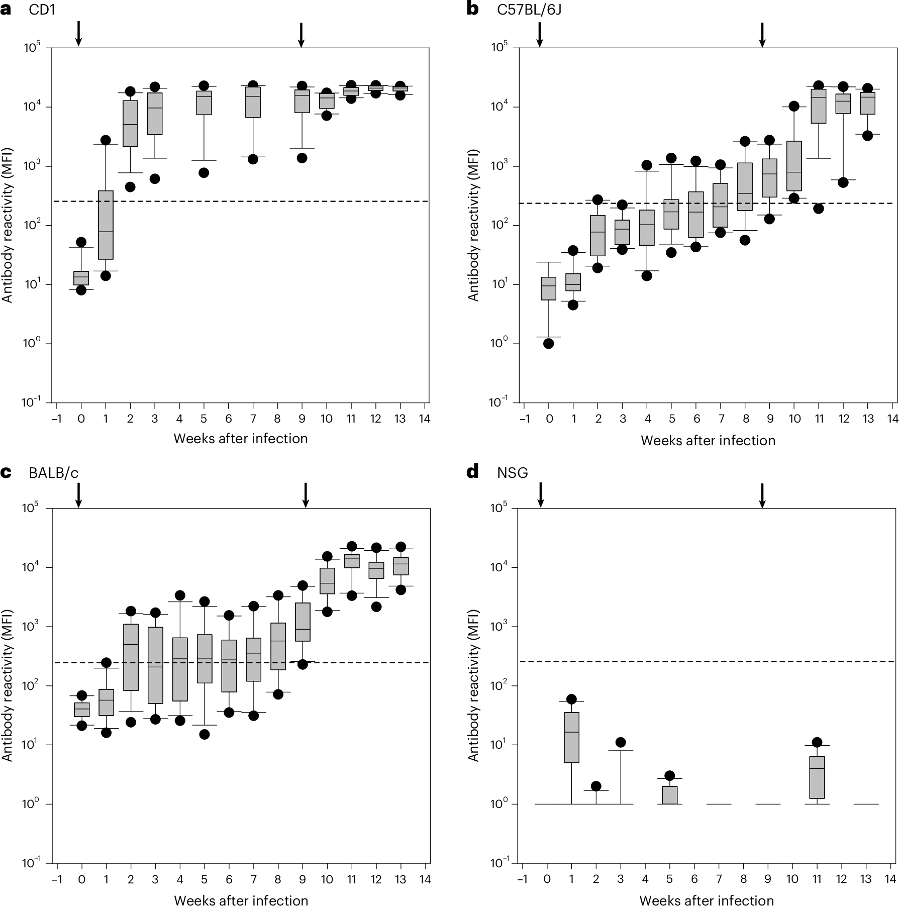
Fig. 6: Immune response of different mouse strains after first and second MuAstV infection.
From: Murine astrovirus infection course and antibody response in different mouse strains

a–d, MFI values of 12 mice per strain (CD1 (a), C57BL/6J (b), BALB/c (c) and NSG (d)) were analyzed by multiplex MuAstV serology (y axis) and plotted against weeks after infection (x axis) in a semilogarithmic format as boxplots. Boxplots are confined by the first and third quartile (interquartile range, Q1–Q3) in which 50% of data are found. Whiskers show the 10th and 90th percentile. The line within each boxplot represents the median. The threshold of 300 MFI is displayed as a dashed line. Data below the threshold are considered negative, whereas data above the threshold are considered positive. Arrows indicate the first and second infection (0 and 9 wpi).