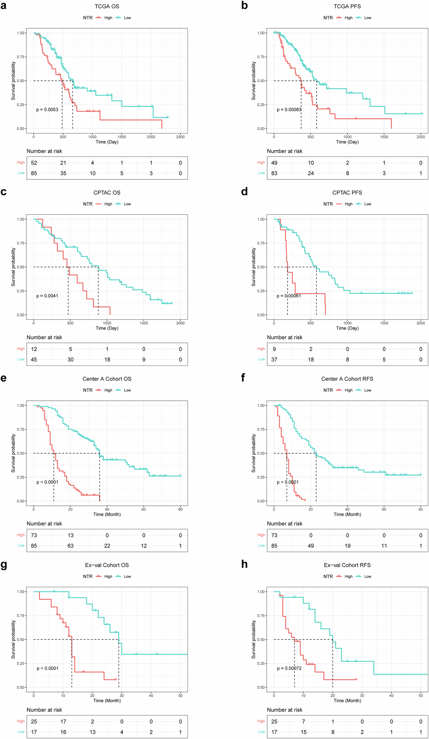
Fig. 2: Impact of tumor-infiltrating NTR on prognostic and chemotherapeutic response in public cohorts.

Differential (a) OS and (b) PFS stratified by NTR status in the TCGA cohort; corresponding survival disparities for (c) OS and (d) PFS in the CPTAC validation set; Significant survival disparities in (e) OS and (f) RFS stratified by NTR status within the Center A cohort; consistent prognostic stratification for (g) OS and (h) RFS in the external validation cohort. NTR neutrophil-to-T-lymphocyte ratio, OS overall survival, PFS progression-free survival, DFS recurrence-free survival.