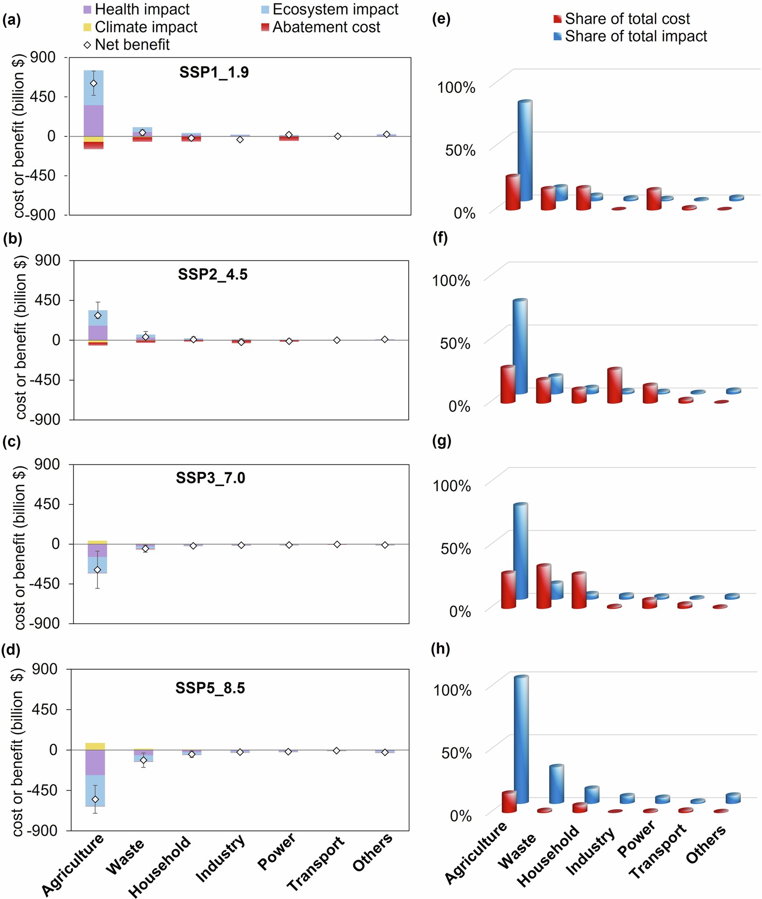
Extended Data Fig. 7: Sectoral costs and benefits of NH3 mitigation in 2050 under SSP/RCP scenarios.
From: Halving global ammonia emissions with cost-effective measures

a, b, c, and d represent the sectoral cost and impact assessment under SSP1_1.9, SSP2_4.5, SSP3_7.0 and SSP5_8.5, respectively; e, f, g, and h represent the sectoral shares of implementation cost and monetized impact under SSP1_1.9, SSP2_4.5, SSP3_7.0, and SSP5_8.5, respectively.Net benefits are presented as white diamonds (means) ± 95% confidence intervals, based on 1000 monte carlo simulations; negative value of impact denotes the damage cost.