Abstract
Groundwater development is key to accelerating agricultural growth and to achieving food security in a climate crisis. However, the rapid increase in groundwater exploitation over the past four decades has resulted in depletion and degradation, particularly in regions already facing acute water scarcity, with potential irreversible impacts for food security and economic prosperity. Using a climate–water–food systems modelling framework, we develop exploratory scenarios and find that halting groundwater depletion without complementary policy actions would adversely affect food production and trade, increase food prices and grow the number of people at risk of hunger by 26 million by 2050. Supportive policy interventions in food and water systems such as increasing the effective use of precipitation and investments in agricultural research and development could mitigate most negative effects of sustainable groundwater use on food security. In addition, changing preferences of high-income countries towards less-meat-based diets would marginally alleviate pressures on food price. To safeguard the ability of groundwater systems to realize water and food security objectives amidst climate challenges, comprehensive measures encompassing improved water management practices, advancements in seed technologies and appropriate institutions will be needed.
Similar content being viewed by others
Main
Water and food security are intrinsically linked as irrigated agriculture contributes around 40% of global food production on 20% of cultivated land1. At the same time, water use in agriculture accounts for around 70% of global freshwater withdrawals, of which 40% is used for animal feed production2. An estimated 42% of irrigation water is sourced from groundwater (GW)3, and China, India, Iran, Pakistan and the USA are the globally largest GW users in terms of volume. Development of GW for irrigation offers many advantages, including proximity to users, lower investment requirements4, individual control, higher water productivity, often better water quality compared with surface sources and lower seasonal variation in availability5. Moreover, GW development is accelerating in sub-Saharan Africa as a result of cheaper technologies, including the increased availability of affordable solar-powered pumps6,7.
Extensive GW use has benefited global economic development and has improved food security and livelihoods8. However, substantial expansion of GW development has also caused severe water depletion, reduced freshwater access and subsurface flows, led to cross-border tensions and increased inequity between those who can access the resource and those who cannot9,10,11. Depletion of GW has also contributed to sea-level rise and has even changed the tilt of the Earth’s axis12. Sustained GW overdraft also lowers aquifers’ hydraulic head, raising pumping costs13, causing land subsidence and saltwater intrusion14,15, threatening irrigated agriculture16 and contributing to greenhouse gas emissions17,18. Solar-driven irrigation pumps reduce emissions but are considered to encourage more rapid GW depletion19,20. Several studies suggest that unsustainable GW use will eventually jeopardize water and food security and rural livelihoods when wells dry up or when it becomes uneconomical to irrigate crops21,22, leading to abandonment of GW-fed farms23.
As climate change renders rainfed agriculture less viable and disrupts surface water (SW) availability for irrigation, GW is increasingly being favoured as the primary source of irrigation for agriculture24. Moreover, climate change also directly affects the quantity and quality of GW recharge through changes in precipitation, temperature and sea-level rise25 and indirectly affects water use26. As such, GW resources are affected by climate change through both increased extraction levels for irrigation and other uses and lower recharge. Recent assessments conducted to quantify the extent of GW depletion at regional to global scales27,28 demonstrate the large-scale changes in GW storages across hotspot regions of the world. Our analysis of changes in GW recharge due to climate change further highlights these issues (Supplementary Fig. 1). Even in areas where recharge is expected to increase with climate change, such as in northwestern India29, the increase is unlikely to compensate for anthropogenic extraction in the short to medium term30.
Increasing GW depletion has been recognized as a major challenge to global food security, particularly with growing demands for food: with a projected population of to 9.7 billion people by 205030, global food demand is expected to increase by 35–56% between 2010 and 2050 across various food projections models31, while an estimated additional 5–170 million people will be at risk of hunger31,32.
Using the International Model for Policy Analysis of Agricultural Commodities and Trade (IMPACT) water–food modelling framework, we estimate that the demand for food crops will increase by 40% between 2020 and 2050, with the largest absolute demand increase for fruits and vegetables and oilseed crops (Table 1). The corresponding increase in irrigation water demand is 17%. While this is much lower than projected increases in water use in the industrial and domestic sectors, in absolute terms, the projected increase is largest for the irrigation sector, with an estimated increase of 201 billion cubic metres (bcm) in low- and middle-income countries (LMICs).
The paper contributes to the emerging literature on the world’s growing dependence on poorly managed GW resources for water and food security. The specific contributions of this paper are the assessment of the impacts of eliminating unsustainable GW use on various indicators of food security and the analysis of a series of policy investments to counteract negative food security impacts from more sustainable GW management. The study thus identifies ways to reduce trade-offs between the achievements of the United Nations Sustainable Development Goal (SDG) 2 on zero hunger and those of SDG 6 on water and sanitation. The highly complex nature of hydrogeological systems does not allow us to explicitly draw conclusions for specific aquifers, and data uncertainty currently does not allow assessment on food prices from individual aquifers becoming unusable.
To analyse the global climate–water–food trade-offs, we use IMPACT, a suite of integrated biophysical–economic assessment models developed and maintained at the International Food Policy Research Institute33. The core components of the model used for our analysis are the IMPACT Global Hydrology Model (IGHM), the IMPACT Multi-market Food Model and the IMPACT Water Simulation Model (IWSM) (Methods).
We first estimate the effects on food security from eliminating GW overdraft under climate change by 2050. Climate change affects GW recharge levels34 through both changes in precipitation, temperatures and extreme events and changes in the demand for GW as SW flows decline or become less reliable. We then analyse a series of agricultural, water and nutrition policy levers that can reduce or offset the adverse food security impacts from more sustainable GW management. These include public investments in agricultural research and development (R&D); more effective use of precipitation (green water) through mulching, terracing, conservation agriculture and other means (ERM); and reduced meat consumption in high-income countries (HICs) (RMC). Details of scenario assumptions and settings are presented in Methods.
Results
Regional and country-scale variation of GW depletion, collectively, GW withdrawals, tripled from 227 bcm in 1990 to 879 bcm in 2020, equivalent to a 4.6% annual rate of growth. By contrast, SW withdrawals doubled from 963 bcm in 1990 to 2,697 bcm in 202030,34, reflecting growing pressures on GW resources as demands on water resources continue to increase. However, when sustainable GW withdrawals are defined as those that do not exceed net recharge, 25% of river basins are characterized as overexploited; that is, GW is withdrawn beyond net recharge rates in those basins (Supplementary Table 1). These same basins account for 61% of total GW withdrawals, suggesting that GW mining remains a phenomenon limited to certain regions in the world, and particularly to South and East Asia, West Asia and the USA. The top overdraft basins are found in India, Pakistan, China, Saudi Arabia, Iran, the USA and Egypt, each with more than 10 bcm of annual depletion and a group total depletion volume of 279 bcm, representing 83% of global GW depletion (Supplementary Table 2). In basins with depletion, GW overdraft is higher in LMICs, at 195%, compared with HICs, at 131%. Severe GW depletion in India has been shown to reduce the potential of rural income generation and has been linked to outmigration and an overall decline in the potential for adaptation to climate change35,36, while areas with more secure and stable water resources were less likely to rely on migration and had scope to withstand climate change impacts. At the same time, there is potential for additional sustainable GW withdrawals in many of the not yet overexploited aquifers.
Figure 1 presents changes in GW withdrawals between the no GW conservation (No GWC) scenario and the GWC scenario. Under the GWC scenario, by 2027 withdrawals are reduced by 342 bcm. Most of the reduction takes place in the group of LMICs (297 bcm), while the reduction in HICs is 45 bcm. Elimination of overdraft particularly affects India, whose GW pumping is reduced by 164 bcm (to 39%), China, by 34 bcm (to 69%), and the USA, by 12 bcm (to 76%) compared with the No GWC or baseline values for 2027. Furthermore, we assess the consequences of arresting GW withdrawals on agricultural production and prices.
GW depletion impact on food prices and food security
Halting GW depletion reduces agricultural production, increases food prices and results in a larger number of people at risk of hunger. As rice and wheat globally account for the largest applications of irrigation water, and most irrigated wheat is grown in Asia, production declines are largest for these two crops, at 1.8% and 1.5%, respectively. This is followed by declines in production of maize (1.0%) and sugarcane (0.6%). Across all agricultural commodities, production declines by 0.73%, and across all animal and plant-based foods, it declines by 0.66%. In terms of most affected regions, wheat, rice and maize production decline most in LMICs while HICs make up for some of the production shortfalls of wheat and sugarcane in response to higher prices for these commodities (Supplementary Fig. 2a). In terms of country-level impacts, in India wheat and sugar production are affected most, while in China rice production drops most sharply. Neither country can make up for these declines through increased production of other crops or elsewhere in their countries (Supplementary Fig. 2b).
Changes in GW access also affect global trade regimes, with net trade in rice increasing globally by 10.8% and trade in sugar by 3.5% to compensate for production shortfalls. At the same time, global net trade in wheat is projected to contract by 3.3% because of reduced exports from the South Asia region (Supplementary Table 3). Given thin agricultural commodity markets, limited stocks and the time it takes for production systems to adjust, small declines in global food production can lead to large changes in global food prices. We observe this in the case of rice and wheat, where prices increase by 7.4% and 6.7%, respectively, and on average, prices for all cereals increase by 5.2%.
Higher food prices impact the poor the most, as their share of household expenditures on food is higher. Lower food production and associated higher food prices because of GWC make food less affordable to poorer populations, with subsequent increases in the severity of undernourishment, disproportionately affecting LMICs (Fig. 2). This translates to approximately 24 million more undernourished people in LMICs, including 5.2 million more undernourished people in China and 2.6 million more undernourished people in India. The global increase in the number of people at risk of hunger would be around 26 million higher with GWC, above the 520.6 million people at risk of hunger in the No GWC baseline. With GWC, by 2050, the share of the population at risk of hunger would be 14% higher in India, 7% higher in the USA and 6% higher in China.
GWC and No GWC are simulated under climate change, averaging results from three climate change scenarios: GFDL, HadGEM and IPSL with RCP 8.5. a,b, The impact of production and prices (a) and population at risk of hunger (b) across the GWC scenarios, as compared with No GWC. Calculated using the IMPACT-IWSM and Food models.
Investments in food–water policies and their impacts
We implement three alternative policy scenarios to assess the potential of investments in food and water systems in reducing the adverse food insecurity impacts from GWC. The first scenario focuses on investment in agricultural R&D to increase yields of water-constrained irrigated crops through better seed technologies and associated agronomic practices. These include improvements in water use efficiency that can be achieved through improving transpiration efficiency of crops, by reducing the share of the harvested share in total biomass of crops through dwarf and semi-dwarf varieties and by reducing crop failure under climate extreme events in irrigated environments through drought-, heat-stress- and submergent-tolerant varieties, among others. These investments directly reduce the reliance on GW sources for agricultural production. The second scenario aims to reduce food security impacts from reduced GW pumping through improving the management of precipitation (ERM) through interventions such as conservation agriculture, mulching and terracing on both irrigated and rainfed areas. The third scenario reduces the propensity to consume meat products (RMC) in HICs through changing the elasticity of demand for these foods in these geographies. Reducing the consumption of meats reduces the demand for GW-fed animal feeds, such as maize. However, the resulting lower prices for meat products would also increase their affordability by poorer populations that currently cannot afford a healthy diet. The increased affordability of meat products from lower consumption levels in HICs might thus reduce or negate the benefits from reduced meat consumption in HICs. A fourth and final scenario combines the R&D and ERM scenarios to take advantage of their synergies, combining higher irrigated yields with more effective use of precipitation on agricultural lands (scenario details are presented in Supplementary Table 7). All these policy scenarios are simulated together with the GWC scenario and hereafter referred to with a + prefix.
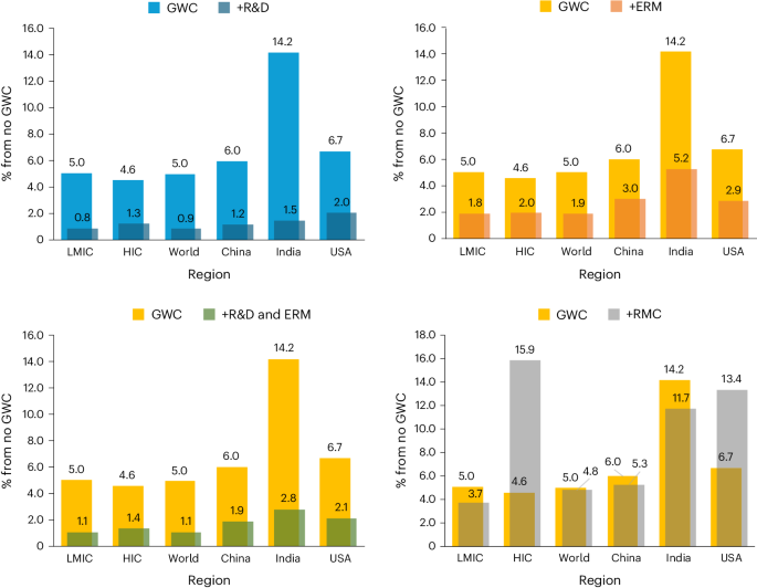
All policy scenarios, except for the RMC scenario, result in an increase in average crop production levels and significant reductions in food prices (Fig. 3) compared with the GWC scenario, which is depicted for comparison. The alternative policy scenarios were calculated as least cost (Methods and Supplementary Information), and results are presented as changes over the No GWC baseline. The scenarios’ effectiveness in mitigating adverse food security effects of GWC increases as values approach zero.
These interventions are simulated in combination with the GWC scenario. The scenarios are simulated under climate change, averaging results from three climate change scenarios: GFDL, HadGEM and IPSL with RCP 8.5. R&D, investments in agricultural research and development; ERM, more effective rainfall management; RMC, reduced consumption of meat products in HICs. Calculated using IMPACT food–water simulations.
By accelerating investments in irrigated crop yields (+R&D) by 4.5% over baseline investments (No GWC), wheat prices are only 3.0% instead of 6.7% higher with GWC, and on average, cereal prices are 1.2% higher and sugar prices are 0.8% higher. Prices for several other crops are slightly below the levels of the No GWC baseline. Results are somewhat similar for the +ERM scenario, where the least-cost approach calculated needed improvements of 4.5% over the projection horizon.
Under the +ERM scenario, rice prices are higher compared with the +R&D scenario as rice is mostly irrigated and benefits somewhat less from improved precipitation management. However, maize prices decline to levels below those of the +R&D scenario as maize is largely rainfed and more strongly benefits from better management of precipitation. In the +ERM scenario, cereal prices are 1.9% above those of the baseline.
The combined +R&D and +ERM scenario, which includes a 2% increase in irrigated yields and a 3% improvement in effective rainfall management, results in lower maize prices compared with the +R&D scenario and in lower rice and wheat prices compared with the +ERM scenario but cannot lower cereal prices to below the levels of the +R&D scenario. However, prices for sugar and oilseed crops are further reduced.
The +RMC scenario also lowers food prices compared with the GWC scenario, but price declines are very small, except for meat prices, which are 1.1% below baseline levels. Furthermore, prices of maize, the major irrigated livestock feed, are projected to be 2.5% higher than the baseline, which is a considerable but not major decline compared with maize prices under the GWC scenario.
Figure 4 presents the increase in the population at risk of hunger under the alternative policy scenarios compared with the No GWC baseline and compared with the results under the GWC scenario. Compared with the global increase in the population at risk of hunger of 5% under the GWC scenario, the increases are 0.9% under the +R&D scenario (Fig. 4a), 1.9% under the +ERM scenario (Fig. 4b) and 1.1% under the combined +R&D and +ERM scenario (Fig. 4c). The +R&D scenario is particularly beneficial for India and China, which are large GW irrigators and therefore particularly benefit from increased investments in seed technologies focused on improving water use efficiency. These investments help to retain food production levels in GW-fed Asian breadbasket regions, keeping food prices and the number of people at risk of hunger down. Benefits from investments in effective management of precipitation, however, are spread more broadly. While their ability to maintain production levels in China and India is comparatively limited, they still succeed in substantially reducing the risk of hunger. Under the +RMC scenario, however, the share of people at risk of hunger increases by 4.8%, which remains close to the 5.0% increase in the GWC scenario. Here the risk of hunger increases in the group of HICs by 15.9%, or 7.4 million people, compared with the No GWC baseline, while the increase in the risk of hunger in the group of LMICs is reduced to 3.7%, or 17.6 million people, compared with the GWC scenario increase of 5.0%. Despite a notable rise in the risk of hunger compared with the baseline, meat consumption experiences a marginal improvement of 2.1% in LMICs due to increased affordability. By contrast, HICs witness an 8.7% decline in consumption, while global consumption decreases by 0.96% compared with the baseline without GWC.
Discussion
Development of GW has played a major role in food production growth and food security over the past several decades, particularly in the breadbasket areas of China and India but also in parts of the Middle East, North Africa and the USA. However, food production growth comes at the cost of GW depletion, which is further accelerating with climate change, with threats to loss of productive lands and sometimes irreversible damages to water-based ecosystems. Accelerated GW development is further fuelled by energy subsidies and the swift deployment of solar-powered irrigation pumps. While the depletion of GW remains confined to specific breadbasket basins, the development of GW resources is gaining momentum in numerous regions worldwide, and the associated depletion is projected to increase in parallel, putting increasing shares of our water and food security at risk.
We find that measures aimed at arresting GW depletion without complementary policy actions would adversely affect food production, resulting in upward pressures on food prices, particularly for cereals and fruits and vegetables. As such, the study has re-affirmed the strong inter-connections between achieving SDG 2 on zero hunger and SDG 6 on water and sanitation. However, there is a host of complementary policy options that can help reduce the adverse impacts of more sustainable GW management. We analyse four of these in detail and find that accelerated investments in the productivity of irrigated crops, more effective use of precipitation, a combination of these two interventions and, to a lesser extent, reducing meat consumption in HICs can reduce global food price impacts of GW conservation. While changes in prices are only modest at the global level, effects on regions with high levels of GW depletion are significant. Our findings in this regard closely parallel another study that observed detrimental effects on food production when reducing GW depletion37, which reports negative effects on food production from reducing GW depletion. Those authors, however, did not include the environmental flow contribution from aquifers and did not assess complementary investment policies to address food security impacts of halting GW depletion.
Our analyses have shown that it is important to use a transdisciplinary approach to identify solutions to environmental problems. While directly focusing on increasing water use efficiency of irrigated crops depending on depleting GW is important, improving the effective use of precipitation offers a potential policy alternative even though crops and geographies that are less dependent on GW irrigation might benefit more. Investments in better management of more variable levels of precipitation will become more important as water scarcity continues to grow, and our scenario on efficient rainfed management (GWC + ERM) offers a potential policy alternative to mitigate the negative impacts of the GW conservation scenario. A shift towards more rainfed cultivation to meet global food supply by 2100 has already been suggested38. However, despite localized successes39 and growing use of minimum tillage and other conservation agricultural practices, broader farmer acceptance of water harvesting techniques has been mixed due to the high costs of implementation40. Similarly, many studies have already suggested multiple health and climate change mitigation benefits from reducing meat consumption in HICs; reducing pressure on depleting GW stocks would be a further, albeit small, bonus of such a policy as it has shown to be less effective compared with the +R&D and +ERM scenarios.
While food security impacts of halting GW depletion can probably be managed through the multi-pronged approach proposed here, the question remains whether GW depletion can even be halted. Much has been done to address growing GW depletion, albeit with limited impacts on aquifer recovery. This includes improved measurement and monitoring devices, including satellite telemetry for monitoring wells as well as through increased citizen science. While GW institutions are lacking or poorly enforced in much of the world, legislation and institutions are starting to be developed to address some of the more extreme water-table declines. An example is the recent Sustainable Groundwater Management Act of California41. Recent innovations in social learning interventions to stimulate local GW governance are also showing promise in India and Ethiopia42,43 and suggest increased community stewardship over GW resources as an entry point for arresting depletion. A yet different solution proposed in India has been to use solar-driven GW pumps to produce electricity rather than to grow food. In support of this proposal, some pilot studies have been implemented in semi-arid India to support rural livelihoods, water resources and energy development44,45.
Reducing GW withdrawals to sustainable levels (for example, to net recharge volumes as suggested in this study) often faces implementation challenges, such as countervailing energy subsidies, corruption around water permits and licensing, illicit removal of GW for other purposes46 or the complete absence of GW monitoring systems.
The accompanying interventions to alleviate immediate-term water shortages are likewise challenging. Investments in R&D to enhance yields and water productivity were shown to be effective, but technology development, dissemination and adoption take time and requires technical expertise. Innovations for effective rainwater use in fields require on-farm investment and increased labour from farmers. Finally, reduced meat consumption in HICs might not dramatically reduce pressure on GW resources but can improve diets in LMICs.
The attainment of more sustainable GW management, whether through policies, institutions or technologies, and the simultaneous goal of preventing an increase in the population at risk of hunger necessitate a combination of regulatory, financial, technological and awareness-enhancing measures. In addition, a cross-sectoral examination of trade-offs that may be inevitable is essential in addressing these intertwined challenges. Policy actions such as the imposition of bans on GW withdrawals or taxes on water use towards sustainable GW management may result in undue pressures on production and prices47.
Last, our mapping and estimation of GW resources show that while GW depletion is severe (and growing), only one quarter of basin areas is affected by unsustainable management—albeit these are all key population and breadbasket centres. Some basins are currently managed at net recharge level, while others remain where GW withdrawals can be sustainably increased if needed. For the latter, operating and monitoring rules and checks are required to ensure continued sustainability and resilience of water resources.
Methods
The following section first describes the IMPACT model structure and key parameters that enable the analysis. We then describe the linkages between the IWSM and the IGHM, with specific technical details elaborated in the Supplementary Information. Furthermore, the detailed modelling of GW is described. The description of the investment scenarios and the least-cost investment assumptions used in the analysis are also presented.
Model description
IMPACT33 is a system of linked models around a core, partial equilibrium, multi-market economic model of global production, trade, demand and prices of agricultural commodities. The model is solved annually and is linked to several modules that include hydrology, water management, crop water stress and crop simulation models (Supplementary Fig. 3). While the hydrological and crop simulations are implemented at the grid-cell level, IMPACT operates at the sub-national level of 320 food production units (FPUs) from the intersections of 159 countries and 154 river basins. The model combines biophysical, economics and social systems in agricultural policy analysis to support exploratory scenario analyses of complex integrated systems in support of policy decisions48,49,50. Optimization in the model minimizes the sum of net trade at the national and international levels to determine market-clearing world prices of agricultural commodities51.
In IMPACT, the effects of water on agricultural production are implemented through several key variables, including effective rainfall, potential crop evapotranspiration and applied irrigation water, which in turn depends on both crop irrigation water requirements and SW and GW availability. SW availability is simulated by the IGHM at monthly intervals for 0.5° grid cells52. Irrigation water supply is simulated by the IWSM, which operates at the FPU level and is dynamically coupled with the IMPACT core multi-market model through annual iterations (monthly in IWSM and IGHM) for the period 2005–2050 (Supplementary Fig. 3)33.
We note the importance of understanding climate change impacts on both GW systems (Supplementary Fig. 1) and food systems. The latter is itself affected by climate change impacts on water systems. As presented in Supplementary Fig. 4, climate change particularly affects production and prices of cereals and root and tuber crops and prices of oilseed crops. Climate change trajectories in the model are determined on the basis of the Intergovernmental Panel on Climate Change Fifth Assessment Report RCP 8.5 and three general circulation models from the Institut Pierre Simon Laplace (IPSL)53,54; Geophysical Fluid Dynamics Laboratory (GFDL) Earth systems model55 and Hadley Centre Global Environmental Model global (HadGEM)56, while the socioeconomic pathways for population and income are based on the ‘middle of the road’ shared socioeconomic pathway 2 (SSP2), in which the global population reaches 9.2 billion in 2050 and average income reaches US$25,000 per person. While each of the three climate change scenarios is equally plausible, we implemented sensitivity analyses for each separately and found very small changes in 2050 food production and prices (Supplementary Fig. 5) among individual results, including the average. A yet more comprehensive climate change impact analysis is outside the scope of this study. We acknowledge this as a limitation of the study. Climate change effects on crops are modelled with Decision Support System for Agrotechnology Transfer (DSSAT).
IMPACT multi-market model In the base year (2005), area, production, yield by land type (irrigated or non-irrigated), by crop, and net trade (food supply); and total consumption of food and feeds (food/feed demand) were taken from FAOSTAT. Demand increases for commodities are due to population growth and income growth (GDP) – based on population projections, and GDP projections (IPCC SSPs pathways), and changes in preferences (changing price/income elasticities). Supply increases are by way of yield growth rates (for example, exogenously (intrinsic/historical, technology improvements), endogenously (producers’ supply response to prices, area growth rates, considering land constraints for agriculture; irrigated area growth, through infrastructure development for both SW and GW subject to water constraints and cost constraints). Land expansion is induced by increasing food demand, while allocation to irrigated or rainfed land and SW or GW depends on water availability and cost of irrigation infrastructure. However, land allocation to specific crops is determined by prices of the commodity. The crop multi-market model simulates national and international agricultural markets of agricultural production, demand and trade associated with 62 agricultural commodities across 158 countries and regions. The market-clearing iterative equilibration of supply and demand, at the country and global levels, determines world prices of the agricultural and food commodities. In the process, the resource base of land and water, the technology, planted crops, and costs of development – determine the irrigation demand.
Linking new groundwater module (IWSM) to the IMPACT model
The new GW module includes three components. The first component downscales monthly GW withdrawals at the FPU level simulated by the IWSM to 0.5° grid cells. The second component simulates GW withdrawal and storage balances at the grid-cell level using a modified version of the IGHM. The third component aggregates gridded GW pumping values simulated by the IGHM to FPUs and assigns them to the IWSM for rerunning the IMPACT model. Supplementary Fig. 6 shows the steps that are implemented sequentially to run the IMPACT model with the new GW module:
-
(1)
Run the water resource model IWSM and extract projected monthly GW withdrawals at the FPU level.
-
(2)
Downscale FPU-level GW extraction to 0.5° latitude by 0.5° longitude grid cells (hereafter called gridded GW demand).
-
(3)
Run the global hydrological model IGHM by imposing gridded GW demand to shallow GW storage balance in the IGHM.
-
(4)
Aggregate total GW pumping amount from both shallow and deep GW storage at the grid-cell level to FPUs.
-
(5)
Rerun the IWSM using updated GW pumping from step 4. The new run reflects the effects of GW storage on GW use, and the effects of GW use on SW availability through altered base flow.
To dynamically link the GW module to the IMPACT model, the IWSM and the IGHM iterate to exchange demand for GW and update run-off altered by GW withdrawals. This requires interannual variations in the hydroclimatic input data, as opposed to using annual mean climate and hydrology data, and synchronizing climate input data and hydrological output/data such that for any particular year in the projection time horizon, the climate data and simulated hydrology data come from the same year of the climate record. The details of downscaling of FPU water withdrawal demand to grid cells are presented in the detailed model description section II (C) in the Supplementary Information.
GW storage and water balance
The GW storage balance is simulated at monthly intervals in 0.5° grid cells in the IGHM, assuming that there are only vertical flows (Supplementary Fig. 6). Horizontal aquifer heterogeneity is represented by grid-cell-specific parameters. Vertically, a two-layer model is applied to each grid-cell column, with the upper layer representing the replenishable compartment of the GW system and the lower layer representing the non-replenishable compartment. It is assumed that (1) when the grid-cell size is sufficiently large, flow within an irregular medium behaves as if in a regular, porous medium; (2) GW table drawdown due to pumping is limited to the cell where pumping takes place; and (3) GW abstraction from a grid cell is used to meet water demand incurred in the same grid cell (that is, if there is water demand in a grid cell, pumping in that same grid cell will be activated).
As shown in Supplementary Fig. 7, in a grid cell that has a demand for GW, water is first pumped from the shallow aquifer as long as its storage is not exhausted. If GW demand is not fully met by pumping from the shallow aquifer, the unmet GW demand is pumped from the deep aquifer. The sum of GW pumped from both the shallow and deep aquifers is regarded as the total amount of pumped GW. The GW pumped from the shallow aquifer storage, \({{{\mathrm{GWP}}}}_{t}^{{\mathrm{s}}}\), is determined by demand for GW, GWDt and shallow aquifer storage at the beginning of the period, \({{{\mathrm{GWS}}}}_{t-1}^{{\mathrm{s}}}\). Base flow is calculated after removing GW for pumping from the shallow aquifer, \({{{\mathrm{GWP}}}}_{t}^{{\mathrm{s}}}\). The GW is pumped from the deep aquifer if the pumped GW from the shallow aquifer cannot fully meet GW demand. However, there is no inflow to the deep GW storage, implying that pumping from the deep aquifer always depletes the aquifer. The impact of GW pumping on streamflow has been factored into the estimation of streamflow/environmental flow, except for locations of extreme depletion.
Return flows of domestic and industrial water uses that are sourced from GW are assumed to directly join SW within the same grid cell and in the same time step (a month), thus becoming a component of simulated run-off. For irrigation water use sourced from GW, its non-consumptive use component is assumed to percolate into shallow GW storage in the next time step, namely \({{{\mathrm{GWS}}}}_{t+1}^{{\mathrm{s}}}\), thus contributing to base flow.
Estimation of GW withdrawal capacity in base year
The IWSM projects water demand by water-using sectors, optimizes water supply and allocates total water supply to individual water-using sectors at the FPU level. As an optimization-driven simulation model, it specifies operating rules in its objective function and constraints. Of note, property rights of water are not considered. Water demand in IMPACT is met by SW, GW and desalinized seawater (and precipitation for crops). The three sources of water are summed as a homogeneous total water supply source without attributing water uses to different sources. First, the IGHM simulates monthly soil moisture balance, evapotranspiration and run-off generation from effective rainfall. The water-demand module (IWSM) calculates water demand for crops, industry, households and livestock at the FPU level. Irrigation water demand is assessed as the portion of crop water requirement not satisfied by precipitation or soil moisture. Demand estimates for other sectors (domestic, industry and livestock) are estimated and allocated by priority (see section II.C in Supplementary Information). Irrigation has the lowest priority. When irrigation demands cannot be fully satisfied, IWSM allocates water among crops in an area on the basis of the relative economic value of the crop. We use the Food and Agriculture Organization (FAO) approach to measure water stress at monthly intervals and include seasonality of water stress. Which source of water is used by each sector depends on the available type of water in the FPU (estimated and identified by the IWSM model (Supplementary Fig. 6)). Desalinized water is typically used for domestic and industrial needs.
In the IWSM, annual GW use within each FPU is constrained by exogenous GW withdrawal capacity40. In the base year (2005), the capacity of each FPU is determined through a calibration procedure using GW withdrawal data from FAO’s AQUASTAT database30. In the projection period, an exogenous annual growth rate of GW withdrawal capacity is applied to each FPU considering infrastructure investments and technological change.
The IGHM was calibrated against naturalized run-off and runs at monthly time steps with a spatial resolution of 0.5° × 0.5° from 1995 to 200057. It is not recalibrated after adding the GW pumping component as we assume the relationship between GW reservoir and base flow still holds when withdrawal from shallow aquifers occurs. The IGHM does not simulate SW withdrawal processes at the grid-cell level. Thus, the effects of increased river capture due to GW depletion are not simulated in our model. Only inter-basin movement of water (that is, inflow and outflow of SW/GW) for adjacent basins is estimated in the model.
The GW withdrawal capacity in the IWSM is a calibration parameter that reflects aggregate water infrastructure (that is, reservoir, distribution canals, pumping stations and so on) and economic constraints (cost of infrastructure, investment costs, production costs, output prices and so on) to GW withdrawal at the FPU level. This parameter serves as the upper bound for GW withdrawal at the FPU level. In the base year, this parameter value is determined by total water withdrawals in the FPU, estimated from observed water withdrawal data, and the estimated share of GW withdrawal in total (surface and ground) water withdrawal. Total water withdrawal capacity is estimated as actual water withdrawal in the base year multiplied by a factor that is a function of the coefficient of variation of water demand, yearly time series and a tuning parameter, \({\varphi }\).
where TWC denotes total water withdrawal capacity in the base year; TWW is total water withdrawal in the base year; CVWD is the coefficient of variation of annual water demand time series, with irrigated area, crop mix and irrigation efficiency fixed at the base year level and non-irrigation water demand fixed at the base year level; and \({\varphi }\) is the tuning parameter. The value of the tuning parameter is determined through minimizing the deviation of simulated total GW withdrawal in the base year (2005) from the GW withdrawal observations in the base year obtained from the FAO AQUASTAT database.
Scenario descriptions and least-cost investment requirements
Five policy scenarios are implemented in this study. To assess whether sustainable GW management affects food prices, food security and the number of people at risk of hunger, we set up a GW conservation (GWC) scenario that limits withdrawals to recharge net of the GW contribution to environmental flows. The environmental flow contribution from GW is estimated as Q90, the monthly run-off that is exceeded 90% of the time during the simulation period58 and reflects the GW contribution to base flow. The GW conservation scenario was implemented in IMPACT for basins with GW depletion by cutting excess withdrawals beyond recharge by 33% each year for 3 years starting in 2025. This lowers GW withdrawals to net GW recharge by 2027 and reduces the overdraft rates to zero. Of note, the GWC scenario does not restore depleted aquifers to their natural state but eliminates further depletion. The scenario thus also allows for GW extraction from aquifers with high depletion levels, such as the High Plains aquifer, but ensures slower to no further depletion. This 3 year phase-out was created to reflect the urgency of action for sustainable GW withdrawals. We observe in the model that the longer the phase-out period, the larger the depletion level (and the costlier water extraction), since the GWC scenario does not restore or add water to depleted aquifers, it only eliminates further depletion. The results in terms of production are not considerably changed by 2050 if a different, but similar, period is chosen. Four alternative policy scenarios are implemented: investment in agricultural R&D for irrigated crops, more effective rainwater management (ERM), reduced meat consumption (RMC) in HICs and a combined scenario of R&D and ERM. All of these scenarios are compared with the reference or baseline scenario of No GWC and are implemented until 2050.
One contribution of this study is the estimation of the minimum level of action or investment needed to address the adverse effect of GW conservation on food security. To implement this, we used multi-search sensitivity simulations by stepwise varying of the investment level with corresponding changes in food security until the minimum sum of squared error or deviation in the food security parameter from pre-GWC production was reached.
Results of least-costs sensitivity simulations are presented in Supplementary Tables 4–7. For the R&D policy scenario, the least-cost investment is the level that increases the productivity or yields of irrigated areas by 4.5% over the GW conservation scenario by 2050, roughly equivalent to 0.176% per year. Similarly, for the ERM scenario, the least-cost investment is that level that increases rainwater use efficiency by 4.5%. When combined, the least-cost investment for R&D and ERM is a 2% productivity increase for irrigated crops and a 3% efficiency increase of precipitation (R&D 2% + ERM 3% scenario).
Unlike the first three scenarios, the multiple-search simulations for RMC were used to identify the minimum level of change in the meat demand elasticity of HICs so that the population at risk of hunger in LMICs is reduced by 25%. This level is achievable with a 75% decline in elasticities, equivalent to a 9% reduction in the consumption of meat in HICs.
Reporting summary
Further information on research design is available in the Nature Portfolio Reporting Summary linked to this article.
Data availability
All analysis in this paper is based on secondary data collected from various sources. A description of the model is present here: https://www.ifpri.org/publication/international-model-policy-analysis-agricultural-commodities-and-trade-impact-model-0, and further documentation is available on the model page here: https://www.ifpri.org/project/ifpri-impact-model. All datasets that have been used in the model are stored on Harvard Dataverse at: https://www.ifpri.org/project/ifpri-impact-model. No data were excluded from our analysis. Data were analysed using GAMS (version number 45). Tableau, Microsoft Excel was used to create figures for this publication.
Code availability
The code is available on request.
References
Ringler, C. & Zhu, T. Water resources and food security. Agron. J. 107, 1533–1538 (2015).
Heinke, J. et al. Water use in global livestock production—opportunities and constraints for increasing water productivity. Water Resour. Res. 56, e2019WR026995 (2020).
Döll, P. et al. Impact of water withdrawals from groundwater and surface water on continental water storage variations. J. Geodyn. 59–60, 143–156 (2012).
Giordano, M. Global groundwater? Issues and solutions. Annu. Rev. Environ. Resour. 34, 153–178 (2009).
Bear, J. Hydraulics of Groundwater (McGraw-Hill, 1979).
Villholth, K. G. & Conti, K. I. in Advances in Groundwater Governance (eds Villholth, K. G. et al.) 3–31 (CRC Press, 2017).
Giordano, M. & Villholth, K. G. The Agricultural Groundwater Revolution: Opportunities and Threats to Development (CABI, 2007).
Ramon Llamas, M. & Martinez-Santos, P. The silent revolution of intensive ground water use: pros and cons. Ground Water 43, 161–161 (2005).
Famiglietti, J. S. The global groundwater crisis. Nat. Clim. Change 4, 945–948 (2014).
Ringler, C. From torrents to trickles: irrigation’s future in Africa and Asia. Annu. Rev. Resour. Econ. 13, 157–176 (2021).
Wada, Y., van Beek, L. P. H. & Bierkens, M. F. P. Nonsustainable groundwater sustaining irrigation: a global assessment. Water Resour. Res. 48, W00L06 (2012).
Perrone, D. & Jasechko, S. Deeper well drilling an unsustainable stopgap to groundwater depletion. Nat. Sustain. 2, 773–782 (2019).
Konikow, L. F. Contribution of global groundwater depletion since 1900 to sea‐level rise. Geophys. Res. Lett. 38, 17 (2011).
Pokhrel, Y. N. et al. Model estimates of sea-level change due to anthropogenic impacts on terrestrial water storage. Nat. Geosci. 5, 389–392 (2012).
Tularam, G. A. & Krishna, M. Long term consequences of groundwater pumping in Australia: a review of impacts around the globe. J. Appl. Sci. Environ. Sanit. 4, 151–166 (2009).
Rajan, A., Ghosh, K. & Shah, A. Carbon footprint of India’s groundwater irrigation. Carbon Manage. 11, 265–280 (2020).
Singh Dhillon, M., Kaur, S., Sood, A. & Aggarwal, R. Estimation of carbon emissions from groundwater pumping in central Punjab. Carbon Manage. 9, 425–435 (2018).
Walton, M. A. in Handbook on the Water–Energy–Food Nexus 81–95 (Edward Elgar, 2022). Edited by Floor Brouwer, Senior Research Scholar, Wageningen Research, the Netherlands
Xie, H., Ringler, C. & Mondal, M. A. H. Solar or diesel: a comparison of costs for groundwater‐fed irrigation in sub‐Saharan Africa under two energy solutions. Earths Future 9, e2020EF001611 (2021).
Dalin, C., Wada, Y., Kastner, T. & Puma, M. J. Groundwater depletion embedded in international food trade. Nature 543, 700–704 (2017).
Jain, M. et al. Groundwater depletion will reduce cropping intensity in India. Sci. Adv. 7, eabd2849 (2021).
Blakeslee, D., Fishman, R. & Srinivasan, V. Way down in the hole: adaptation to long-term water loss in rural India. Am. Econ. Rev. 110, 200–224 (2020).
Alexandratos, N. & Bruinsma, J. World Agriculture Towards 2015/2030: The 2012 Revision (FAO, 2012).
Cuthbert, M. O. et al. Global patterns and dynamics of climate–groundwater interactions. Nat. Clim. Change 9, 137–141 (2019).
Döll, P., Müller Schmied, H., Schuh, C., Portmann, F. T. & Eicker, A. Global-scale assessment of groundwater depletion and related groundwater abstractions: combining hydrological modeling with information from well observations and GRACE satellites. Water Resour. Res. 50, 5698–5720 (2014).
Famiglietti, J. S. et al. Satellites measure recent rates of groundwater depletion in California’s Central Valley. Geophys. Res. Lett. 38, 3 (2011).
Rodell, M., Velicogna, I. & Famiglietti, J. S. Satellite-based estimates of groundwater depletion in India. Nature 460, 999–1002 (2009).
Reinecke, R. et al. Uncertainty of simulated groundwater recharge at different global warming levels: a global-scale multi-model ensemble study. Hydrol. Earth Syst. Sci. 25, 787–810 (2021).
Xie, H., Longuevergne, L., Ringler, C. & Scanlon, B. Integrating groundwater irrigation into hydrological simulation of India: case of improving model representation of anthropogenic water use impact using GRACE. J. Hydrol. Reg. Stud. 29, 100681 (2020).
AQUASTAT Core Database (FAOSTAT, 2023).
Schmidhuber, J. & Tubiello, F. N. Global food security under climate change. Proc. Natl Acad. Sci. USA 104, 19703–19708 (2007).
van Dijk, M., Morley, T., Rau, M. L. & Saghai, Y. A meta-analysis of projected global food demand and population at risk of hunger for the period 2010–2050. Nat. Food 2, 494–501 (2021).
Robinson, S. et al. The International Model for Policy Analysis of Agricultural Commodities and Trade (IMPACT): Model Description for Version 3 (IFPRI, 2015).
Kundzewicz, Z. W. & Döll, P. Will groundwater ease freshwater stress under climate change? Hydrol. Sci. J. 54, 665–675 (2009).
Zaveri, E. D., Wrenn, D. H. & Fisher-Vanden, K. The impact of water access on short-term migration in rural India. Aust. J. Agric. Resour. Econ. 64, 505–532 (2020).
Fishman, R. Groundwater depletion limits the scope for adaptation to increased rainfall variability in India. Climatic Change 147, 195–209 (2018).
Haqiqi, I., Perry, C. J. & Hertel, T. W. When the virtual water runs out: local and global responses to addressing unsustainable groundwater consumption. Water Int. 47, 1060–1084 (2022).
Turner, S. W. D., Hejazi, M., Calvin, K., Kyle, P. & Kim, S. A pathway of global food supply adaptation in a world with increasingly constrained groundwater. Sci. Total Environ. 673, 165–176 (2019).
Alam, M. F., Pavelic, P., Villholth, K. G., Sikka, A. & Pande, S. Impact of high-density managed aquifer recharge implementation on groundwater storage, food production and resilience: a case from Gujarat, India. J. Hydrol. Reg. Stud. 44, 101224 (2022).
Rosegrant, M. W., Cai, X., Cline, S. A. & Nakagawa, N. The Role of Rainfed Agriculture in the Future of Global Food Production (IFPRI, 2002).
Leahy, T. C. Desperate times call for sensible measures: the making of the California Sustainable Groundwater Management Act. Gold. Gate Univ. Environ. Law J. https://digitalcommons.law.ggu.edu/gguelj/vol9/iss1/4 (2015).
Megdal, S. B., Eden, S. & Shamir, E. Water governance, stakeholder engagement, and sustainable water resources management. Water 9, 190 (2017).
Meinzen-Dick, R. et al. Playing games to save water: collective action games for groundwater management in Andhra Pradesh, India. World Dev. 107, 40–53 (2018).
Kumar, R., Kumar, A., Gupta, M. K., Yadav, J. & Jain, A. Solar tree-based water pumping for assured irrigation in sustainable Indian agriculture environment. Sustain. Prod. Consum. 33, 15–27 (2022).
Shah, T. Taming the Anarchy: Groundwater Governance in South Asia (Routledge, 2010).
Klassert, C. et al. Unexpected growth of an illegal water market. Nat. Sustain. 6, 1406–1417 (2023).
Singh, V. et al. Assessing policy options for sustainable water use in India’s cereal production system. Environ. Res. Lett. 18, 094073 (2023).
Springmann, M. et al. Global and regional health effects of future food production under climate change: a modelling study. Lancet 387, 1937–1946 (2016).
Springmann, M. et al. Mitigation potential and global health impacts from emissions pricing of food commodities. Nat. Clim. Change 7, 69–74 (2017).
Van Ittersum, M. K. et al. Can sub-Saharan Africa feed itself? Proc. Natl Acad. Sci. USA 113, 14964–14969 (2016).
Rosegrant, M. W. & The IMPACT Development Team. International Model for Policy Analysis of Agricultural Commodities and Trade (IMPACT): Model Description (IFPRI, 2012).
Zhu, T. & Ringler, C. Climate change impacts on water availability and use in the Limpopo River basin. Water 4, 63–84 (2012).
Dufresne, J., Quaas, J., Boucher, O., Denvil, S. & Fairhead, L. Contrasts in the effects on climate of anthropogenic sulfate aerosols between the 20th and the 21st century. Geophys. Res. Lett. 32, 21 (2005).
Dufresne, J.-L. et al. Climate change projections using the IPSL-CM5 Earth system model: from CMIP3 to CMIP5. Clim. Dyn. 40, 2123–2165 (2013).
Dunne, J. et al. The GFDL Earth system model version 4.1 (GFDL‐ESM 4.1): overall coupled model description and simulation characteristics. J. Adv. Model. Earth Syst. 12, e2019MS002015 (2020).
Jones, C. D. et al. The HadGEM2-ES implementation of CMIP5 centennial simulations. Geosci. Model Dev. 4, 543–570 (2011).
Zhu, T., Döll, P., Müller Schmied, H., Ringler, C. & Rosegrant, M. W. Development and calibration of a global hydrological model for integrated assessment modeling. Preprint at Geoscientific Model Development Discussions https://doi.org/10.5194/gmd-2017-216 (2017).
Gleeson, T., Wada, Y., Bierkens, M. F. P. & Beek, L. Water balance of global aquifers revealed by groundwater footprint. Nature 488, 197–200 (2012).
Acknowledgements
N.P., C.R. and V.S. acknowledge the financial support from the NEXUS Gains Initiative of the CGIAR. The funders had no role in study design, data collection and analysis, decision to publish or preparation of the manuscript.
Author information
Authors and Affiliations
Contributions
All authors contributed extensively to the work presented in this paper. N.P., C.R., T.Z. and H.X. designed the study, including model refinements, linkages between various sub-models of IMPACT and assembly. C.R., N.P. and H.X. created the scenarios. N.P., H.X. and T.Z. wrote code, ran the model and scenarios, and analysed output data. V.S., C.R., E.H.S. and K.G.V. reviewed the model results and iteratively provided feedback on scenarios and advised on the model runs. V.S., C.R. and N.P. wrote the manuscript and prepared for submission.
Corresponding author
Ethics declarations
Competing interests
The authors declare no competing interests.
Peer review
Peer review information
Nature Sustainability thanks Brent Boehlert and the other, anonymous, reviewer(s) for their contribution to the peer review of this work.
Additional information
Publisher’s note Springer Nature remains neutral with regard to jurisdictional claims in published maps and institutional affiliations.
Supplementary information
Supplementary Information
Supplementary Figures, Tables and Text.
Rights and permissions
Open Access This article is licensed under a Creative Commons Attribution 4.0 International License, which permits use, sharing, adaptation, distribution and reproduction in any medium or format, as long as you give appropriate credit to the original author(s) and the source, provide a link to the Creative Commons licence, and indicate if changes were made. The images or other third party material in this article are included in the article’s Creative Commons licence, unless indicated otherwise in a credit line to the material. If material is not included in the article’s Creative Commons licence and your intended use is not permitted by statutory regulation or exceeds the permitted use, you will need to obtain permission directly from the copyright holder. To view a copy of this licence, visit http://creativecommons.org/licenses/by/4.0/.
About this article
Cite this article
Perez, N., Singh, V., Ringler, C. et al. Ending groundwater overdraft without affecting food security. Nat Sustain 7, 1007–1017 (2024). https://doi.org/10.1038/s41893-024-01376-w
Received:
Accepted:
Published:
Version of record:
Issue date:
DOI: https://doi.org/10.1038/s41893-024-01376-w
This article is cited by
-
Interfacial evaporation-induced localized multi-field coupling enables efficient co-recovery of freshwater and nitrates
Nature Communications (2026)
-
Ultraviolet-stimulated photocatalysis of crystal violet using (Gd(2-x)La(x)Zr(2-x)Sn(x)O7) pyrochlore nanoparticles
Applied Water Science (2025)
-
Biodegradable jute fiber-based composites with controllable seepage for sustainable agricultural water-saving management
Cellulose (2025)
-
Achieving synergistic benefits through integrated governance of cultivated cadmium contamination via multistakeholder collaboration
Nature Communications (2024)
-
Spatial adaptation patterns and coordinated development of water-energy-food complex system in the yellow river basin
Scientific Reports (2024)






