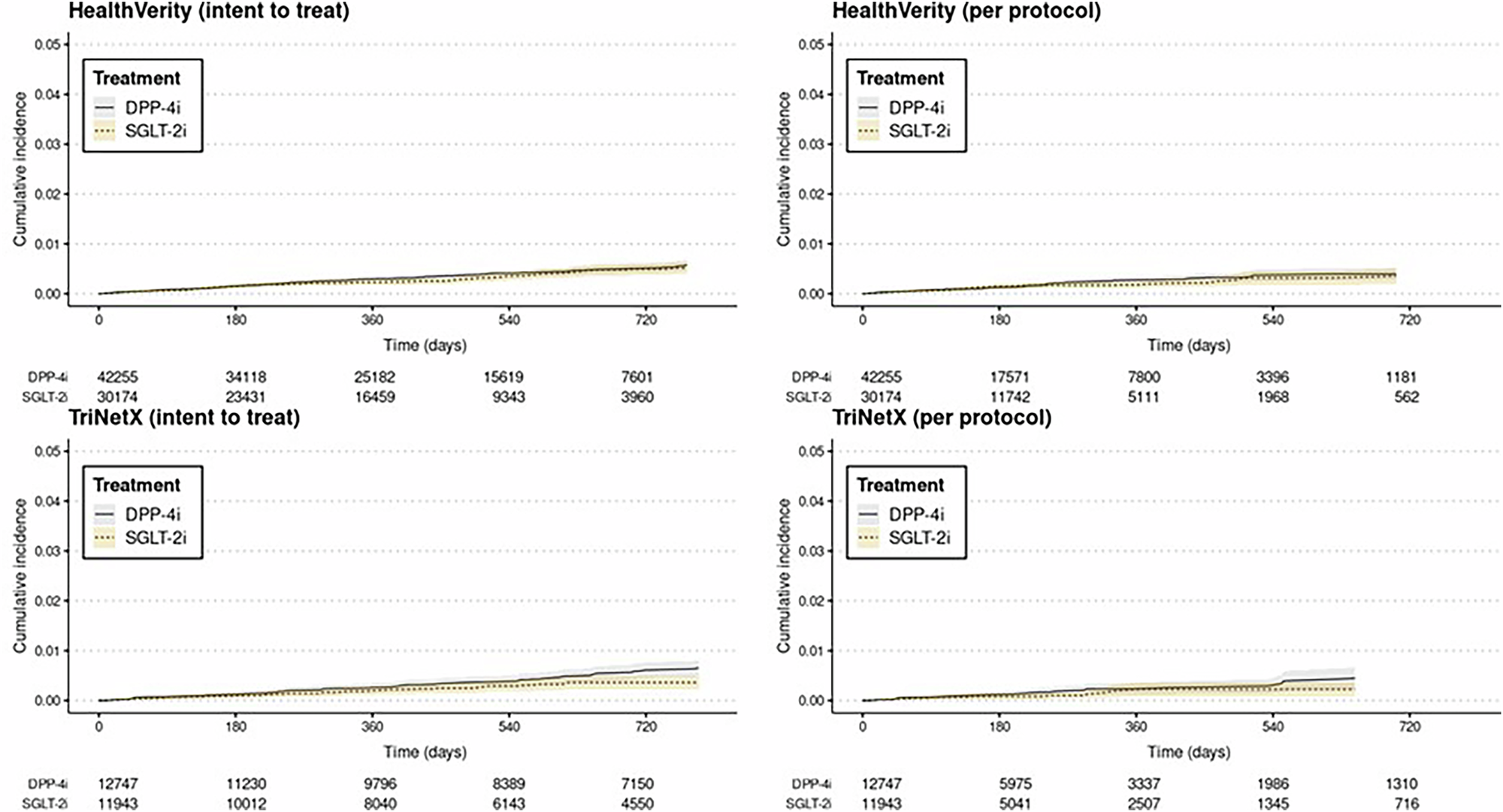
Fig. 1

Cumulative incidence of acute pancreatitis before propensity score adjustment in the study cohort of patients with Type 2 diabetes mellitus initiating SGLT-2 inhibitors or DPP-4 inhibitors.

Cumulative incidence of acute pancreatitis before propensity score adjustment in the study cohort of patients with Type 2 diabetes mellitus initiating SGLT-2 inhibitors or DPP-4 inhibitors.