Abstract
We developed and deployed a drone-based air pollution measurement system composed of cost-effective and lightweight sensors. The system generates high-resolution vertical profiles of various pollutants. During campaigns conducted in 2023, we observed a diurnal cycle of ozone and analyzed extreme particulate matter events, including biomass burning and a rapid dust storm. Our analysis reveals consistent ozone depletion near the surface at night, an advection-related “knee” in the ozone vertical profile at ~100 meters, and significant differences in aerosol size distributions between background, biomass burning, and dust events. An ensemble of autoencoder-based deep learning models with prediction heads identified ground data and a novel combined factor as the most predictive variables for the ozone vertical profiles. These findings demonstrate the value of mobile vertical profiling systems for understanding pollutant distributions and tropospheric dynamics, including the distinction between local and regional ozone influences, with potential applications for air quality monitoring.
Similar content being viewed by others
Introduction
Air pollution is a leading cause of global premature mortality, causing millions of deaths annually worldwide and contributing to severe respiratory, cardiovascular, and pregnancy-related outcomes1. However, since the estimation and prediction of accurate tropospheric composition is complex and involves a priori assumptions and the processing of uncertain measurements2,3,4,5, there are currently difficulties in mitigating air pollution and its related damages. Ground-level air pollution dynamics are influenced by meteorology, urbanization, and source characteristics. For instance, compared to rural areas, urban areas experience high concentrations of nitrogen oxides and particulate matter due to traffic and industrial emissions and limited dispersion caused by buildings and other structures6,7,8,9. In addition, pollution source patterns lead to unique phenomena such as the “weekend effect”10, when higher ozone concentrations are observed during weekends, attributed to reduced NOx (nitrogen oxides, NO and NO2) emissions. Areas prone to ventilation by winds, such as coastal land-sea breeze, often experience a reduction in PM2.5 (particulate matter of diameter smaller than 2.5 microns) at ground levels11,12. Diurnal trends also exist, such as ozone peak concentrations in the afternoon accompanied by lower NOx mixing ratios at that time2,6, as ozone is photochemically produced in the troposphere downwind of its precursors, through chemical interaction of NOx and volatile organic compounds2,6,13.
Extreme pollution events include dust storms driven by meteorological conditions14,15,16, wildfire smoke plumes that may be linked to respiratory issues17, meteorology-driven extreme NO₂ episodes18, and tropospheric ozone extremes from converging polluted air masses or heat waves19,20. Vertical pollutant variations are rarely measured in-situ but are important for understanding atmospheric transport, chemistry, and satellite retrievals21,22. For example, polluted air can be trapped in stratified layers or transported by winds, influencing chemical reactions such as nocturnal nitrate radical oxidation, which drives secondary aerosol formation23,24. As another example, vertical profiling campaigns show that warmer seasons with increased atmospheric mixing create a more uniform aerosol distribution in the first hundred meters, while larger aerosols remain concentrated near the surface25. While in-situ monitoring stations provide valuable localized data, their sparse distribution, especially in developing regions, limits the representability of air quality over larger areas26. Vertical profiling is costly and infrequent, with methods like ozone sondes offering low horizontal resolution27,28. Remote sensing techniques, including satellite-based measurements or upward-looking spectrometers, require several assumptions about the atmosphere, such as the vertical distribution of pollutants, temperature profiles, and radiative properties29,30,31,32,33. Emerging alternatives include dense networks of low-cost sensors, though their accuracy is challenged by biases and environmental dependencies34,35,36,37. Miniaturized optical instruments mounted on drones offer high-precision, real-time measurements but remain in the early development stages38,39,40,41. This study details the development of a cost-effective, portable drone-mounted measurement system and showcases the enhanced resolution and insights these systems can achieve using an innovative machine-learning approach.
Results and Discussion
In this study, we present recent drone-based measurement campaigns conducted in an urban setting in the Eastern Mediterranean (Rehovot, Israel), during the spring and summer of 2023. The payload included sensors for ozone, PM, and meteorology. 66, 20-minute flights were conducted in several 24-hour periods, under a range of clear, polluted, and dusty conditions. Ground-level data from nearby monitoring stations provided by the Israeli Environmental Protection Ministry and the Israeli Meteorological Service were also used in the analysis. The campaign results yield two interesting outcomes, demonstrating the potential of a portable system for air pollution studies. The first is the ozone vertical diurnal profile. We propose and demonstrate a method for estimating ozone vertical profiles using deep learning and ground data, including several analysis-derived factors, and identify the most contributing variables for the estimation. The other outcome is the striking differences between background aerosol characteristics and vertical profiles during either biomass burning or extreme dust events. Further details regarding the campaigns and analysis are provided in the Methods section.
A vertical diurnal cycle of tropospheric ozone
We conducted 66 flights under various meteorological conditions, revealing a well-defined periodic pattern in the lower 100 meters of the atmosphere. To better explore the drivers affecting how ozone concentrations are distributed with altitude, an ensemble of deep learning models was trained to predict the ozone profile based on both ground stations data and aloft measurements. Following the prediction, the importance of each input feature was analyzed to quantify its relevance to ozone profile prediction. Since no vertical measurements of NO2, NO, or winds were available during the campaign, the later analysis shows the potential of machine learning tools for the prediction of vertical ozone profiles from ground measurements. Further details are presented in “Methods”.
Figure 1 (top) illustrates the observed ozone profiles. Figure 1 (bottom) shows the virtual potential temperature profiles, which describe the air temperature had it been dry and under the same pressure conditions42. Air density profiles are shown in Fig. S3. Ozone ground-level concentrations consistently decrease after sunset and increase again at dawn, suggesting a strong influence of surface-level processes and photochemical reactions driven by sunlight. However, between 100-200 meters, these variations diminish, indicating a chemically stable layer with limited diurnal influence that is dominated by more regional processes. This highlights the necessity of vertical profiling to understand ozone dynamics in the lower troposphere, where the local environmental conditions have the strongest influence and satellite observations face substantial limitations. These findings are consistent with other previous studies, such as the comprehensive vertical atmospheric composition profiling conducted from a tower near Boulder, Colorado22, highlighting the potential of mobile, cost-effective, and lightweight systems to extend research conducted at fixed sites by expensive instrumentation to broader and more varied environments. The diurnal cycle remains consistent across weekdays and weekends, independent of atmospheric stability, with a general daytime increase aligning with previous studies2,6,22. Ozone concentrations decline near the surface at night due to reduced mixing and reactions with ground-level NO. A recurring nighttime anomaly appears at 100-180 meters, where ozone concentrations increase before returning to lower concentrations at higher altitudes, resulting in a knee of about 15 ppb in magnitude at about 140 meters. No strong atmospheric stratification was observed during knee observation times, but a slight decrease in virtual potential temperature (Fig. 1, bottom) suggests wind-driven transport with varying ozone levels or fewer ozone-titrating compounds like NO. These findings highlight the need for in-situ measurement systems on portable platforms.
Ozone mixing ratio (top) and virtual potential temperature (bottom) profiles are shown per height, up to 200 meters. Each column represents the average over a 3-hour time bin, centered on the indicated local times. Shaded areas show ±1 standard deviation, and the mean is shown by the lines. Ozone reacts with ground-level reactants. Due to reduced atmospheric mixing at night, its concentration decreases near the surface. An interesting consistent knee in the ozone profile of about 15 ppb is presented at 03:00 at 100-180 meters height, indicating an ozone plume over these heights.
Figure 2 shows diurnal variations for further analysis. Ozone fluctuates most in the lowest layers during the day. Air density follows a cyclic pattern, increasing in amplitude toward the ground, while temperature and humidity show more variability. Ground NO₂ rises sharply during the night, while NO peaks during the morning rush hours (Text S1 describes May 2023 Rehovot station measurements). Winds are weak at night and strengthen until 15:00, reaching a north-westerly peak (towards southeast, negative V and positive U).
First and second row: scatter plots of the different measured variables separated by color brightness per height, accompanied by lines indicating the temporal means (ozone, air density, temperature, and relative humidity, from top to bottom left to right). The different flights show similar trends but are separated by baselines, as indicated by the scatter plots. The third row shows the ground measurements of NO and NO2, wind speeds, and radiation (lines show the mean, shaded areas are one standard deviation.
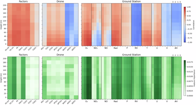
To identify the key variables that drive the observed ozone profiles, we first compute their correlation with the measured height-resolved ozone concentrations, as described in “Leveraging Machine Learning for Enhanced Insights”. We next train an ensemble of deep learning models to predict the profiles and study the contribution of each input feature to the prediction. This approach reveals underlying patterns and hidden information within the data. As the number of measured profiles is relatively small compared to standard deep learning datasets, which often comprise tens of thousands of samples and more, we introduce a set of informative factors that encapsulate key photochemical characteristics. Their diurnal variation is presented in Fig. S4. In addition, we explore the importance of lagging ground data, e.g., measured 1 or 2 hours before each flight (labeled as -1H or -2H, respectively). Each artificial neural network model was trained over 53 randomly chosen flights (80% of the flights) and tested over the other 13 flights (20%), with the ozone concentrations at 11 heights (0 to 200 meters) being the target and the rest of the available data being the input. The input was randomly masked out at an increasing rate per epoch during training to challenge the network, increasing its generalization capability and forcing it to focus on specific features that it might have ignored. The hyperparameters, optimizer, scheduler, and masking rate were carefully chosen to yield stable learning capabilities so the training can be repeated automatically over different dataset splits. This random process was repeated over 100 times, and the best 25 performing models, ranked by their mean squared error relative to the true profiles, were analyzed for feature importance (Fig. 3) and overall performance (Fig. S6). A comparison between the data splits resulting in the 25 best and worst performing models is shown in Fig. S7. The training and validation loss logs are shown in Fig. S8. More details about the network itself, the training procedure, precise definition of the feature importance, and more, are presented in “Leveraging Machine Learning for Enhanced Insights”. The network achieves high R2, explaining about 90% of the observed variance. The unexplained variance may be decreased by using height resolved NO2 and winds measurements, other regional stations and specifically downwind stations, and generally more vertical profiles. The mean errors show a general decrease with height, suggesting more predictable and chemically stable conditions aloft. See Text S2 for a more detailed discussion about the network’s performance.
The first row shows the linear correlations of the measured features with the vertical ozone profile. The second row shows the importance of each feature for predicting the profiles using the deep learning method. The leftmost group shows the different defined factors, while “-xH” stands for x hours lag. The second group shows the drone measurements: pressure, temperature, virtual temperature, potential temperature, virtual potential temperature, relative humidity, absolute humidity, and air density. The rightmost group shows the ground station’s data, separated into 4-lag columns (from −3 h to 0 being the time of flight, time increasing to the right). The ground data from an hour before the flight usually contains the most predictive information.
Figure 3 details the linear correlations between the different measurements with the measured ozone concentrations per height (top row) and their importance for the models’ predictions (bottom), with values describing the contribution of each feature to the final prediction concentration, as a ratio of the actual value. For clarity, only per-height features are presented for the height-resolved analysis, However, cross-heights features were used as well, showing similar importance (e.g., the prediction of ozone at 40 meters was based on the entire temperature profile, but only the temperature at 40 meters is shown). Overall, some features show similar behavior in both correlation and importance, such as ozone ground concentrations and the 1-hour lag of F0 (F0-1H), indicating relatively linear relations. Where the correlation and importance of the lagged variables are strong, e.g., for ground O3 and radiation, it suggests a more regional influence, indicating that the profiles are affected by the recent history of the surrounding conditions.
Concretely, ground-level ozone from the station shows the strongest correlation at the lowest altitudes, gradually decreasing with height as the air becomes more influenced by regional sources. The correlation is stronger with the 1-hour lag, which is also the most important feature. Generally, the 1-hour lagged features have slightly higher importance and absolute correlations, such as the NO2, ozone, U, and RH, pointing to regional transport. Ground-level NO and NO2 anticorrelate with the measured ozone, with NO2 showing a stronger anticorrelation that diminishes with height and becomes positive above 80 meters. Moreover, the NO2 3-hour lag shows higher correlations aloft, and NO has a positive correlation at farther lags as well. This could be coincidental or suggest multivariable dynamics, emphasizing the need for extended profiling campaigns. Ground radiation correlation with ozone is generally strong and decreases with height, where surface influence fades and the contribution of regional ozone transport increases. The increased correlation and importance of the 1-hour radiation lag further emphasize the influence of past, slower non-local processes. Most of the features show decreasing absolute correlation and importance with height. However, the anticorrelation and importance of absolute humidity are interestingly more significant at higher altitudes than on the ground, specifically at the ozone knee altitudes, which may be the result of more stable conditions aloft with less surface interactions. The network attributes high importance to the 3-hours lag of both absolute and relative humidity and temperature, which may be the result of slower atmospheric chemistry. Inverse correlation of humidity with ozone may also be the result of indirect temperature-humidity correlations and possibly a minor O3 sensor-related correlation, due to potentially incomplete sample drying by the POM43. Both the measured relative and absolute humidities gain some predictive significance at the ozone knee region. If the knee is indeed explained by regional transport, it implies that humidity contains some information about the air parcels’ origin, at least to some spatial extent. The anticorrelation between humidity and ozone at the knee is further emphasized when the analysis is divided into daytime and nighttime segments (Fig. S5). Temperature correlation with ozone is stronger at the surface, with low predictive importance that increases with lag distance. Although having no correlation with the profile, the measured height-resolved pressure is important for the prediction. Being the only input linearly describing the height of measurement, the network evidently uses that information to calculate the height-resolved ozone concentrations. High importance and correlation are attributed to eastwardly winds (positive correlation with U), and slightly reduced attribution for southwardly winds (anticorrelation with V), suggesting ozone transport from the southwestern nearby industrial zone. Of all the photochemical factors defined in detail in “Leveraging Machine Learning for Enhanced Insights”, the one-hour lag ground factors (both F0 and F0m1) are the most important, having uniform importance across the vertical column. The height-resolved factors contribute less to the prediction, despite F1 having strong correlations. Interestingly, F3 shows positive correlation during nighttime and negative during daytime (Fig. S5), as its trend changes diurnally (Fig. S4). These findings suggest that some combinations of ground level data, such as F0-1H, can be utilized for the prediction of ozone vertical concentrations, while normalized factors such as F3 may provide time-specific insights. Height‐resolved temperature and potential temperature show stronger correlations with ozone profiles than virtual or virtual‐potential temperature. That is reasonable as virtual temperature accounts for humidity by indicating the temperature of the air had it been dry, which further suggests that humidity correlates with ozone profiles. The height-resolved humidity has more predictive importance than the other height-resolved measurements.
Vertical aerosol profiles during biomass burning and dust events
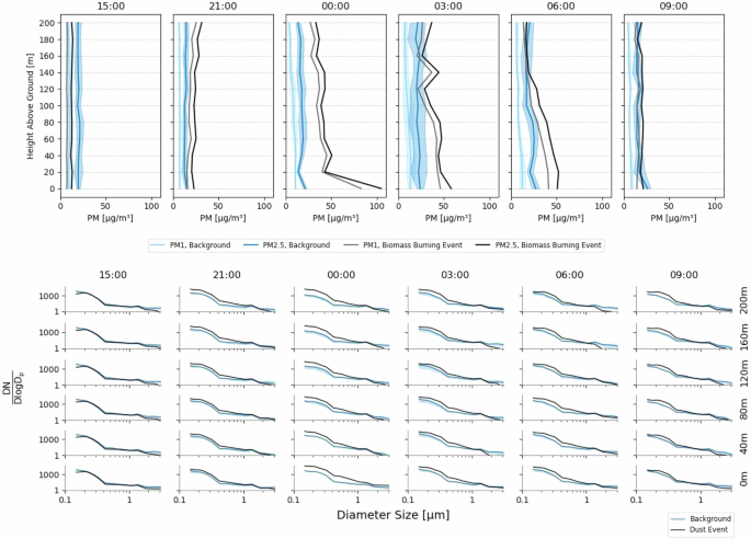
A bonfire festival is traditionally celebrated across Israel once a year. In recent years, the Israeli Fire and Rescue Commissioner has signed temporal orders prohibiting the lighting of bonfires across the country to mitigate the environmental impacts and likelihood of fire breakouts associated with the event. As indicated by previous studies conducted at our lab44,45,46 the event peaks at night, while some prefer to celebrate it at noon, and it lasts a few days. This event is an opportunity to study anthropogenic biomass burning aerosols and their vertical spread. The vertical profiling of anthropogenic particulates from the Lag Ba’Omer biomass burning event (May the 8th–9th, 2023), reveals distinct patterns in particulate matter distribution. The Portable Optical Particle Spectrometer (POPS) data captured across various altitudes (Fig. 4), show the atmospheric particulate matter mass concentration (top) and vertical size distributions (bottom). See Fig. S9 for air density and virtual temperature vertical profiles. Mass concentrations were calculated using the manufacturer’s assumed aerosol diameter and typical densities of 1.5 g/cm3 measured at our lab45. Normalized size distributions are counts per bin of the POPS divided by the log of the central diameter of each bin, a common method of normalizing aerosol counts per size to eliminate bin size biases. The event begins in the evening, with pollution concentrated primarily at ground levels, likely due to local fires. The aerosols involved are particularly hazardous to public health, with particle sizes ranging from 100 nm to 1 μm in diameter47,48,49,50. Smaller particles still prevail at upper heights long after the event ended. Residual smoke contains mostly smaller particles up to 600 nm in diameter, present in relatively high concentrations. Despite restrictions, pollution from the event remains significant. Due to the small size of the particles, their overall mass load may be underestimated when only measuring PM2.5, underscoring the need for more comprehensive air quality monitoring systems. In addition, the smoke particles’ light attenuation is strikingly different from the background (see Fig. 6).
Black and grey (event) against blue and light blue (background) are the PM2.5 and PM1 mass concentrations, accordingly (top). Log-scale size distribution plots are shown at their corresponding heights (bottom), event (black) against background (blue). Each column represents a 3-hour average centered on the labeled hour in local time. The event peaks at 00:00 with extremely high PM concentrations, mostly at ground levels. Most of the PM2.5 mass is composed of hazardous PM1. Smaller particles still prevail at upper heights long after the event ended.
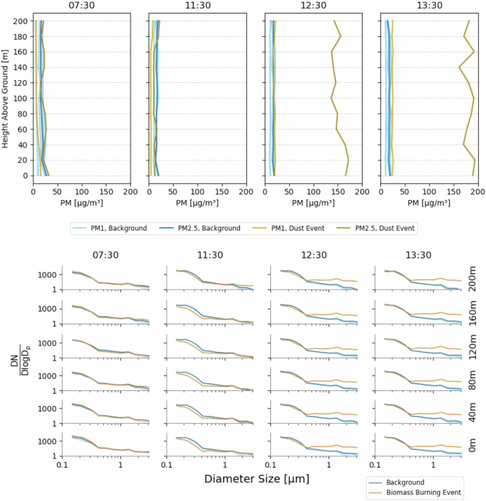
Extreme dust events, particularly in semi-arid regions like the East Mediterranean, pose environmental and health risks. These events result from complex meteorological factors, and although studied extensively, their complexity remains poorly understood, making them difficult to predict14,15,33,51,52,53. Hence, understanding the vertical distribution of dust particles during such events is crucial for accurately assessing their impact and mitigating their related damages. The same analysis is applied to data collected during a rapid dust event on May 5, 2023, as shown in Fig. 5, S10.
Dark orange and orange (event) against blue and light blue (background) are the PM2.5 and PM1 mass concentrations, accordingly (top). Log-scale size distribution plots are shown at their corresponding heights (bottom), event (orange) against background (blue). Each column shows a 1-hour average centered around the annotated hour. The event begins at 11:30 with slightly elevated upper PM concentrations. In less than an hour, PM2.5 concentrations surged to hazardous levels across the entire vertical column.
The event vertical profiles reveal unique size distributions with high concentrations of particles larger than 400 nm in diameter, in contrast to smoke particles, with a gradual increase in particles larger than 500 nm and significantly higher mass concentrations. These concentrations were evenly distributed vertically, indicating a regional phenomenon. Elevated levels of pollutants at higher atmospheric levels are typically associated with large-scale phenomena54, as East Mediterranean dust events typically are14,16,52. Extreme PM2.5 is especially interesting since dust events are commonly defined by elevated PM10 levels and not by PM2.514,15. This definition is convenient since elevated PM2.5 levels can be the result of multiple factors, such as anthropogenic smoke, while PM10 is mainly found in desert dust plumes. As seen here, extreme levels of PM2.5 can be associated with dust events as well, provided their size distribution is known or PM1 measurements are available. Strikingly, in just under an hour, the entire measured vertical column was filled with extreme concentrations.
Aerosol optical signatures can indicate their chemical constituents. The absorption Ångström Exponent (AAE) is used to compare aerosols to black carbon (BC)55,56, with instrument-specific calibrated absorption of \({\alpha }_{{BC}}\left(\lambda \right)={10,112}\cdot {\lambda }^{1.02}\). Absorption curves can be fitted using \(\alpha \left(\lambda \right)={\alpha }_{0}\cdot {\lambda }^{{AAE}}\), and the closer the AAE is to 1, the closer the aerosols are to BC. Figure 6 shows the absorptions, fitted based on the micro-aethalometer measured absorptions at 5 wavelengths and the AAE power law assumption. As shown, the smoke particles are much closer to black carbon (AAE = 1.27) than the background (AA = 1.82), while the dust optical signature is different (AAE = 2.18).
The smoke particles (AAE = 1.27) are much closer to black carbon than the background (AA = 1.82), while the dust optical signature is different (AAE = 2.18). The vertical grey lines indicate the measurement wavelengths.
This study demonstrates the capabilities of a novel drone-based air pollution monitoring system composed of cost-effective and lightweight sensors for capturing vertical profiles and diurnal patterns of atmospheric constituents under diverse conditions. It is an example of a method that utilizes machine learning tools to overcome some of the limitations imposed by cost-effective sensors, making the combined benefits of portability and affordability applicable to scientific studies. Key findings include:
-
1.
A consistent diurnal cycle of ozone vertical profiles, with surface depletion at night and stability above 100 meters and up to 200 meters.
-
2.
It is possible to predict ozone vertical profiles using enough known profiles and ground level data, with a mean error of less than 7 ppb.
-
3.
The prediction error decreases with altitude up to 200 meters, indicating that higher altitudes are more predictable than the ground levels.
-
4.
This analysis allows attribution to local vs. regional ozone contribution.
-
5.
The suggested artificial neural network architecture and training strategy of an autoencoder with a prediction head over the latent space work consistently and can be automated for repetitions.
-
6.
Deep learning models reveal that regional 1-hour lag ground-level data of ozone, NO2, radiation, eastwardly winds and a combined photochemical factor are the most informative variables for predicting ozone concentrations at the specific campaign site. The exact meaning and further applicability of this factor should be further studied.
-
7.
Distinct vertical aerosol distributions during biomass burning and dust events were observed, emphasizing the importance of measuring size-resolved PM concentrations, particularly PM1, for comprehensive air quality assessment and dust event studies.
These results highlight the necessity of vertical profiling at high spatiotemporal resolution for understanding atmospheric processes that traditional ground-based or remote sensing methods do not capture. The integration of portable sensor systems with machine learning offers a powerful tool for air quality and atmospheric composition research as demonstrated in the study. We show that using a well-trained deep learning model, it is possible to analyze the relevancy of each input variable and quantify its predictive importance. Segmenting the analysis by time reveals time-specific patterns, such as stronger nighttime anticorrelation between aloft humidity and ozone concentrations, particularly at the observed knee altitudes. Future work should explore broader deployments, additional sensors and possibly system automation to address current limitations in dataset size and representativeness. To study the proposed photochemical factors, deep learning-based prediction of ozone profiles can be trained and evaluated based only on these factors. In addition, deep learning models can be further compared with other machine-learning and chemical models for vertical ozone profile predictions. Some improvements in the deep learning analysis can include a better-tailored loss function that weighs values differently, extending the datasets with height-resolved NO2 and winds measurements, more regional stations, specifically downwind stations, and generally more samples. Alternative dataset splits can be considered such as random splits that maintain a consistent number of profiles per time bin or preserve a more uniform data distribution across splits. Additionally, larger datasets can help mitigate the influence of individual flights.
Methods
Reliable, sensitive sensors on mobile platforms, like the presented hexacopter, enable atmospheric studies in previously unexplored conditions. However, drone-based surveys are labor-intensive, limiting dataset size. This presents two challenges: ensuring high data precision due to a limited number of samples and addressing limited dataset information. This section details the experimental system and methods used to overcome these challenges.
A versatile and precise mobile system
We designed a versatile drone system with quick configuration adjustments, easy debugging, and extended operation. The system integrates high-quality, cost-effective and lightweight sensors and can be mounted on any platform carrying over 1 kg for a minimal configuration. To reduce weight, components are made from carbon-fiber composites or 3D-printed. Aerosols of sizes 130 nm–3 µm in diameter are measured using a HandixScientific POPS, an optical scattering particulate matter sensor with a power consumption of 5 W at 12 V and weighing 600 g that is placed inside a customized carbon-fiber box for physical protection. Larger aerosols (350 nm–40 µm) are measured with a cost-effective Alphasense OPC-N3 that is less accurate than the POPS57. Ozone is measured by a 2BTechnologies POM43, a 254 nm absorption spectrometer that measures up to 10 ppm with 0.1 ppb resolution and power consumption of 3 W at 12 V and weighs 450 g. PM2.5 absorption is analyzed with an AethLab MA200 micro-aethalometer, measuring particle light absorption in 5 different wavelengths ranging from 375 nm to 880 nm, weighs 420 g, and was recently validated in our lab56. An iMet-XQ2 UAV measures pressure, temperature, and humidity and weighs 60 g. An in-house developed NO2 sensor can be installed but was not available at the time of the presented campaign. The sensor is a broadband cavity enhanced absorption spectrometer BBCEAS39, that utilizes deep-learning for enhanced bias corrections. We include it in the description of the system (Fig. 7, Table S1) as it is presently available for integration and will be described in detail elsewhere. All sensors connect to a Raspberry Pi 4 via USB or Arduino-based relay for RS-485/RS-422 communication. Data is averaged at 1-second intervals and stored as CSV logs using custom software optimized for flexible sensor configurations. A custom dashboard supports real-time and offline analysis for any sensor in the setup (Fig. S1). The drone platform, a DJI Matrice 600 hexacopter, carries up to 5.5 kg and achieves 22-minute flights, enabling detailed vertical profiling up to approximately 2.5 km above sea level, but is limited to 200 meters with special permits from local authorities. Computational fluid dynamics (CFD) simulations confirm minimal rotor influence on air sampling, ensuring reliable data collection sampling58. The simulation concludes that the sampled air represents a volume extending to 7 meters around it. Although our setup is different in both weight and geometry, since the measurements are conducted 20 meters apart, we assume no interference between measured points. This point can be further explored but is out of the scope of the presented work. Because the simulation indicates most air velocity is concentrated beneath the drone, we continuously ascend to minimize interference along the flight path.
All configurations have been rigorously tested and successfully employed in various scientific studies. Abbreviations shown in the images are detailed in “A Versatile and Precise Mobile System” and Table S1. For the presented study, the aerosol configuration was mainly used. The system has been ongoingly developed through over 100 scientific drone flights.
Flights strategy and campaign details
The measurement strategy involved hovering for 120 seconds at each altitude before ascending 20 meters. Flights were typically repeated every 3 hours, increasing to 1.5-hour intervals at sunrise and sunset. The presented campaign was conducted during several 24-hour periods in May 2023 for the aerosol-focused configuration and during August 2023 for gas-focused: May 4th–5th, 8th–9th, and 23rd–24th and August 25th–26th, and 28th–29th, a total of 10 different days. All flights were conducted at the Weizmann Institute campus, Rehovot, Israel. During the campaign, two extreme pollution events occurred: the first was a rapid dust event that occurred during May the 5th, and the other was a biomass burning event that occurs annually in Israel (Lag Ba’Omer), when nationwide bonfires are being held, during the night of May the 9th and is studied extensively by our lab44,45,46,59. Measurements were collected from 66 flights per height, or approximately 2 hours per altitude across varying environmental conditions (temperature, humidity, pressure, weekday, hour, etc.) to characterize the diurnal cycle presented in text. The ratio of weekends to weekdays flights is about 1:2, respectively. The total aerosol-focused flights used in the study were 36, in a ratio of 1:1 of background to events. Beside the data collected using the portable system, other freely available datasets were used to obtain the following ground measurements at the same times: NO, NO2, and O3 measured by the Israeli Environmental Protection Ministry at the closest Rehovot station, and global radiation (consisting of both scattered and direct radiation) and ground wind vector measured by the Israeli Meteorological Service. For atmospheric stratification analysis, we use virtual potential temperature and air density, accounting for both pressure, temperature and humidity42. Additionally, absolute humidity was calculated from relative humidity and temperature. All ground-level measurements were also taken in multiple time lags, -3,-2 and -1 h before the flights, as well as at the same time (total of 4 lags). All times are shown in local time.
Leveraging machine learning for enhanced insights
In this section, we discuss several machine learning techniques designed to enhance our analysis. First, we describe a data imputation method that addresses communication failures arisen from the cost-effective nature of the system, made possible through sensor redundancy. Next, we introduce specialized photochemical feature engineering approaches to optimize information extraction from the available measurements. Finally, we detail the deep learning framework used to analyze the vertical ozone profile.
Particulates or ozone concentrations at a specific location and altitude are governed by complex mechanisms influenced by environmental conditions and nearby sources, including concentrations of NO₂, NO, and the specific VOCs present at the location60. In this study, we examined the ozone concentration dependencies per height to characterize the diurnal vertical ozone profile. To do so, we compared the measured ozone concentrations with several other measurements. Since only a few factors can be measured using a portable system, a special analysis is needed to study the pollutant per-height dependencies. The aerosol vertical profiles during dust events are compared to background characteristics, a comparison that further demonstrates the importance of mobile surveying systems and their potential.
Occasional missing measurements of environmental temperature and relative humidity occurred due to unstable USB cable connectivity of the iMet-XQ2 environmental sensor, leading to missing temperature and relative humidity measurements during 3 flights. However, since other instruments measure and report these values, it is possible to model the iMet-XQ2 readings as a function of the other measurements. Since different uncertainties of these instruments complicate this modeling, it can be done using machine learning techniques. We imputed the missing environmental flight measurements using XGBoost61, a highly efficient and simple-to-use machine learning model. The model was trained on over 80% of the available, (i.e., not missing) data, resulting in 149,626 datapoints for training, and tested over the rest 20%, 37,407 datapoints. All the data was smoothed using a 10-second averaging window before training to allow for better learning. Overall, the model presented high performance in learning to estimate the iMet-XQ2 missing T and RH data based on the other available instruments (R2 = 0.983 for T and 0.938 for RH) (Fig. 8, S2). This procedure highlights the importance of sensor redundancy in low-cost systems.
In each row, the measurements are shown in their full length (left) and as a close-up (right), where each timestamp index accounts for 1-second resolved measurement (horizontal axis). The black and grey lines show the pressure, with small drops corresponding to the conducted flights. The blue lines show the measured data (blank during the 3 flights where it is missing, shown in shaded grey), and the imputed data is shown in purple. The other available sensors are shown in different colors. The machine learning model learned their relations with the iMet-XQ2 reliable sensor.
To further examine the ozone dependencies per height, in addition to the measured parameters, we define several new factors that potentially contain information about the occurring chemical reactions. These factors are not intended for direct ozone profile calculations but are analyzed as correlated variables that may hold information for predicting the profile using observation-based methods. Such factors can be useful when a concise representation of information is required, such as in scenarios with limited sample sizes.
NO₂ molecules are photolyzed during the daytime, yielding NO molecules and free oxygen atoms that react with O₂ to form ozone. However, NO quickly reacts with ozone to generate back NO2. This photo-stationary relation is expressed by the Leighton Relationship60:
or:
where \(j\) denotes the photolysis frequency of NO2 and \(k\) denotes the rate constant for the reaction of O3 with NO that yields NO2 and O2. But since \(j\) describes the photolysis rate it is proportional to the amount of radiation. Furthermore, \(k\) is temperature dependent. The Arrhenius equation relates a reaction rate coefficient of a general chemical reaction \(k\) to the activation energy needed for the reaction to happen \({E}_{a}\) and temperature:
where \(T\) is the height-resolved measured temperature, \(A\) is a factor proportional to the collision frequency that is often treated as temperature-independent and \(R\) is the universal gas constant. By returning to Eq. (b), and since the factors A, \({E}_{a}\) and \(R\) are constant, this exponential relation between the O3 + NO reaction rate coefficient and the temperature can be used to define Factor 1. This factor is hypothesized to somewhat correlate with the height-resolved ozone profile even though NO and NO2 are measured only on the ground:
where \({rad}\) is the ground-measured radiation, and \(\left[N{O}_{2}\right],[{NO}]\) are the ground-measured concentrations of NO2 and NO at Rehovot station, located about 1.4 km away from the campaign site.
A common practice in data science is data normalization, which usually helps underlining patterns and correlations in the data33,52,53,62. Hence, two additional factors are defined:
where the overhead line accent for a general term \(x\), having mean \({\mu }_{x}\) and standard deviation \({\sigma }_{x}\), indicates a zero-mean, 1-standard-deviation normalized term, defined by:
Factors 2 and 3 differ in the normalized values that define them. The main difference between them and Factor 1 is that they utilize normalized radiation, so that nighttime radiation will not zero out their predictions completely and may make them meaningful for ozone profiles during the night.
Two more factors are defined from ground-level data. Factor 1 depends on the altitude only through the temperature, which enters the formulation via an inverse-temperature exponent. Because it is easier to acquire ground-level data than the height-resolved measurements, it makes sense to test another factor:
where \({T}_{0}\) is the ground level temperature. Since it contains continuously measured variables, we take this factor in several time lags as the rest of the ground-level data (−3, −2 and −1 h before the flights), introducing another advantage. We can also try to use a mixed-lags factor, composed of the current temperature and radiation but with historical NO2 and NO that may still be present in the air and transported to the campaign site:
We explore how these factors relate to ozone concentrations and how much information they provide for predicting the ozone vertical profile.
To find similarities between vertical ozone profiles and other factors, we first define the height-resolved linear correlation between ozone and any other variable (measured or calculated), as:
where E is the expected value operation, \({O}_{3}^{h}\) is the measured ozone concentration at height h, \(\mu ,\sigma\) are the variables’ mean and standard deviation. For drone-measured variables such as T and RH, we calculate the correlations between the height-resolved ozone and the height-resolved factor at the same height, e.g.,: \({corr}\left({O}_{3}^{h},{T}^{h}\right)\).
A more sophisticated analysis is needed to account for complicated correlations that involve either non-linearities or multi-variable interactions. Here, we implement a deep learning method that uses the full set of variables as input and the height-resolved ozone concentrations as output. We can then explore each factor’s importance for ozone profile prediction, clueing on the information this factor contains. However, the amount of data in this study is limited, and so is the amount of information the dataset contains, making it challenging for any machine learning algorithm to utilize this information for meaningful predictions. Instead, since we intend to explore the amount of information each factor contains and not truly predict ozone concentrations, we can train an ensemble of models over random folds or splits of the available data to predict ozone profiles and average the resulting factors’ importance.
For the prediction task, we define an artificial neural network architecture of the following structure (Fig. 9): an input tensor of shape [B,fin], where B = 1024 is the batch size used and fin = 165 are the input features as detailed in the SI (Text S3), is randomly masked and fed into a an autoencoder63, which compresses the input into a latent space of L = 32 (green). The [B,fout] (fout = 11) target ozone concentrations are then predicted using a fully connected prediction head with 3 layers and hidden dimension of 32. In parallel, to generalize the compression and to encourage the network to learn meaningful features instead of random details in the training data, the autoencoder decodes the compressed tensor back into the input space, and its decoding performance is evaluated as well in the loss function as an auxiliary task. The masking is done by randomly removing input values and replacing them with unique numbers, which are one learnable parameter for each feature. To encourage the network to learn to ignore these values, the mask itself, another tensor of shape [B,fin] with values of 0 where masked and 1 where valid, is concatenated with the input to yield a tensor of shape [B,2*fin], which is then introduced into the encoder. The masking rate is controlled and increases linearly during training to gradually train the autoencoder and the prediction head in parallel, from 0 (no masking at all) to 0.1 (10% of the features are omitted). The decoders are composed of 3 fully connected layers each with internal blocks of hidden dimensions of 32 for the prediction head and 64 for the auxiliary decoder head. Between each layer there is a LeakyReLU activation layer for non-linearity64, and one layer per block of 0.1 dropout for regularization. The total number of trainable parameters is 32,341 (see Text S4 for a summary of the network structure).
The network is composed of an autoencoder with a prediction head over the latent space (green). The input is first masked by replacing random features with learnable parameters, signaling the network to ignore these values. The mask itself is concatenated to the input to yield an input of [B = 1024,2*fin = 2*165], which is then fed into the autoencoder. The hidden dimensions of the encoder and prediction head are 32, while the auxiliary decoder head has a dimension of 64. Each layer is separated by a LeakyReLU activation layer for non-linearity and a dropout of 0.164. The sizes and layers were optimized for the task of predicting ozone profiles.
Data samples were first normalized by reducing their means and dividing by their standard deviations, yielding a relatively uniformly distributed dataset (validation set means and standard deviations were taken from the training set). Data was augmented with random noise of up to 5%. We chose the Adam optimizer with a learning rate of 10−3 and weight decay of 10−4 for regularization65, having well documented usage and is fitting the tasks of fully-connected regressions. A reduce-on-plateau learning rate scheduler was used with a factor of 0.5 and patience of 1, halving the learning rate whenever the validation loss plateaued. The loss function is the mean squared error (MSE) of the predictions and targets for both the prediction task and the auxiliary task. The total loss is the weighted sum of both MSE losses, with the weight of the main task being 0.95 and the auxiliary task being 0.05. These hyperparameters were carefully selected by trial and error to achieve learning convergence in about 30 epochs. Each epoch is composed of 32 randomly generated masks and augmented data samples per flight, that are regenerated each epoch. The validation set is composed of pre-generated 256 samples per flight and does not change during training. This training setup allowed for automatic training, and the procedure was repeated 100 times for the feature importance analysis, with each run differing mostly by its validation and training flights. The splits yielded 53 complete flights for training and 13 complete flights for validation (80% to 20%). The models were re-initialized and re-trained for 50 epochs at each run and saved when their validation loss achieved a minimum to avoid overfitting. Finally, the top 25, rated by their validation average RMSE, were selected for the feature importance analysis. Training results are presented in the SI (Fig. S6 to S8).
Feature importance is defined by the Integrated Gradients (IG)66, a method for quantifying each input feature’s contribution to each output feature’s prediction. IG is calculated by summing the gradients of the model’s output with respect to the input along a linear path between a baseline input and the actual input samples. This path is discretized into m = 50 steps, and the result is scaled by the difference between the input and the baseline. This results in a smooth and stable attribution of input changes to the model’s outputs. Concretely, we calculate the IG by the following method:
where b,j,i index the batch, output feature and input feature, respectively. The term \(\frac{\partial {F}_{j}\left(y\right)}{\partial {x}_{i}}\) represents the gradient of the model’s F output feature j w.r.t input feature \({x}_{i}\), for an arbitrary model input y. The baseline, \({x}_{b,i}^{{\prime} }\), is set as zero, which corresponds to the means in our normalized dataset. Thus, the summation represents a discrete approximation of the integral over the path from the mean to the actual input. This calculation is repeated for all validation samples and aggregated into an IGfull tensor of shape [S,fout, fin], where S is the number of validation samples. To normalize the contributions per output feature, we divide each attribution vector by the sum of its absolute values along the input dimension (fin), so that for each output j, the sum over i is 1. Finally, we average the attributions over all samples, resulting in a Feature Importance tensor of shape [fout, fin], shown in Fig. 3.
Data availability
All data that support the findings in this study is either freely available or available from the corresponding authors on request. Ground data is available at https://air.sviva.gov.il/ and https://ims.gov.il/he. The code used in this work is available from the corresponding authors on request.
Code availability
All data that support the findings in this study is either freely available or available from the corresponding authors on request. Ground data is available at https://air.sviva.gov.il/ and https://ims.gov.il/he. The code used in this work is available from the corresponding authors on request.
References
World Health Organization. WHO Global Air Quality Guidelines: Particulate Matter (PM2.5 and PM10), Ozone, Nitrogen Dioxide, Sulfur Dioxide and Carbon Monoxide; World Health Organization: Geneva, (2021).
Kley, D., Kleinmann, M., Sanderman, H. & Krupa, S. Photochemical oxidants: state of the science. Environ. Pollut. 100, 19–42 (1999).
Derwent, R. G. et al. Uncertainties in models of tropospheric ozone based on Monte Carlo analysis: tropospheric ozone burdens, atmospheric lifetimes and surface distributions. Atmos. Environ. 180, 93–102 (2018).
von Clarmann, T. et al. Overview: Estimating and reporting uncertainties in remotely sensed atmospheric composition and temperature. Atmos. Meas. Tech. 13, 4393–4436 (2020).
Sarafian, R., Kloog, I. & Rosenblatt, J. D. Optimal-design domain-adaptation for exposure prediction in two-stage epidemiological studies. J. Expo. Sci. Environ. Epidemiol. 33, 963–970 (2023).
Khoder, M. I. Diurnal, seasonal and weekdays–weekends variations of ground level ozone concentrations in an urban area in Greater Cairo. Environ. Monit. Assess. 149, 349–362 (2009).
Stefan, S., Radu, C. & Livio, B. Analysis of air quality in two sites with different local conditions. Environ. Eng. Manag. J. 12, 371–379 (2013).
Altshuler, S. L., Arcado, T. D. & Lawson, D. R. Weekday vs. weekend ambient ozone concentrations: discussion and hypotheses with focus on Northern California. J. Air Waste Manag. Assoc. 45, 967–972 (1995).
Sicard, P., Agathokleous, E., De Marco, A., Paoletti, E. & Calatayud, V. Urban population exposure to air pollution in Europe over the Last Decades. Environ. Sci. Eur. 33, 28 (2021).
Stavrakou, T., Müller, J.-F., Bauwens, M., Boersma, K. F. & van Geffen, J. Satellite evidence for changes in the NO2 weekly cycle over large cities. Sci. Rep. 10, 10066 (2020).
Lv, M. et al. Contrasting trends of surface PM2.5, O3, and NO2 and their relationships with meteorological parameters in typical coastal and inland cities in the Yangtze River Delta. Int J. Environ. Res Public Health 18, 12471 (2021).
Varaprasad, V., Kanawade, V. P. & Narayana, A. C. Association between sea-land breeze and particulate matter in five coastal urban locations in India. Sci. Total Environ. 913, 169773 (2024).
Pancholi, P., Kumar, A., Bikundia, D. S. & Chourasiya, S. An observation of seasonal and diurnal behavior of O3–NOx relationships and local/regional oxidant (OX = O3 + NO2) levels at a semi-arid urban site of Western India. Sustain. Environ. Res. 28, 79–89 (2018).
Dayan, U., Ziv, B., Shoob, T. & Enzel, Y. Suspended dust over Southeastern Mediterranean and its relation to atmospheric circulations. Int. J. Climatol. 28, 915–924 (2008).
Kalkstein, A. J., Rudich, Y., Raveh-Rubin, S., Kloog, I. & Novack, V. A closer look at the role of the cyprus low on dust events in the Negev Desert. Atmosphere 11, 1020 (2020).
Fluck, E.; Raveh-Rubin, S. Dry air intrusions link rossby wave breaking to large-scale dust storms in North Africa; EGU22-709; Copernicus Meetings, 2022. https://doi.org/10.5194/egusphere-egu22-709.
Chen, K., Ma, Y., Bell, M. L. & Yang, W. Canadian wildfire smoke and asthma syndrome emergency department visits in New York City. JAMA 330, 1385–1387 (2023).
Thomas, M. A. & Devasthale, A. Typical meteorological conditions associated with extreme nitrogen dioxide (NO2) Pollution events over Scandinavia. Atmos. Chem. Phys. 17, 12071–12080 (2017).
Massagué, J. et al. Extreme ozone episodes in a major Mediterranean urban area. Atmos. Chem. Phys. 24, 4827–4850 (2024).
Lu, P. et al. Impacts of compound extreme weather events on summer ozone in the Beijing-Tianjin-Hebei region. Atmos. Pollut. Res. 15, 102030 (2024).
Bates, T. S. et al. Measurements of atmospheric aerosol vertical distributions above Svalbard, Norway, Using Unmanned Aerial Systems (UAS). Atmos. Meas. Tech. 6, 2115–2120 (2013).
Brown, S. S. et al. Nitrogen, aerosol composition, and halogens on a Tall Tower (NACHTT): Overview of a Wintertime Air Chemistry Field Study in the Front Range Urban Corridor of Colorado. J. Geophys. Res.: Atmos. 118, 8067–8085 (2013).
Chapter 7 Atmospheric Stability and Pollutant Dispersion. In Developments in Atmospheric Science; Camuffo, D., Ed.; Microclimate for Cultural Heritage; Elsevier, 1998; Vol. 23, pp 195–234.
Young, C. J. et al. Vertically resolved measurements of nighttime radical reservoirs in Los Angeles and their contribution to the urban radical budget. Environ. Sci. Technol. 46, 10965–10973 (2012).
Renard, J.-B., Michoud, V. & Giacomoni, J. Vertical profiles of pollution particle concentrations in the boundary layer above Paris (France) from the Optical Aerosol Counter LOAC Onboard a Touristic Balloon. Sensors 20, 1111 (2020).
Piersanti, A., Vitali, L., Righini, G., Cremona, G. & Ciancarella, L. Spatial representativeness of air quality monitoring stations: a grid model based approach. Atmos. Pollut. Res. 6, 953–960 (2015).
Hubert, D. et al. TROPOMI tropospheric ozone column data: geophysical assessment and comparison to Ozonesondes, GOME-2B and OMI. Atmos. Meas. Tech. 14, 7405–7433 (2021).
Dingley, O., Connolly, M., Connolly, R. & Soon, W. A comparison of different metrics for analyzing the troposphere/stratosphere transitions using high-resolution ozonesondes. Environ. Sci. Proc. 19, 14 (2022).
Brown, S. S. & Stutz, J. Nighttime radical observations and chemistry. Chem. Soc. Rev. 41, 6405–6447 (2012).
Flynn, C. M. et al. Variability of O3 and NO2 profile shapes during DISCOVER-AQ: Implications for Satellite Observations and Comparisons to Model-Simulated Profiles. Atmos. Environ. 147, 133–156 (2016).
Gao, R. S. et al. A comparison of observations and model simulations of NOx/NOy in the lower stratosphere. Geophys. Res. Lett. 26, 1153–1156 (1999).
Hönninger, G., von Friedeburg, C. & Platt, U. Multi Axis Differential Optical Absorption Spectroscopy (MAX-DOAS). Atmos. Chem. Phys. 4, 231–254 (2004).
Sarafian, R., Nathan, S., Nissenbaum, D., Khan, S. & Rudich, Y. Correction of CAMS PM10 reanalysis improves AI-based dust event forecast. Remote Sens. 17, 222 (2025).
Liu, X. et al. Low-cost sensors as an alternative for long-term air quality monitoring. Environ. Res. 185, 109438 (2020).
Carotenuto, F., Bisignano, A., Brilli, L., Gualtieri, G. & Giovannini, L. Low-cost air quality monitoring networks for long-term field campaigns: a review. Meteorol. Appl. 30, e2161 (2023).
Bousiotis, D. et al. A study on the performance of low-cost sensors for source apportionment at an urban background site. Atmos. Meas. Tech. 15, 4047–4061 (2022).
Papaconstantinou, R. et al. Field evaluation of low-cost electrochemical air quality gas sensors under extreme temperature and relative humidity conditions. Atmos. Meas. Tech. 16, 3313–3329 (2023).
Zheng, Z. et al. A mini broadband cavity enhanced absorption spectrometer for nitrogen dioxide measurement on the unmanned aerial vehicle platform. Atmos. Environ. 321, 120361 (2024).
Womack, C. C. et al. A lightweight broadband cavity-enhanced spectrometer for NO2 measurement on uncrewed aerial vehicles. Atmos. Meas. Tech. 15, 6643–6652 (2022).
Zhou, J. et al. Unmanned-aerial-vehicle-borne cavity enhanced albedometer: a powerful tool for simultaneous in-situ measurement of aerosol light scattering and absorption vertical profiles. Opt. Express, OE 31, 20518–20529 (2023).
Villa, T. F., Gonzalez, F., Miljievic, B., Ristovski, Z. D. & Morawska, L. An overview of small unmanned aerial vehicles for air quality measurements: present applications and future prospectives. Sensors 16, 1072 (2016).
Malardel, S. Atmospheric Buoyancy-Driven Flows. In Buoyancy-Driven Flows; Cenedese, C., Chassignet, E. P., Verron, J., Eds.; Cambridge University Press: Cambridge, 2012; pp 312–337. https://doi.org/10.1017/CBO9780511920196.009.
2B Technologies - POM. https://www.aqmd.gov/sensors/2b-technologies---pom (accessed 2025-03-04).
Adler, G., Flores, J. M., Abo Riziq, A., Borrmann, S. & Rudich, Y. Chemical, physical, and optical evolution of biomass burning aerosols: a case study. Atmos. Chem. Phys. 11, 1491–1503 (2011).
Ajith, T. C. et al. Investigating New Particle Formation and Growth Over an Urban Location in the Eastern Mediterranean. J. Geophys. Res.: Atmos. 129, e2024JD041802 (2024).
Tomlin, J. et al. Chemical composition and morphological analysis of atmospheric particles from an intensive bonfire burning festival. Environ. Sci.: Atmos. 2022. https://doi.org/10.1039/D2EA00037G.
Jiang, X. et al. Hydrophobic organic components of ambient fine particulate matter (PM2.5) associated with inflammatory cellular response. Environ. Sci. Technol. 53, 10479–10486 (2019).
Lima de Albuquerque, Y. et al. The toxic effect of water-soluble particulate pollutants from biomass burning on alveolar lung cells. Atmosphere 12, 1023 (2021).
Pardo, M. et al. Mechanisms of lung toxicity induced by biomass burning aerosols. Part. Fibre Toxicol. 17, 4 (2020).
Pardo, M., Qiu, X., Zimmermann, R. & Rudich, Y. Particulate matter toxicity Is Nrf2 and Mitochondria dependent: the roles of metals and polycyclic aromatic hydrocarbons. Chem. Res. Toxicol. 33, 1110–1120 (2020).
Dayan, U. & Levy, I. The influence of meteorological conditions and atmospheric circulation types on PM10 and visibility in Tel Aviv. J. Appl. Meteorol. Climatol. 44, 606–619 (2005).
Nissenbaum, D., Sarafian, R., Rudich, Y. & Raveh-Rubin, S. Six types of dust events in Eastern Mediterranean identified using unsupervised machine-learning classification. Atmos. Environ. 309, 119902 (2023).
Sarafian, R. et al. Deep multi-task learning for early warnings of dust events implemented for the Middle East. npj Clim. Atmos. Sci. 6, 23 (2023).
Liang, D. et al. Measurement of the vertical distributions of atmospheric pollutants using an uncrewed aerial vehicle platform in Xi’an, China. Environ. Sci. Process Impacts 26, 1077–1089 (2024).
Laskin, A., Laskin, J. & Nizkorodov, S. A. Chemistry of atmospheric brown carbon. Chem. Rev. 115, 4335–4382 (2015).
Li, C., Windwer, E., Fang, Z., Nissenbaum, D. & Rudich, Y. Correcting Micro-Aethalometer absorption measurements for brown carbon aerosol. Sci. Total Environ. 777, 146143 (2021).
Kaur, K. & Kelly, K. E. Performance evaluation of the Alphasense OPC-N3 and Plantower PMS5003 sensor in measuring dust events in the Salt Lake Valley, Utah. Atmos. Meas. Tech. 16, 2455–2470 (2023).
McKinney, K. A. et al. A sampler for atmospheric volatile organic compounds by copter unmanned aerial vehicles. Atmos. Meas. Tech. 12, 3123–3135 (2019).
Lin, P. et al. Molecular chemistry of atmospheric brown carbon inferred from a nationwide biomass burning event. Environ. Sci. Technol. 51, 11561–11570 (2017).
Differential optical absorption spectroscopy; physics of earth and space environments. Springer: Berlin, Heidelberg, 2008. https://doi.org/10.1007/978-3-540-75776-4.
Friedman, J. H. Greedy function approximation: a gradient boosting machine. Ann. Stat. 29, 1189–1232 (2001).
Falocchi, M., Zardi, D. & Giovannini, L. Meteorological normalization of NO2 concentrations in the Province of Bolzano (Italian Alps). Atmos. Environ. 246, 118048 (2021).
Chen, S. & Guo, W. Auto-encoders in deep learning—a review with new perspectives. Mathematics 11, 1777 (2023).
LeakyReLU — PyTorch 2.7 documentation. https://docs.pytorch.org/docs/stable/generated/torch.nn.LeakyReLU.html (accessed 2025-05-29).
Kingma, D. P.; Ba, J. Adam: A Method for Stochastic Optimization. arXiv January 29, 2017. https://doi.org/10.48550/arXiv.1412.6980.
Sundararajan, M.; Taly, A.; Yan, Q. Axiomatic Attribution for Deep Networks. arXiv June 12, 2017. http://arxiv.org/abs/1703.01365 (accessed 2022-07-28).
Acknowledgements
YR, CCW, and SBB acknowledge support by the USA-Israel binational Science Foundation (BSF Grant #2020055). This research was partially supported by the Israeli Council for Higher Education (CHE) via the Weizmann Data Science Research Center, and by the Helen Kimmel Center for Planetary Science at the Weizmann Institute of Science. We thank Dr. Lior Segev and Guy Chen from the Weizmann Institute for supporting the development of the system. We thank Erez Dagan, Maria Kokin, Yarid Diga, Daniel Goldstein, Eviatar Shemesh, Nitzan Yizhar, and Sagy Cohen who worked on the development of the system as students. We thank the reviewers for their valuable input regarding the use of time lags, ground-level Factor 0, and absolute humidity in the ozone profiles analysis.
Author information
Authors and Affiliations
Contributions
D.N. led the system development and flight operations, conducted the analyses, and wrote the manuscript; R.S. contributed to the analyses, flight operations, and manuscript editing; E.W. contributed to system development, testing, flight operations, and manuscript editing; E.T. contributed to the analyses, insights, and manuscript editing; C.C.W., S.S.B. contributed to system development, analyses, insights, and manuscript editing; Y.R. guided the work, contributed to system development, analyses, and insights, and edited the manuscript.
Corresponding author
Ethics declarations
Competing interests
The authors declare no competing interests.
Additional information
Publisher’s note Springer Nature remains neutral with regard to jurisdictional claims in published maps and institutional affiliations.
Supplementary information
Rights and permissions
Open Access This article is licensed under a Creative Commons Attribution-NonCommercial-NoDerivatives 4.0 International License, which permits any non-commercial use, sharing, distribution and reproduction in any medium or format, as long as you give appropriate credit to the original author(s) and the source, provide a link to the Creative Commons licence, and indicate if you modified the licensed material. You do not have permission under this licence to share adapted material derived from this article or parts of it. The images or other third party material in this article are included in the article’s Creative Commons licence, unless indicated otherwise in a credit line to the material. If material is not included in the article’s Creative Commons licence and your intended use is not permitted by statutory regulation or exceeds the permitted use, you will need to obtain permission directly from the copyright holder. To view a copy of this licence, visit http://creativecommons.org/licenses/by-nc-nd/4.0/.
About this article
Cite this article
Nissenbaum, D., Sarafian, R., Windwer, E. et al. Deriving ozone and PM pollution vertical profiles using lightweight, cost-effective sensors and deep learning. npj Clim Atmos Sci 8, 282 (2025). https://doi.org/10.1038/s41612-025-01155-0
Received:
Accepted:
Published:
Version of record:
DOI: https://doi.org/10.1038/s41612-025-01155-0











