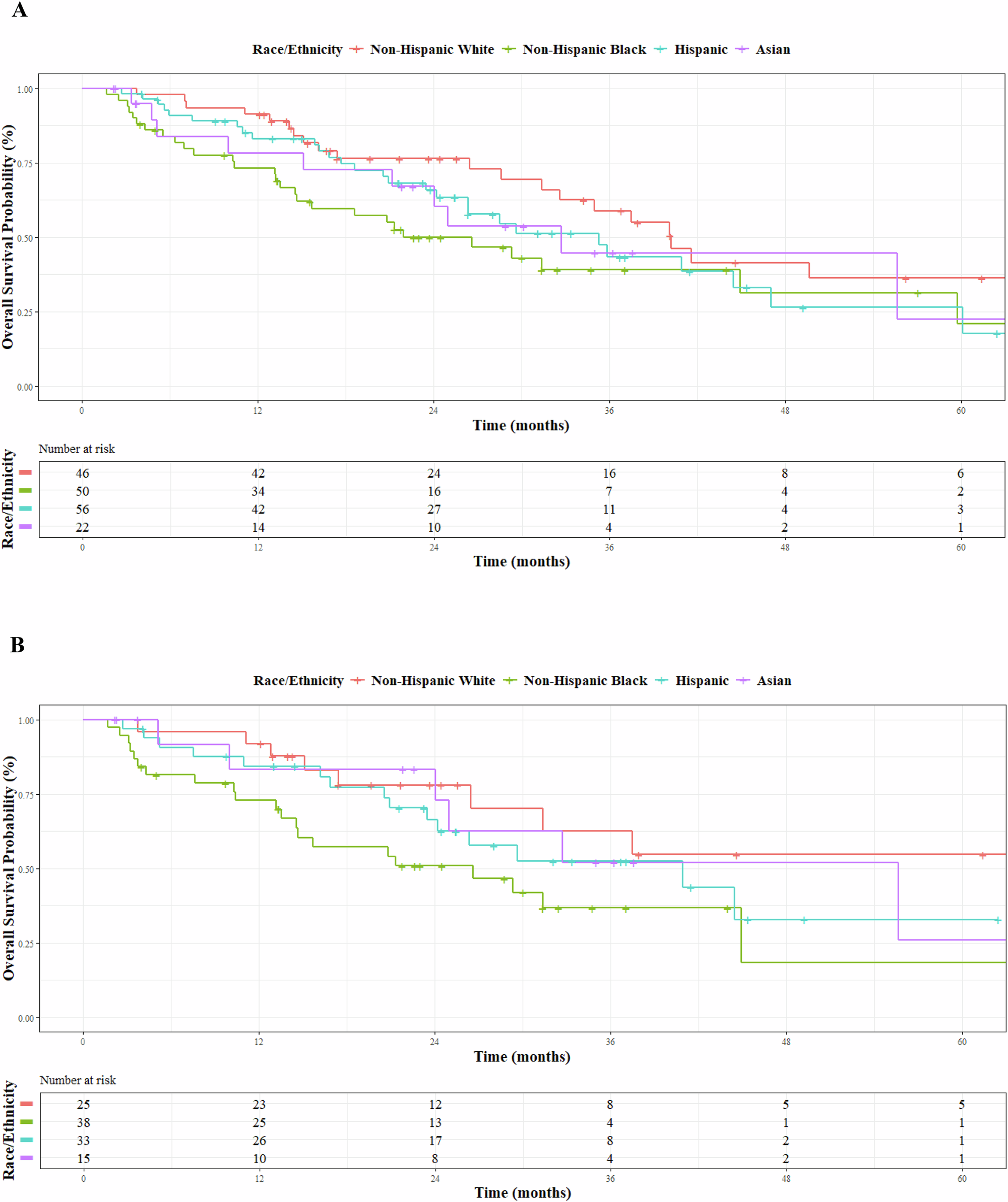
Fig. 3: Kaplan-Meier estimates of real-world overall survival by race & ethnicity. | npj Precision Oncology