AI-NAOS into the CAM6 model, conducting climate-scale simulations to assess the impact of aging on the optical properties and the DRE of BC.
In the subsequent sections of this paper, we will elaborate on the establishment of the database of the optical properties and the integration of the AI-NAOS module with the CAM6 model. In “”Discussion”, we will compare the optical properties of spherical and fractal models, along with analyzing the BC DRE in real-case simulation using the CAM6 model. Lastly, in “Methods”, we will summarize this study.
Results
Comparision of optical properties
Firstly, it was crucial to determine the differences in bulk optical properties between encapsulated fractal aggregates and volume-mixing spheres. An additional dataset was built using the IITM algorithm and the Lorenz-Mie theory. The complex refractive indices of BC and hygroscopic aerosols were set to be 1.33 + 0i and 1.95 + 0.79i, respectively. The mean volume-equivalent spherical radius of BC was ~0.1 µm. As the energy of solar radiation was mainly in photosynthetically active radiation band, ranging from 0.4 to 0.7 µm, the size parameters of BC ranging from 0.5 to 1.5 were used for evaluation. Furthermore, three fractal dimensions of 1.8, 2.1, and 2.4 and four volume fractions of 1.0, 0.6, 0.3, and 0.1 were considered to assess the effect of nonsphericity and inhomogeneity.
As shown in Fig. 1, the extinction efficiency of spheres was generally larger than that of encapsulated fractal aggregates. Among the fractal models, those with more compact structure (i.e., larger Df value) showed higher extinction efficiency. Essentially, the spherical model can be considered a fractal model with the most compact structure, processing the largest fractal dimension of 3.038. The differences between fractal and sphere models were evident when BC particles were partially encapsulated (vf = 0.3, 0.6) but less so when they are mostly coated (vf = 0.1). Regarding single scattering albedo, particles with a looser structure showed a smaller SSA when BC particles were bare or partially encapsulated. Conversely, when BC was mostly coated, the spherical model induced the smallest SSA value, while the loosest structure showed the largest SSA value. Therefore, for bare or partial encapsulated particles, the extinction efficiency increased while the fraction of absorption decreased as the particles aged. Generally, the asymmetry factor of the spherical model was smaller than that of encapsulated fractal aggregates. For bare particles, the asymmetry factor of fractal aggregates was largest when the fractal dimension was 2.1. For encapsulated particles with a volume fraction of 0.3, the asymmetry factor decreased along with the fraction dimension.
The complex refractive indices of black carbon and hygroscopic aerosols are 1.33 + 0i and 1.95 + 0.79i, respectively.
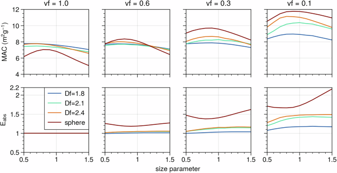
Furthermore, it is beneficial to evaluate additional optical properties, namely mass absorption cross section (MAC) and absorption enhancement (Eabs). MAC quantifies the absorption ability of BC and is defined as absorption cross section per unit mass. Eabs, which quantifies the lensing effect, can be calculated by the ratio of absorption cross section of encapsulated BC particles to that of the bare BC particles. The formulas are as follows:
where \({C}_{{abs}}\) is the absorption cross section of encapsulated BC particles, massbc is the mass of BC portion of the particle, and \({C}_{{abs}}^{{\prime} }\) represents the absorption cross section of bare BC particles.
As shown in Fig. 2, the Eabs values were higher for particles with more compact structures, as a greater portion of the particle was coated by the hygroscopic aerosols, inducing a stronger lensing effect. Specifically, when the size parameter was 1.0 and the volume fraction was 0.3, the Eabs values were 1.03, 1.13, 1.15, and 1.40 for fractal particles with Df values of 1.8, 2.1, 2.4 and spherical particles, respectively. For bare particles (vf = 1.0), the MAC values of these four kinds of particles were 7.6, 7.3, 7.5, and 6.8 m2/g, respectively. This indicates that freshly emitted bare BC particles with a loose structure may exhibit stronger absorption. However, contrary results were found for aged particles with compact structure. When BC particles were partially encapsulated (vf = 0.3), the MAC values were larger due to the stronger lensing effect, with values of 7.8, 8.3, 8.6, and 9.6 m2/g, respectively. Therefore, the absorption of BC particles is influenced by two effects: the lensing effect and the nonsphericity effect. The significance of the two effects changes during the aging process.
The complex refractive indices of black carbon and hygroscopic aerosols are 1.33 + 0i and 1.95+0.79i, respectively.
Evaluation of the deep neural network
To evaluate the DNN model, ~100,000 samples were randomly selected from the test set. The top panel of Fig. 3 compared the true values from the test set and the values inferred by the DNN model. Three measures were used: the root mean square error (RMSE), mean absolute error (MAE), and the coefficient of determination (R2). The R2 values of extinction efficiency, single scattering albedo, and asymmetry factor were all ~1.0, indicating an excellent fit between inferred and true values. The RMSE values of these three optical properties were 2.2\(\times\)10−2, 3.2\(\times\)10−3, and 2.3\(\times\)10−3, while the MAE values were 1.6\(\times\)10−2, 2.3\(\times\)10−3, and 1.7\(\times\)10−3, respectively. The errors of predicted optical properties were sufficiently small.
a–c The scatter points indicate a comparison between the true values from the test set and the DNN inferred values. d–f Probability density function (PDF) of the relative errors.
The probability density function (PDF) of the relative error for the three optical properties, shown in Fig. 3’s bottom panel, also showed good agreement between DNN inference and true values. Most samples had a relative error within 5%. Specifically, 85.6%, 86.9%, and 94.7% of the samples had a relative error of less than 1% for three optical properties, respectively. Overall, the DNN performed well in inferring optical properties.
Simulation of direct radiative effect
Aerosol direct radiative effect refers to the difference of radiation flux resulting from aerosol scattering and absorption, which is directly influenced by optical properties. It is essential to assess aerosol optical properties for understanding the aerosol-radiation interactions. Compared to scattering, BC absorption has a more profound influence on DRE, which can be quantified through the absorption aerosol optical depth (AAOD) defined as follows5:
where m is the index of the aerosol mode (the Aitken mode, accumulation mode, coarse mode, and primary carbon mode), p is the index of the aerosol particle (specific aerosol types for each aerosol mode are given in Fig. 8), N is the number concentration of aerosol particle, Rv is the volume-equivalent spherical radius of aerosol particle, bext is the extinction coefficient, z is the height above ground, and HTOA is the height of top of the atmosphere (TOA).
The BC AAOD was estimated using CAM6 simulations, determined by comparing test experiments with control experiments. By comparing EXP1 and EXP2, the nonsphericity effect of encapsulated fractal aggregates was assessed in a real scenario, where the volume fraction and the fractal dimension were based on actual BC emission. Additionally, a monthly mean dataset within assimilated aerosol diagnostics (M2TMNXAER) in Modern-Era Retrospective analysis for Research and Applications, version 2.0 (MERRA-2), was also adopted for comparison with BC AAOD39.
Figure 4 illustrates the spatial distributions of BC AAOD, estimated by MERRA-2 (Fig. 4a) and CAM6 simulations with the AI-NAOS (Fig. 4b) and MAM4-OP (Fig. 4c) schemes, averaged from 2011 to 2020. High BC AAOD values are observed in regions with significant anthropogenic and natural BC emissions, such as East Asia (103°E–123°E, 22°N–42°N), South Asia (65°E–95°E, 20°N–35°N), West Africa (20°W–30°E, 10°S–15°N), and South America (70°W–45°W, 5°S–30°S). Spatially averaged values for these four regions as well as globally averaged value (multiplied by 103) are compared in Fig. 4d. The global mean AAOD values for MERRA-2, CAM6 simulations with AI-NAOS, and CAM6 with MAM4-OP were 4.3, 3.2, and 4.7, respectively. In anthropogenic BC emission-dominant regions, the values were 22.8, 22.5, and 27.5 for East Asia, and 15.8, 14.6, and 20.2 for South Asia. In natural BC emission-dominant regions, the values were 16.2, 11.7, and 17.1 for West Africa, and 7.9, 4.8, and 7.4 for South America.
Global distribution of 9-year mean BC AAOD based on (a) MERRA2, (b) AI-NAOS, and c MAM4-OP. d Global and regional spatial averages of AAOD (multiplied by 103) across the four chosen areas.
With the AI-NAOS scheme, the BC AAOD estimations decreased due to a weaker lensing effect of fractal aggregates, being 68.1% of the result under MAM4-OP on a global scale. The percentage varied slightly across the four regions, being 81.8%, 72.3%, 68.4%, and 64.9%, respectively. Compared to MERRA-2, the AI-NAOS underestimated BC AAOD, while MAM4-OP overestimated it. The MERRA-2 results align more closely with the AI-NAOS over anthropogenic BC emission-dominant regions and with the MAM4-OP in natural BC emission- dominant regions.
Figure 5 illustrates the BC DRE estimation of the AI-NAOS scheme at TOA, within the atmosphere (BC absorption), and at surface. It also shows the differences between the AI-NAOS and the MAM4-OP schemes. The spatial distribution of BC absorption mirrors that of BC AAOD, primarily concentrating in the four specific regions. As AAOD decreased, BC absorption weakened within the AI-NAOS scheme.
a BC DRE at TOA, (c) BC absorption within the atmosphere (Atmo. Abs.), (e) BC DRE at the surface, estimated by the AI-NAOS scheme. b, d, f differences between the AI-NAOS and MAM4-OP schemes.
The global average of BC absorption was +1.1 w/m2 with the AI-NAOS scheme, which was −0.5 w/m2 smaller than that of the MAM4-OP scheme. Over the four selected regions, the values of the AI-NAOS scheme were +6.8, +5.0, +4.3, and +2.0 w/m2, respectively, which were −2.2, −2.1, −2.0, and −0.9 w/m2 lower compared to the MAM4-OP scheme. The nonsphericity effect reduced the BC absorption, reaching 31.3% globally averaged and ranging from 24.4% to 31.7% over the four selected regions.
Due to BC absorption, less solar radiation reaches the surface or is backscattered to space, inducing a positive DRE at TOA but a negative DRE at the surface. Globally, with the AI-NAOS and the MAM4-OP schemes, the positive BC DREs at TOA were + 0.3 and +0.5 w/m2, respectively, while the negative BC DREs at the surface were −0.8 and −1.2 w/m2. Over the four selected regions, the DRE values at TOA were +1.3, +1.1, +1.3, and +0.6 w/m2 with the AI-NAOS scheme, which were changed by −0.8, −0.4, −0.9, and −0.2 w/m2 due to the nonsphericity effect, respectively. The DRE values at the surface under the AI-NAOS scheme were −5.5, −3.8, −3.0, and −1.4 w/m2, which were increased by +1.4, +1.7, +1.1, and +0.6 w/m2 due to the nonsphericity effect, respectively. Consequently, the nonsphericity effect weakened the BC DRE by 25.0% to 40.9% at TOA and by 20.3% to 30.9% at the surface. Overall, the nonsphericity of encapsulate fractal aggregates had a non-negligible effect on the estimation of BC DRE.
Assessment of the aging process
Idealized experiments, EXP3 and EXP4, were conducted to evaluate the importance of fractal aggregate aging. In these experiments, the aging process was mitigated by increasing the quantity of BC tenfold for both the AI-NAOS and MAM4-OP schemes. Consequently, BC particles exhibited minimal aging with an extremely thin coating, as the volume fraction approached 1.0.
Figure 6 depicts the ratio of the idealized case to the normal scenario for AAOD, BC absorption, and BC DRE at TOA. On a global scale, the ratios were 11.1 and 7.2 for AAOD, 12.0 and 7.9 for BC absorption, and 11.1 and 7.6 for DRE at TOA, with the AI-NAOS and MAM4-OP schemes, respectively. Among four focused regions, the ratios ranged from 8.6 to 11.8 and 5.8 to 7.8 for AAOD, 8.4 to 10.2 and 5.8 to 7.6 for BC absorption, and 7.7 to 10.4 and 4.6 to 6.6 for DRE with the two optical parameterizations.
The ratio (EXP3/EXP1, EXP4/EXP2) of (a) AAOD, (b) BC absorption, and c BC DRE at TOA.
It was clear that the increments in AAOD, BC absorption, and DRE, were greater with the AI-NAOS scheme compared to the MAM4-OP scheme. Specifically, over East Asia, the incremental ratio of DRE for fractal aggregates reached 9.1, while for the spherical model, it was only 5.3. In the normal scenario with typical aging process, BC optical properties were primarily influenced by the lensing effect, leading to stronger BC absorption and DRE under the MAM4-OP scheme with spherical models. However, in the idealized scenario without BC aging, the nonsphericity effect was more important as the lensing effect was nearly absent. Therefore, with the AI-NAOS scheme, stronger BC absorption and DRE were observed due to the higher MAC of fractal aggregates compared to spherical particles. Overall, incorporating the aging process into aerosol optical parameterization is crucial for accurate estimation of BC DRE.
Discussion
The AI-based nonspherical aerosol optical scheme has been updated to incorporate the aging process of black carbon. In this new version of the AI-NAOS scheme, BC particles are modeled as encapsulated fractal aggregates, and the aging progress is explicitly resolved through the coating thickness or volume fraction. As the particles age, the fraction dimension increases while the volume fraction decreases, ranging from 1.8 to 2.4. This updated scheme has been on-line coupled with the climate model CAM6, replacing the original optical parameterization of the modal aerosol module MAM4.
A comprehensive database of optical properties for encapsulated fractal aggregates has been developed using the IITM algorithm. The database includes numerous values of complex refractive indices, size parameters, and volume fractions along with seven fractal dimension values to represent aging BC particles. The bulk optical properties were computed based on a log-normal size distribution. Compared to the spherical model using volume-mixing, encapsulated fractal aggregates exhibit lower extinction efficiency and single scattering albedo. When BC particles are bare, the mass absorption cross section decreases with increasing fractal dimension, reaching its minimum value in the spherical case. Conversely, when BC particles are partially encapsulated, the MAC increases as the particle structure becomes more compact, enhancing the lensing effect.
A multiple-target deep neural network has been trained to infer bulk optical properties of encapsulated fractal aggregates with varying fractal dimensions, using the database of bulk optical properties. This DNN demonstrated excellent performance in the test set, with R2 values near 1.0, indicating strong agreement between inferred and true values. The relative error remained within 5% for most samples and within 1% for 85% of the samples. This DNN was integrated into the AI-NAOS scheme for real time inference of optical properties of encapsulated fractal aggregates with fractal dimension calculated based on aerosol mixing states.
Decadal-scale simulations were conducted using the CAM6 model to estimate the direct radiative effect of BC. Four test experiments were considered: the AI-NAOS scheme and the MAM4-OP scheme under both real and idealized scenarios.
In the real scenario, BC particles aged by becoming encapsulated with hygroscopic aerosols and forming compact structures with large fractal dimension. The AI-NAOS scheme resulted lower BC AAOD, which is 68.1% of the MAM4-OP scheme’s global estimate. This difference was attributed to the weaker lensing effect of fractal aggregates compared to spheres. Over regions with high BC emissions, the ratio ranged from 64.9% to 81.8%. Better agreement between AI-NAOS and MERRA2 estimation was found over East Asia and South Asia, where anthropogenic BC emission is dominant.
Therefore, the DRE was reduced along with the lower AAOD. In the AI-NAOS scheme, with a weaker lensing effect, the BC absorption was estimated to be +1.1 globally and +6.8 w/m2 over East Asia, representing decreases of 31.3% and 24.4%, respectively. The BC DRE at TOA was estimated to be +0.3 globally and +1.3 w/m2 over East Asia, decreased by 40.0% and 38.1%, respectively.
In the idealized scenario, increasing the BC quantity 10 times result in nearly bare and loose BC with a small fractal dimension. That means, the aging process associated with encapsulation is negligible. Consequently, the lensing effect was nearly eliminated, and the nonsphericity effect became dominant. With the AI-NAOS scheme, the AAOD increased by 11.1 and 8.6 times globally and over East Asia, respectively, while the ratios with the MAM4-OP were 7.2 and 6.0. This larger increase with the AI-NAOS scheme can be attributed to larger MAC induced by nonspherical fractal particles compared to spherical ones. As a result, the incremental ratio of BC DRE was 11.1 and 9.1 for fractal aggregates globally and over East Asia, respectively, compared to 7.6 and 5.3 for spheres.
Overall, incorporating the nonspherical model and the aging process into aerosol optical parameterization is crucial for accurately representing BC optical properties. Significant differences were observed between BC DRE values estimated using fractal aggregates and spheres. Specifically, aging fractal aggregates exhibited a weaker lensing effect, leading to an reduction of BC DRE compared to volume-mixing spheres. However, the nonsphericity effect could result in larger increments when the aging process (encapsulation) is nonexistent under high emission scenarios, suggesting that BC DRE could be further enhanced with realistic particle models.
At the moment, fractal aggregates of BC are assumed to be encapsulated by the spherical shell of hygroscopic aerosols. Regarding nonspherical coatings, the lensing effect is expected to be stronger since more BC monomers are coated12. Although this effect is secondary compared to the nonsphericity of BC, further work is necessary to reduce this uncertainty.
Methods
Optical modeling
The encapsulated fractal aggregates model was applied to represent internally mixed BC particles, where bare fractal particles of BC were coated with spherical shell of hygroscopic aerosols. The center point of the spherical coating was located at the midpoint of the major axis of the fractal aggregates, which is defined by the two monomers with the greatest separation. The complex refractive index of coating was calculated using volume-mixing as hygroscopic aerosols were mixed to be homogenous sphere. Then, the mixing state could be determined by the volume fraction of BC (vf), which was defined as follows:
where Vbc and Vhygro are the volumes of BC and all hygroscopic aerosols, respectively. The encapsulated fractal aggregates model was illustrated in Fig. 7. It was clear that the structure of BC became more compact with Df value increasing from 1.8 to 2.4. The BC particle was bare with the vf value of 1.0, while its coating shell became thicker with the vf value decreasing.
It changes with various volume fractions (vf) and fractal dimension values (Df).
Database
The IITM algorithm is efficient to calculate the single-scattering properties of encapsulated fractal aggregates, including three optical properties, i.e., extinction efficiency (qext), single scattering albedo (\({\rm{\omega }}\)), asymmetry factor (g) and six phase matrix elements. So we established a 7-dimensional database of single-scattering properties, where the state of encapsulated fractal aggregates could be determined using seven parameters, including size parameter of BC, complex refractive index of BC and hygroscopic aerosols, volume fraction and fractal dimension. All of these parameters are summarized in Table 1.
Specifically, the complex refractive indices included 30 values for black carbon and 54 values for hygroscopic aerosols. For BC, the real part of complex refractive index of BC (mrbc) ranged from 1.55 to 1.95 and the imaginary part (mibc) ranged from 0.45 to 0.85. For hygroscopic aerosols, the real part (mrhygro) ranged from 1.20 to 1.60, and the imaginary part (mihygro) ranged from 0.0 to 0.1. Additionally, 15 values of volume fraction were considered, representing various particle states from bare BC aggregates to fully encapsulated particles. Fractal dimension, a crucial parameter, was used to describe the particle morphology and compactness, with values typically ranging from 1.8 to 2.8 based on in situ and laboratory measurement17,40. In this study, seven Df values from 1.8 to 2.4 were considered to address the aging process.
The size parameter was defined as follows:
where rev is the volume-equivalent spherical radius of BC and \({\rm{\lambda }}\) is the wavelength of incident radiance. Generally, the volume-equivalent spherical diameter was smaller than 0.4 µm9. The size parameter ranges from 0.1 to 4.0, which is sufficient to cover most scenarios involving solar radiation.
Bulk optical properties
Generally, the atmosphere contains numerous aerosol particles with varying diameters. To represent this diverse aerosol population in climate models, multiple aerosol modes or size bins are utilized. Thus, it was reasonable to use bulk optical properties to represent the whole mode, which was able to avoid the oscillation of optical properties along with particle size. The first step involves determining the size distribution, often assumed to follow a log-normal distribution. The probability density function (PDF) of this distribution is defined as follows:
where \({\rm{\sigma }}\) is the standard deviation, and \({{\rm{D}}}_{{\rm{m}}}\) is the mean diameter. Next, the bulk optical properties are obtained by integrating over the particle diameter from lower bound Dmin to the upper bound Dmax:
where \({Q}_{{ext}}\), <SSA> and <G> are the bulk extinction efficiency, bulk single scattering albedo, and bulk asymmetry factor, respectively.
Deep neural network
In aerosol optical parameterization, lookup tables of optical properties were widely applied instead of real-time calculations due to the computational cost. However, concerns arise regarding storage consumption and errors from multiple interpolations, especially for high-dimensional databases. Deep learning has been proved as a feasible method with high efficiency and low storage requirements for real-time inference of optical properties41.
In a previous study, we trained a multiple-target deep neural network (DNN) to infer the single-scattering properties of encapsulated fractal aggregates based on a database with a single value of fractal dimension33. This database considered larger size parameter (up to 21.0) and could be a valuable complement for the new database developed in this study (Table 1). We calculated bulk optical properties based on the single-scattering properties provided by these two databases, establishing a comprehensive database of bulk optical properties. It was divided it into three parts: 75% for training, 10% for validating, and 15% for testing. Notably, the previous database included extremely large size parameters, up to 21, making the newly trained DNN appliable for modes with large particle diameters.
The architecture of the multiple-target DNN contained fully connected (FC) layers and duplicated residual blocks, using the Leaky Rectified Linear Unit activation function with a negative slope of 0.01. The input layer was modified to accept 7 parameters: size parameter, volume fraction, complex refractive indices of BC and hygroscopic aerosols, and fractal dimension. The DNN outputted three bulk optical properties required for the climate model. The root mean square error (RMSE) was adopted as the loss function, and the DNN parameters were optimized using the Adam algorithm. The optimal hyperparameters were determined using the Asynchronous Successive Halving Algorithm (ASHA)42 based on the validation set. The initial learning rate was set to 0.005 and was annealed using a cosine function in each epoch. The DNN was trained for 200 epochs with a batch size of 200.
Aerosol optical scheme
In the CAM6 model, the four-mode version of the Modal Aerosol Module (MAM4) can manage numerous processes affecting aerosols, determining global aerosol concentration and size distribution43. The MAM4 includes six species: BC, soil dust, and hygroscopic aerosols such as sulfate, primary organic matter, secondary organic matter, and sea salt. These aerosols are divided into 4 modes: the Aitken mode, accumulation mode, coarse mode, and primary carbon mode, according to particle size and aerosols species. In the aerosol optical parameterization of MAM4, all species in the same mode are mixed to be homogeneous spheres using volume-mixing and bulk optical properties are approximated using analytic functions of particle radius with coefficients related to the complex refractive index15.
Regarding BC, it is mixed with organic matter only in the primary carbon mode and with all other species in the accumulation mode, while it is not considered in other two modes. BC particles age and transfer to the accumulation mode when coated with more than a specific number of monolayers of organic matter. Notably, MAM4’s optical parameterization does not account for BC’s fractal structure or fractal dimension changes during aging.
The AI-NAOS is a newly developed aerosol optical module that incorporates both particle nonsphericity and inhomogeneity. In this study, it was integrated into the CAM6 model and replaced the aerosol optical parameterization in the MAM4. In the AI-NAOS module, insoluble aerosols such as BC and dust are treated as nonspherical particles, while other hygroscopic aerosols are mixed homogeneously using volume-mixing and then partially or fully encapsulated insoluble aerosols. According to this rationale, aerosols in a single mode are categorized into at most three particles: encapsulated fractal aggregates of BC, coated super spheroids of dust, and homogenous sphere of hygroscopic aerosols.
Based on the DNN mentioned above, the AI-NAOS was updated to infer bulk optical properties of encapsulated fractal aggregates with various fractal dimensions. Regarding the aging process, it was characterized specifically as shown in Fig. 8. In the MAM4 module, the coating thickness was the criterion for converting BC in the primary carbon mode to the accumulation mode. Similarly, the fractal dimension was also determined by the coating thickness (or specified by the volume fraction). The fractal dimension of BC was fixed to be 1.8 in the primary carbon mode, while in the accumulation mode, t was defined as a function of volume fraction, given by:
Aerosol quantity determined in the MAM4 is given to the AI-NAOS. Bulk optical properties are inferred by DNNs and the sum of four modes is passed to the RRTMG. The aging process of BC is represented by the relationship between volume fraction (vf) and fractal dimension (Df).
The maximum and minimum values of Df in the accumulation mode were set to 1.9 and 2.4, respectively. Thus, the fractal dimension increased as the volume fraction decreased, reaching 1.9 and 2.4 when the volume fraction was approximately 0.9 and 0.3, respectively. In this manner, the AI-NAOS was able to determine the degree of aging and calculate the optical properties of encapsulated fractal aggregates with a specific Df value.
As shown in Fig. 8, aerosol quantities are calculated by the MAM4 in real-time and passed to the AI-NAOS. For a given aerosol mode and wave band, the size parameter (x) is computed from the mean diameter of the mode and the wave band’s mean wavelength. Based on the ratio of insoluble to hygroscopic aerosols, the BC volume fraction (vf) ranges from 1.0 to a lower limit of 0.3, and the fractal dimension is calculated using Equation 12. Complex refractive indices are predetermined according to aerosol species and wave band. The BC complex refractive indices (mrbc, mibc) are extracted directly, whereas those of hygroscopic aerosols (mrhygro, mihygro) are determined by the volume-weighted averaging. From these computed parameters, the bulk optical properties of BC are inferred using the DNN, and those of other aerosol particles are similarly inferred. Finally, the bulk optical properties of the entire mode are calculated under the external mixing assumption (for encapsulated fractal aggregates of BC, coated super spheroids of dust, and homogenous sphere of hygroscopic aerosols) and returned to the Rapid Radiative Transfer Model for GCMs (RRTMG) in CAM6.
CAM6 configuration
The CAM6 model, which is the atmospheric component of the Community Earth System Model version 2 (CESM2)44, was adopted for case simulations in this study. The CESM simulation was conducted based on the component sets aliased F2000climo, including the active atmospheric model CAM6 with a horizontal resolution of 0.95° × 1.25° for the latitude and longitude grid, and prescribed sea ice and ocean models. To assess the aging and nonsphericity effect on BC direct radiative effect, four test experiments with different aerosol optical parameterizations were chosen: EXP1 (Original aerosol optical parameterization in the MAM4, denoted as MAM4-OP in the following), EXP2 (AI-NAOS), EXP3 (MAM4-OP with ten times BC quantity), and EXP4 (AI-NAOS with ten times BC quantity). Additionally, control experiments were performed by setting the quantity of BC to zero in the optical parameterizations. All experiments ran for 10 years from 2010 to 2020, with the first year dedicated to spin-up and the last nine years used for evaluation.
By comparing EXP1 and EXP2, we assessed the difference between the MAM4-OP and AI-NAOS modules, focusing on the distinction between volume-mixing spheres and encapsulated fractal aggregates. Further insights into the extreme effects of particle aging and nonsphericity were gained by considering high BC quantity cases in EXP3 and EXP4, where BC particles were barely aged due to low hygroscopic aerosol content, unable to encapsulate BC particles. Although high BC quantity cases, such as potential nuclear war simulations where almost 150 million tons of smoke are injected into the stratosphere45, have been studied, in our case, the BC quantity was only modified in the optical parameterization without altering its spatial distribution and concentration in the chemical process.
Data availability
The data presented in this paper are available on Zenodo (https://doi.org/10.5281/zenodo.14580937).
Code availability
The AI-NAOS aerosol optical module codes are available on Zenodo (https://doi.org/10.5281/zenodo.14581316).
References
Moteki, N. Climate-relevant properties of black carbon aerosols revealed by in situ measurements: a review. Prog. Earth Planet. Sci. 10, 12 (2023).
Heald, C. L. et al. Contrasting the direct radiative effect and direct radiative forcing of aerosols. Atmos. Chem. Phys. 14, 5513–5527 (2014).
Liu, Y., Wang, M., Qian, Y. & Ding, A. A strong anthropogenic black carbon forcing constrained by pollution trends over China. Geophys. Res. Lett. 49, e2022GL098965 (2022).
Wang, R. et al. Estimation of global black carbon direct radiative forcing and its uncertainty constrained by observations. J. Geophys. Res. Atmos. 121, 5948–5971 (2016).
Bond, T. C. et al. Bounding the role of black carbon in the climate system: a scientific assessment. J. Geophys. Res. Atmos. 118, 5380–5552 (2013).
Matsui, H., Hamilton, D. S. & Mahowald, N. M. Black carbon radiative effects highly sensitive to emitted particle size when resolving mixing-state diversity. Nat. Commun. 9, 3446 (2018).
Takemura, T. & Suzuki, K. Weak global warming mitigation by reducing black carbon emissions. Sci. Rep. 9, 4419 (2019).
Bohren, C. F. & Huffman, D. R. Absorption and Scattering of Light by Small Particles (Wiley, 1998).
Wu, Y., Cheng, T., Zheng, L., Zhang, Y. & Zhang, L. Particle size amplification of black carbon by scattering measurement due to morphology diversity. Environ. Res. Lett. 18, 024011 (2023).
Li, J., Digby, R. & Von Salzen, K. Accounting for black carbon refractive index in atmospheric radiation. Quart. J. R. Meteor. Soc. 150, 4806–4819 (2024).
Kahnert, M. & Kanngießer, F. Aerosol optics model for black carbon applicable to remote sensing, chemical data assimilation, and climate modelling. Opt. Express 29, 10639 (2021).
Luo, J. et al. Optical modeling of black carbon with different coating materials: the effect of coating configurations. J. Geophys. Res. Atmos. 124, 13230–13253 (2019).
Zeng, L. et al. Overestimation of black carbon light absorption due to mixing state heterogeneity. npj Clim. Atmos. Sci. 7, 1–8 (2024).
Fast, J. D. et al. Evolution of ozone, particulates, and aerosol direct radiative forcing in the vicinity of Houston using a fully coupled meteorology‐chemistry‐aerosol model. J. Geophys. Res. 111, 2005JD006721 (2006).
Ghan, S. J. & Zaveri, R. A. Parameterization of optical properties for hydrated internally mixed aerosol. J. Geophys. Res. Atmos. 112, (2007).
Barnard, J. C., Fast, J. D., Paredes-Miranda, G., Arnott, W. P. & Laskin, A. Technical note: evaluation of the wrf-chem ‘aerosol chemical to aerosol optical properties’ module using data from the MILAGRO campaign. Atmos. Chem. Phys. 10, 7325–7340 (2010).
Wang, Y. et al. Fractal dimensions and mixing structures of soot particles during atmospheric processing. Environ. Sci. Technol. Lett. 4, 487–493 (2017).
Sorensen, C. M. Light scattering by fractal aggregates: a review. Aerosol Sci. Technol. 35, 648–687 (2001).
Peng, J. et al. Markedly enhanced absorption and direct radiative forcing of black carbon under polluted urban environments. Proc. Natl. Acad. Sci. 113, 4266–4271 (2016).
Zhang, J. et al. Structural collapse and coating composition changes of soot particles during long‐range transport. J. Geophys. Res. Atmos. 128, e2023JD038871 (2023).
Kelesidis, G. A., Goudeli, E. & Pratsinis, S. E. Morphology and mobility diameter of carbonaceous aerosols during agglomeration and surface growth. Carbon 121, 527–535 (2017).
Cai, W., Kranendonk, L., Lee, T. & Ma, L. Characterization of composite nanoparticles using an improved light scattering program for coated spheres. Comput. Phys. Commun. 181, 978–984 (2010).
Yurkin, M. A. & Hoekstra, A. G. The discrete-dipole-approximation code ADDA: capabilities and known limitations. J. Quant. Spectrosc. Radiat. Transf. 112, 2234–2247 (2011).
Mackowski, D. W. A general superposition solution for electromagnetic scattering by multiple spherical domains of optically active media. J. Quant. Spectrosc. Radiat. Transf. 133, 264–270 (2014).
Bi, L., Yang, P., Kattawar, G. W. & Mishchenko, M. I. Efficient implementation of the invariant imbedding T-matrix method and the separation of variables method applied to large nonspherical inhomogeneous particles. J. Quant. Spectrosc. Radiat. Transf. 116, 169–183 (2013).
Bi, L. & Yang, P. Accurate simulation of the optical properties of atmospheric ice crystals with the invariant imbedding T-matrix method. J. Quant. Spectrosc. Radiat. Transf. 138, 17–35 (2014).
Bi, L., Wang, Z., Han, W., Li, W. & Zhang, X. Computation of optical properties of core-shell super-spheroids using a GPU implementation of the invariant imbedding T-matrix method. Front. Remote Sens. 3, 903312 (2022).
Wang, Z., Bi, L. & Kong, S. Flexible implementation of the particle shape and internal inhomogeneity in the invariant imbedding T-matrix method. Opt. Express 31, 29427 (2023).
Wang, J. et al. Unified theoretical framework for black carbon mixing state allows greater accuracy of climate effect estimation. Nat. Commun. 14, 2703 (2023).
Huang, X.-F. et al. Microphysical complexity of black carbon particles restricts their warming potential. One Earth 7, 136–145 (2024).
Andersson, E. & Kahnert, M. Coupling aerosol optics to the MATCH (v5.5.0) chemical transport model and the SALSA (v1) aerosol microphysics module. Geosci. Model Dev. 9, 1803–1826 (2016).
Chen, G., Liu, C., Wang, J., Yin, Y. & Wang, Y. Accounting for black carbon mixing state, nonsphericity, and heterogeneity effects in its optical property parameterization in a climate model. J. Geophys. Res. Atmos. 129, e2024JD041135 (2024).
Wang, X., Bi, L., Han, W. & Zhang, X. Single‐scattering properties of encapsulated fractal black carbon particles computed using the invariant imbedding T‐matrix method and deep learning approaches. J. Geophys. Res. Atmos. 128, e2023JD039568 (2023).
Yu, J., Bi, L., Han, W. & Zhang, X. Application of a neural network to store and compute the optical properties of non-spherical particles. Adv. Atmos. Sci. 39, 2024–2039 (2022).
Geiss, A., Ma, P.-L., Singh, B. & Hardin, J. C. Emulating aerosol optics with randomly generated neural networks. Geosci. Model Dev. 16, 2355–2370 (2023).
Kumar, P., Vogel, H., Bruckert, J., Muth, L. J. & Hoshyaripour, G. A. MieAI: a neural network for calculating optical properties of internally mixed aerosol in atmospheric models. npj Clim. Atmos. Sci. 7, 1–13 (2024).
Wang, X. et al. AI-NAOS: an AI-based nonspherical aerosol optical scheme for the chemical weather model GRAPES_Meso5.1/CUACE. Geosci. Model Dev. 18, 117–139 (2025).
Romshoo, B. et al. Optical properties of coated black carbon aggregates: numerical simulations, radiative forcing estimates, and size-resolved parameterization scheme. Atmos. Chem. Phys. 21, 12989–13010 (2021).
Gelaro, R. et al. The modern-era retrospective analysis for researCH AND APPLICATions, Version 2 (MERRA-2). https://doi.org/10.1175/JCLI-D-16-0758.1 (2017).
China, S., Mazzoleni, C., Gorkowski, K., Aiken, A. C. & Dubey, M. K. Morphology and mixing state of individual freshly emitted wildfire carbonaceous particles. Nat. Commun. 4, 2122 (2013).
Chen, X. et al. Analytical prediction of scattering properties of spheroidal dust particles with machine learning. Geophys. Res. Lett. 49, e2021GL097548 (2022).
Li, L. et al. A system for massively parallel hyperparameter tuning. Proc. Mach. Learn. Syst. 2, 230–246 (2020).
Liu, X. et al. Description and evaluation of a new four-mode version of the Modal Aerosol Module (MAM4) within version 5.3 of the Community Atmosphere Model. Geosci. Model Dev. 9, 505–522 (2016).
Danabasoglu, G. et al. The Community Earth System Model Version 2 (CESM2). J. Adv. Model. Earth Syst. 12, e2019MS001916 (2020).
Zhao, K., Zhao, H., Coupe, J., Klotzbach, P. J. & Wu, L. Simulating the response of tropical cyclones to potential nuclear war. J. Geophys. Res. Atmos. 129, e2024JD041658 (2024).
Acknowledgements
We used the computing facilities of the China HPC Cloud Computing Center. The simulations in this work were also supported by the National Key Scientific and Technological Infrastructure project Earth System Numerical Simulation Facility (EarthLab). We appreciate two anonymous reviewers for their constructive comments for improving the manuscript. This research was supported by the National Natural Science Foundation of China (Grants 42090030 and U2342213).
Author information
Authors and Affiliations
Contributions
L.B. supervised the study and developed the invariant imbedding T-matrix method. X.W. developed the AI-NOAS model and wrote the main manuscript text. X.W. and R.W. conducted simulations and data analysis. L.B. revised the manuscript.
Corresponding author
Ethics declarations
Competing interests
The authors declare no competing interests.
Additional information
Publisher’s note Springer Nature remains neutral with regard to jurisdictional claims in published maps and institutional affiliations.
Rights and permissions
Open Access This article is licensed under a Creative Commons Attribution-NonCommercial-NoDerivatives 4.0 International License, which permits any non-commercial use, sharing, distribution and reproduction in any medium or format, as long as you give appropriate credit to the original author(s) and the source, provide a link to the Creative Commons licence, and indicate if you modified the licensed material. You do not have permission under this licence to share adapted material derived from this article or parts of it. The images or other third party material in this article are included in the article’s Creative Commons licence, unless indicated otherwise in a credit line to the material. If material is not included in the article’s Creative Commons licence and your intended use is not permitted by statutory regulation or exceeds the permitted use, you will need to obtain permission directly from the copyright holder. To view a copy of this licence, visit http://creativecommons.org/licenses/by-nc-nd/4.0/.
About this article
Cite this article
Wang, X., Wu, X. & Bi, L. Assessing direct radiative effect of aging black carbon using an advanced aerosol optics module AI-NAOS and the climate model CAM6. npj Clim Atmos Sci 8, 187 (2025). https://doi.org/10.1038/s41612-025-01080-2
Received:
Accepted:
Published:
Version of record:
DOI: https://doi.org/10.1038/s41612-025-01080-2










