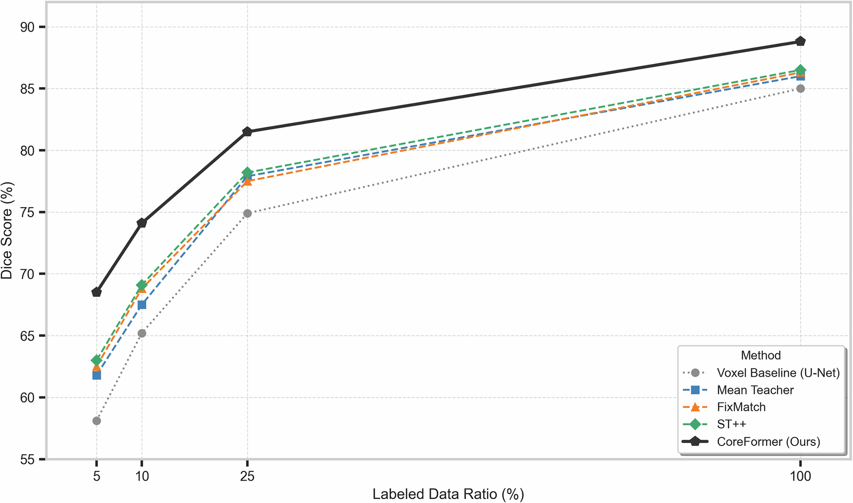
Fig. 6: Performance comparison under semi-supervised settings with varying labeled data ratios (5%, 10%, 25%, 100%).

CoreFormer consistently outperforms voxel-based and consistency-regularized methods across all supervision levels. The performance gap is particularly pronounced under low-label regimes (5–10%), demonstrating the effectiveness of diffusion-based shape regularization.