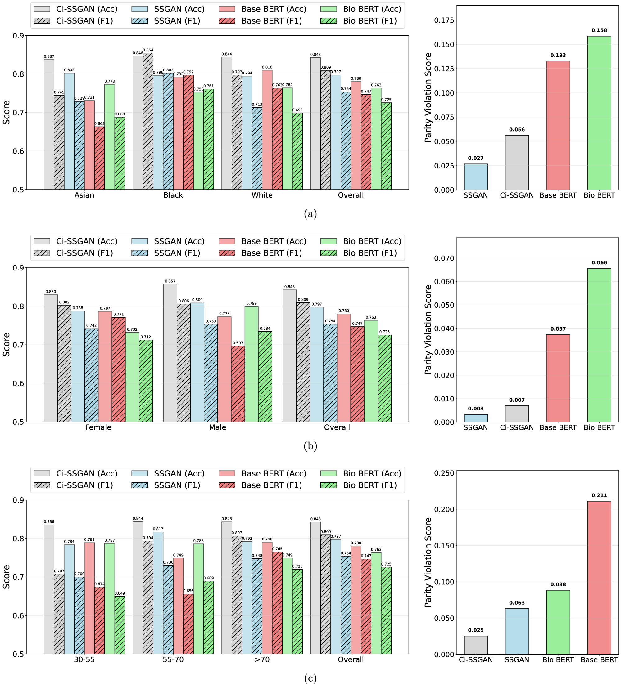
Fig. 2: Performance comparison of Ci-SSGAN, SSGAN, Base BERT, and Bio BERT models across.

a Racial groups, b Gender groups, and c Age groups using 25% of the labeled data. Left panels show accuracy (solid bars) and F1-score (hatched bars) for each subgroup and overall performance. Right panels present corresponding parity violation scores, indicating fairness across demographic subgroups. Ci-SSGAN consistently achieves higher accuracy and F1-scores with lower parity violations compared to other models. The results are presented on five CV folds. Acc Accuracy, F1 = F1- macro.