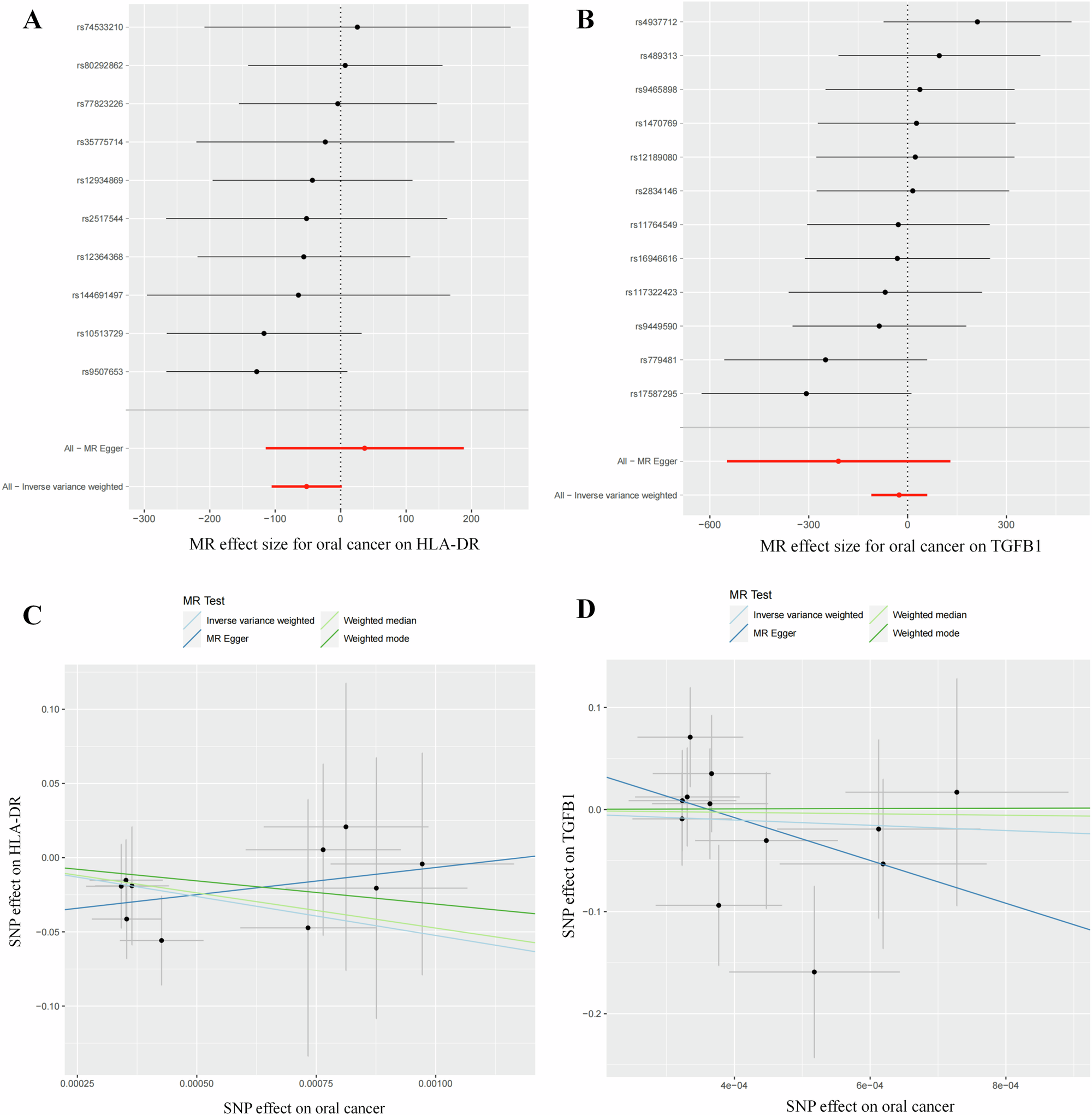
Fig. 8: Mendelian randomization (MR) was employed to examine the correlation between HLA-DR and TGF-β1 with oral cancer.
From: Exosomal SNHG26 mediates immunosuppression by impairing NK cells in tongue cancer

A, B Forest plot of the causal effects of SNP associated with oral cancer on HLA-DR or TGFB1 expression. The significance of red lines are MR results of the MR-Egger test and the IVW method. C, D Scatter plots of genetic associations with oral cancer against the genetic associations with HLA-DR or TGFB1. The slopes of each line represent the causal association for each method. The figures were generated using the R language (version 4.2.0).