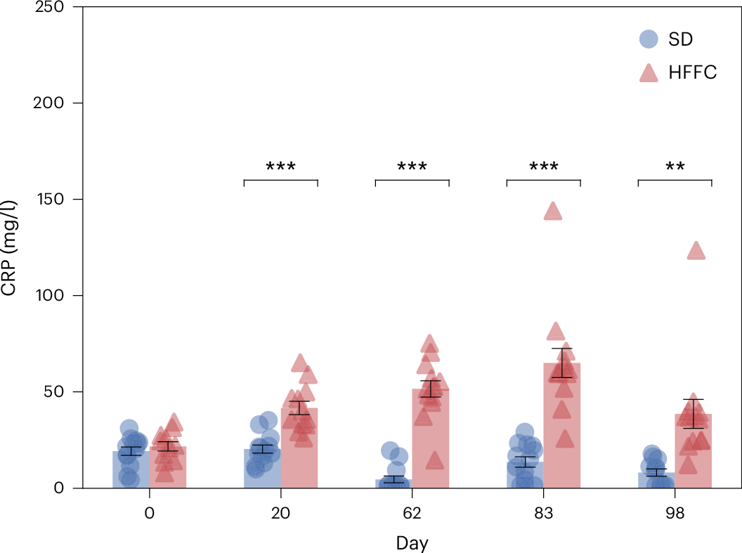
Fig. 3: The HFFC diet is associated with increased CRP serum concentrations in Göttingen minipigs.
From: Meta-inflammation and endotoxemia in a highly translational porcine model of diet-induced obesity

Statistical significance of differences between the HFFC (n = 13) and SD (n = 13) groups was determined with Welch’s t-test and Benjamini–Hochberg corrections (**P < 0.01, ***P < 0.001). The bars and error bars represent the mean and s.e.m.