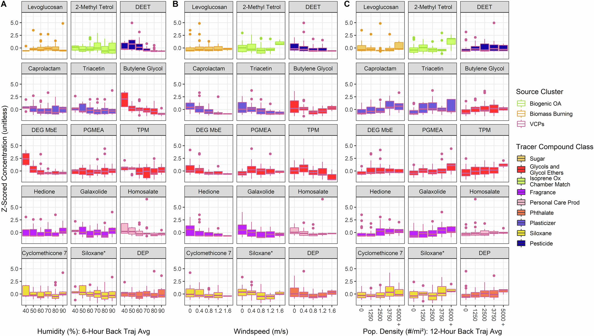
Fig. 2: Normalized variability of selected molecular tracers in relation to site and airmass history characteristics.
From: Emerging drivers of urban aerosol increase global change vulnerability in a US megacity

A 6-hour airmass average relative humidity; B site windspeed; and C 12-hour airmass history average population density. Common biomass burning and biogenic OA tracers are presented for context.