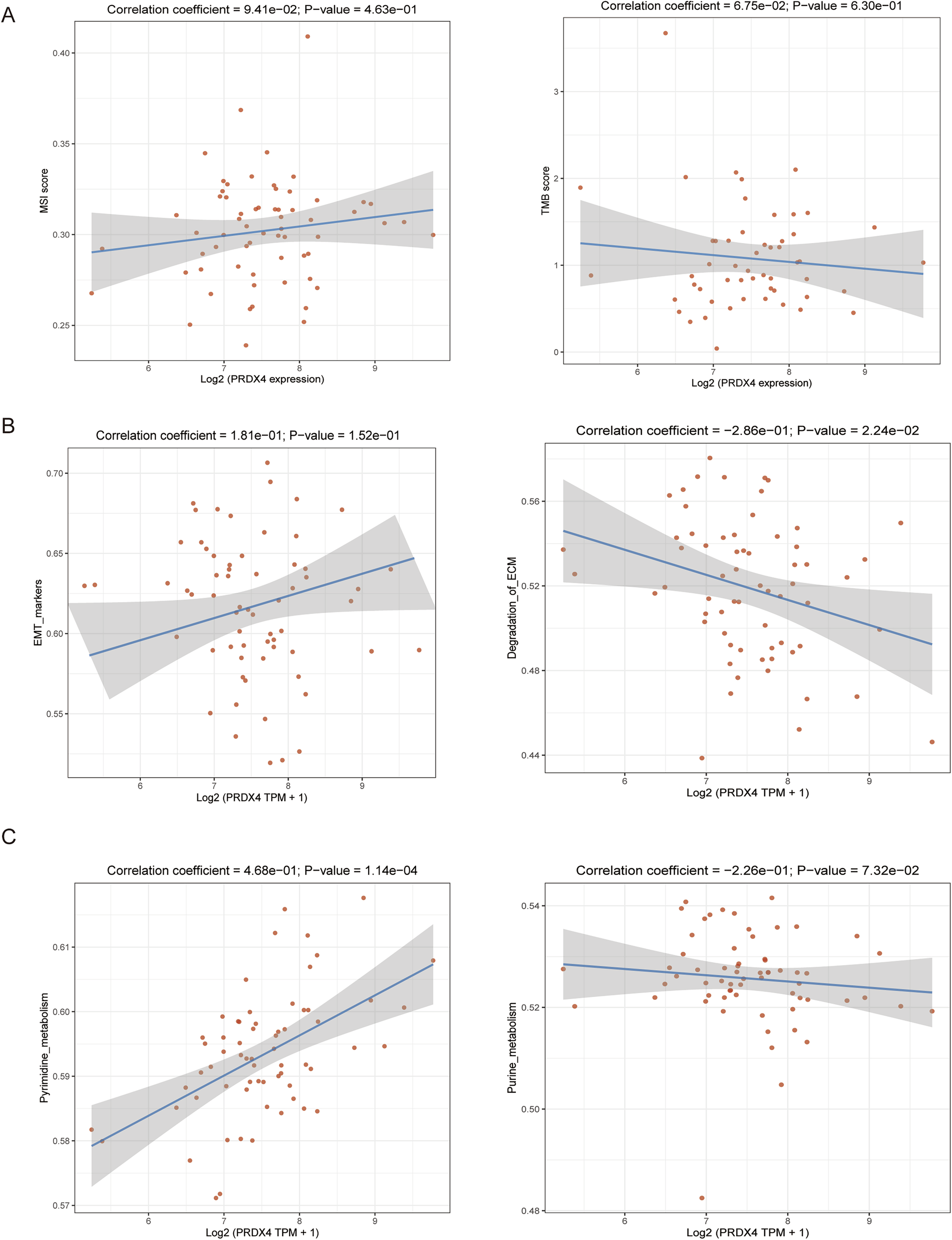
Fig. 5: Associations between PRDX4 expression and immunogenomic features and pathway activities.

A The relationship between expression of PRDX4 and MSI and TMB score. B The relationship between the expression of PRDX4 and EMT and ECM degradation. C The relationship between the expression of PRDX4 and pyrimidine metabolism and purine metabolism. Abbreviations: PRDX4, peroxiredoxin 4; MSI, microsatellite instability; TMB, tumor mutational burden; EMT, epithelial–mesenchymal transition; ECM, extracellular matrix.