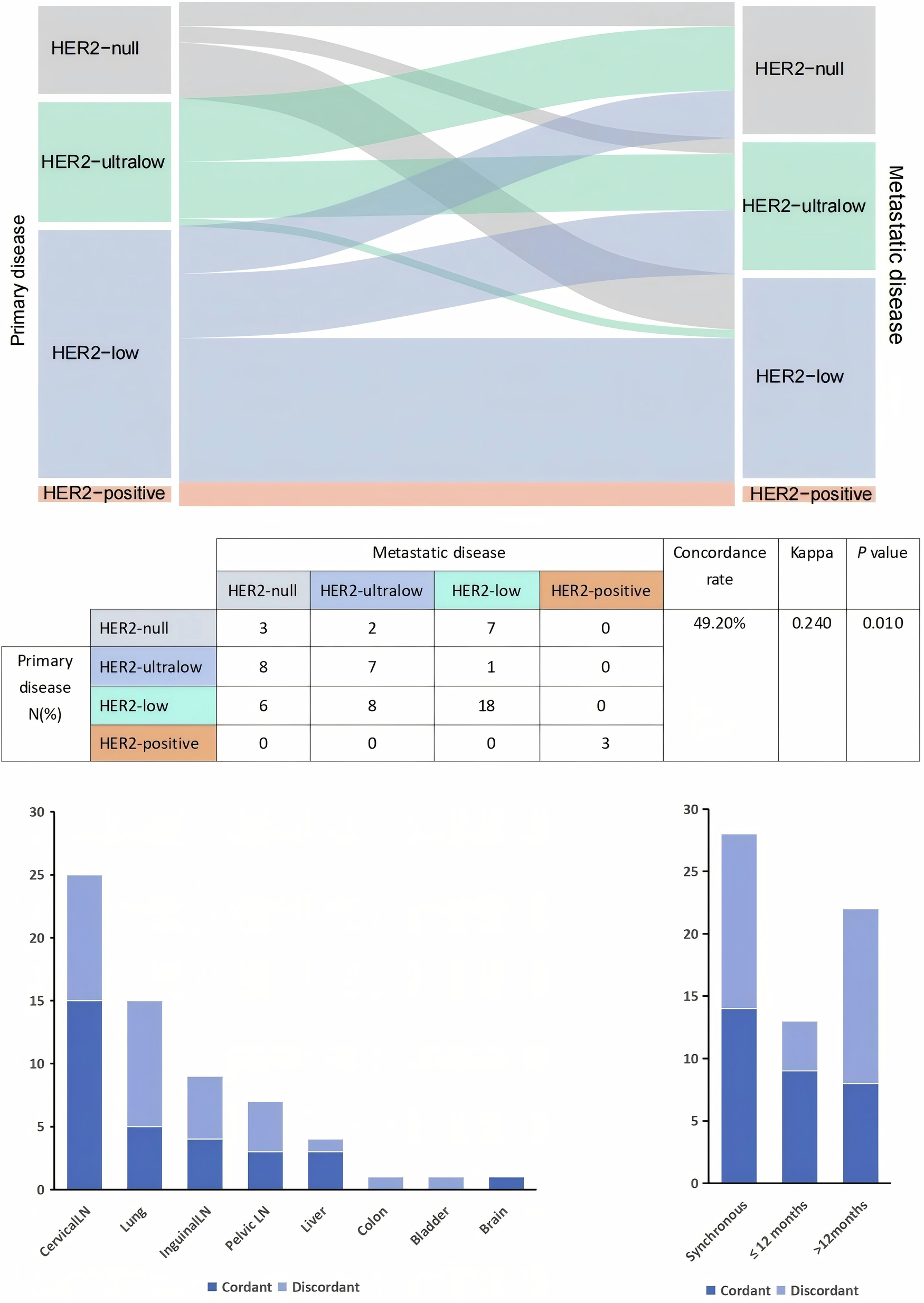
Fig. 7: Changes in HER2 expression in primary cervical lesions and metastatic lesions. | npj Precision Oncology