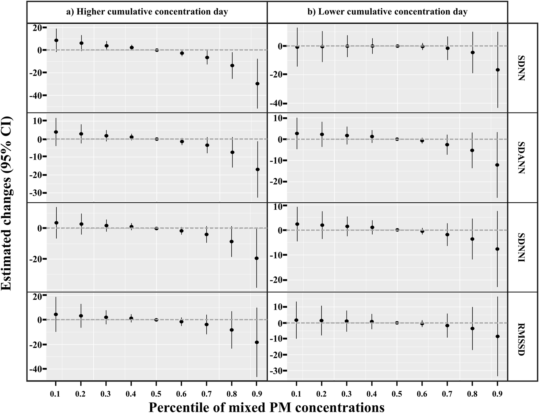
Fig. 2: The overall effects PM1.0, PM2.5, PM10, and HRV were estimated using the Bayesian kernel machine regression method.

The overall effect of the mixture (95% CI) is defined as the difference in the response when all of the exposures are fixed at a specific quantile (ranging from 0.10 to 0.90), as compared to when all of the exposures are fixed at their median value. a The day with the higher cumulative concentration of particulate matter. b The day with the lower cumulative concentration of particulate matter. Models were adjusted for age, sex, BMI, respiration rate, smoking, alcohol consumption, METs, hypertension, diabetes mellitus, TVOC, humidity, and temperature. CI, confidence interval; PM, particulate matter; SDNN, standard deviation of NN intervals; SDNNI, mean of the standard deviations of all the NN intervals for each 5 min segment of a 24 h HRV recording; SDANN, standard deviation of the average NN intervals for each 5 min segment of a 24 h HRV recording; NN, normal-to-normal; RMSSD, root mean square of successive RR interval differences; RR, the time between successive R waves in an electrocardiogram (ECG), representing one cardiac cycle.