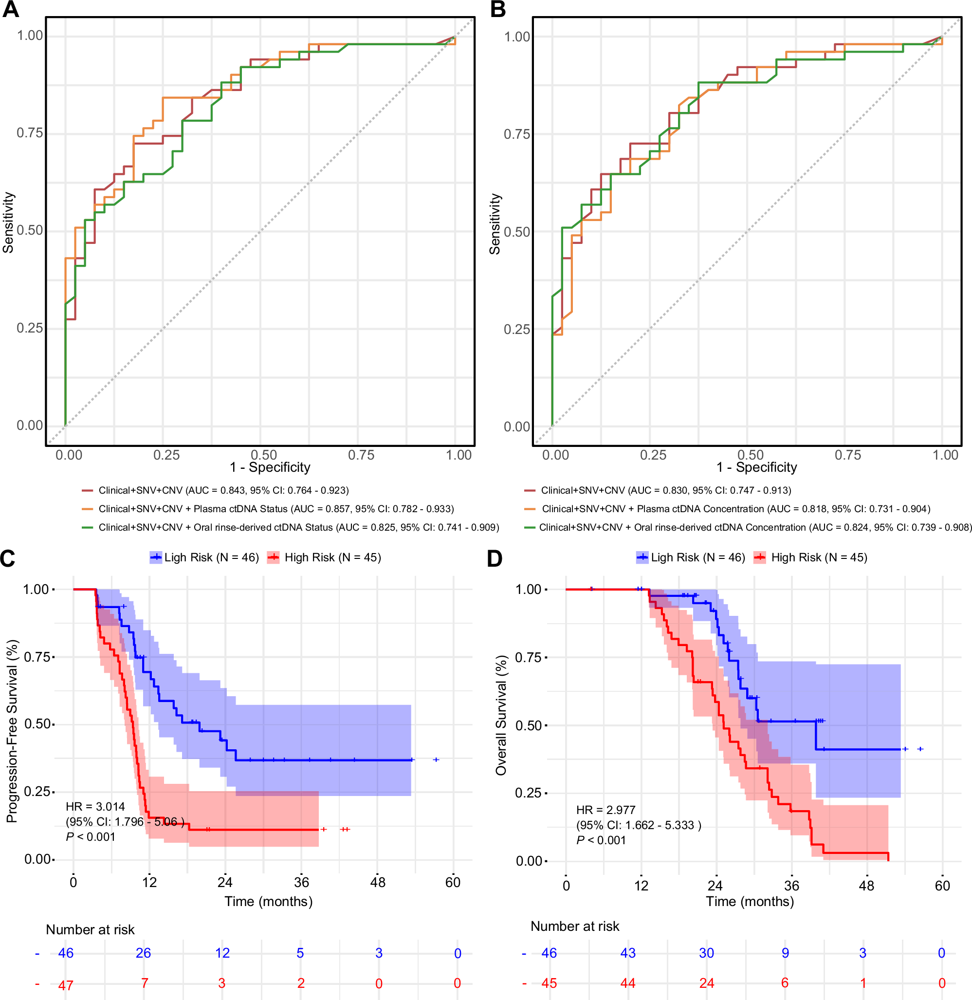
Fig. 8: Prediction of 1-year recurrence and prognosis using a combined model with ctDNA status.

A 1-year recurrence prediction based on the combined model incorporating DNA mutations, clinical factors, and ctDNA status from oral rinse and plasma samples. B 1-year recurrence prediction using the combined model with ctDNA concentration from oral rinse and plasma samples. C, D Kaplan–Meier curves comparing high- and low-risk groups for PFS (C) and OS (D). ctDNA circulating tumour DNA, PFS progression-free survival, OS overall survival.