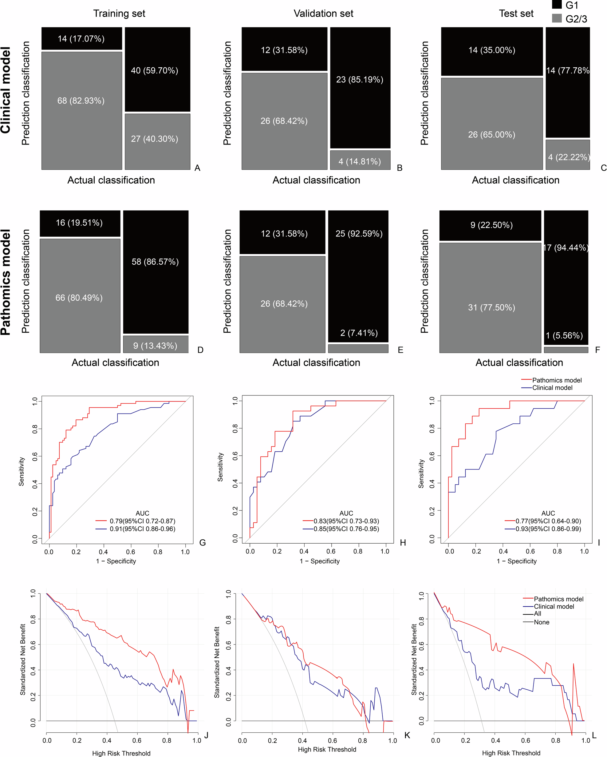
Fig. 4: The performance of the clinical and pathomics models.

A–C The Confusion Matrix plots demonstrate the prediction outcomes of the clinical prediction model in the training set, validation set, and external test set. D–F The Confusion Matrix plots demonstrate the prediction outcomes of the pathomics prediction model in the training set, validation set, and external test set. G–I The ROC curves of the pathomics model and clinical model in the training set (AUC = 0.91 vs. AUC = 0.79), validation set (AUC = 0.85 vs. AUC = 0.83) and external test set (AUC = 0.93 vs. AUC = 0.77). J–L The decision curve analysis for the pathomics model and clinical model in the training, validation, and test sets, respectively. The x-axis represents the threshold probability. The y-axis represents the corresponding net benefit. The decision curves indicated that if the threshold probability fell between 0.05 and 0.95 (training set), between 0.21% and0.30, and 0.33 and 0.72 (validation set), and between 0.13 and 0.90 (Test set) in the pathomics model, respectively, using the nomogram to predict G1 and G2/3 of PanNET is more beneficial than the “treat-all-patients as G1” scheme or the “treat-all-patients as G2/3” scheme.