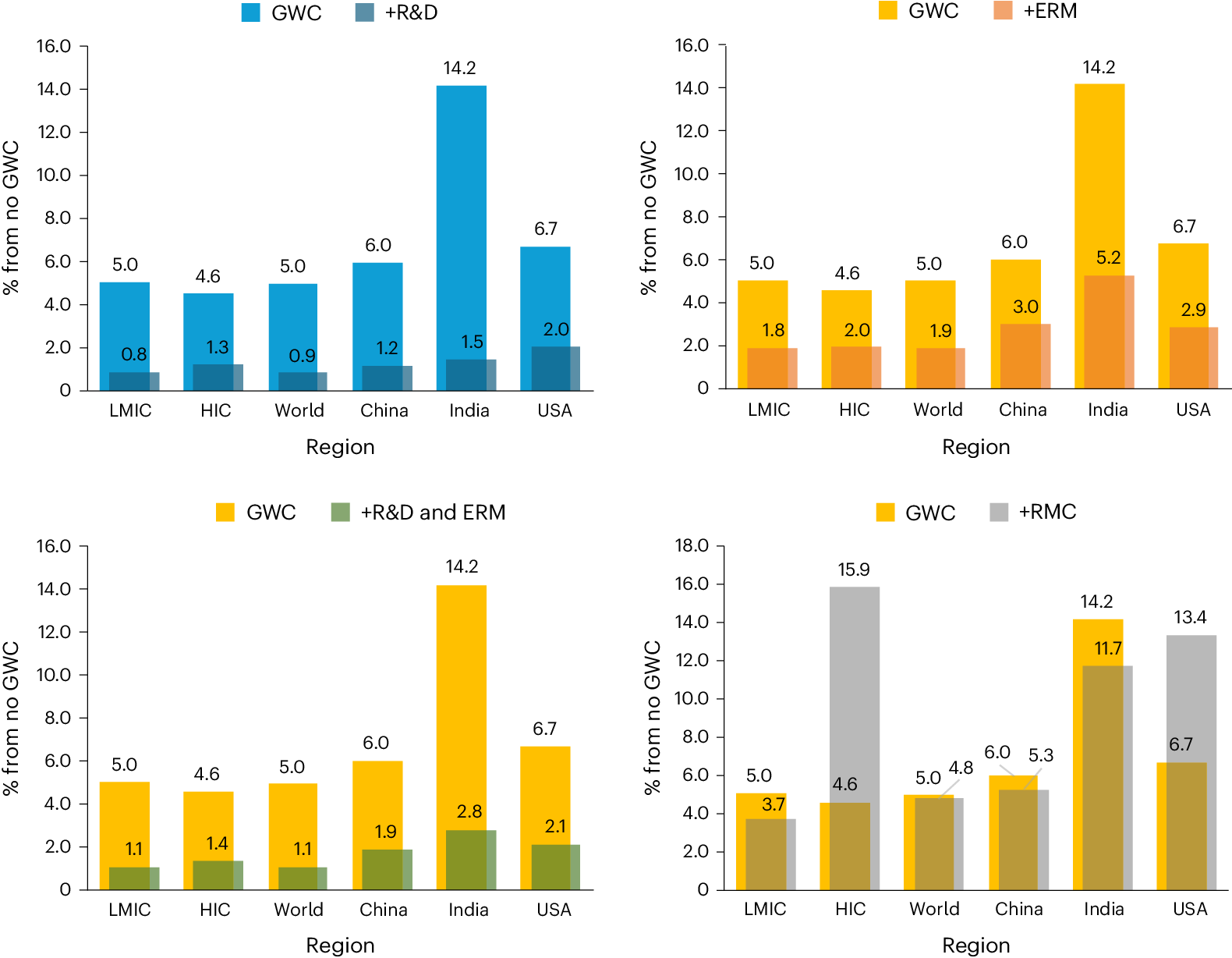
Fig. 4: Projected net effects of GWC scenario and alternative policy scenarios on the number of people at risk of hunger, compared with the No GWC baseline, 2050 (%).
From: Ending groundwater overdraft without affecting food security

Values are averages of the three simulation models: GFDL, HadGEM and IPSL with RCP 8.5. CC-BAU, climate change scenario without GW conservation, or business as usual. Calculated using IMPACT food–water simulations.