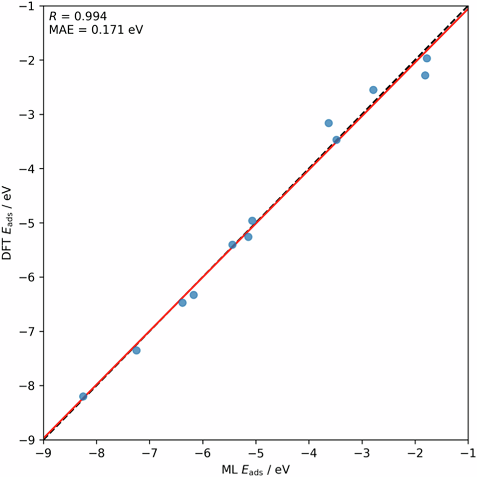
Fig. 13: Parity plot between ML RFR predicted and DFT calculated Eads of 12 random SA/M5X4 MXene surfaces.

The dashed black line represents perfect parity, while the red line the obtained parity.

The dashed black line represents perfect parity, while the red line the obtained parity.