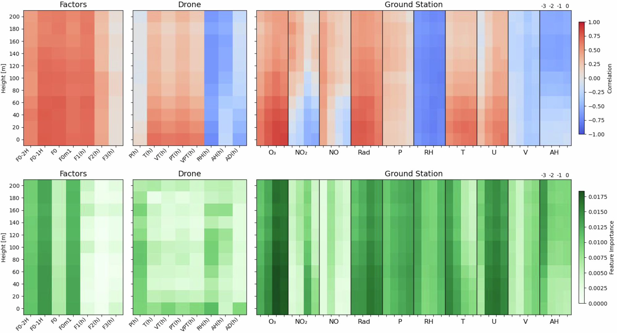
Fig. 3: Height resolved information.

The first row shows the linear correlations of the measured features with the vertical ozone profile. The second row shows the importance of each feature for predicting the profiles using the deep learning method. The leftmost group shows the different defined factors, while “-xH” stands for x hours lag. The second group shows the drone measurements: pressure, temperature, virtual temperature, potential temperature, virtual potential temperature, relative humidity, absolute humidity, and air density. The rightmost group shows the ground station’s data, separated into 4-lag columns (from −3 h to 0 being the time of flight, time increasing to the right). The ground data from an hour before the flight usually contains the most predictive information.