Abstract
Excess ammonia (NH3) emissions from human activities pose severe threats to global ecosystems and human health. Although urgent control of NH3 emissions is needed, a comprehensive quantification of mitigation strategies and their cost-effectiveness is lacking on a global scale. Here we employ a multi-model framework to evaluate 32 mitigation measures across 7 sectors in 185 countries. Our analysis reveals that strategic implementation of technological and non-technological (policy and behavioural) measures could reduce global NH3 emissions by up to 60% at an average cost of US$7.4 per kilogram of NH3. The estimated implementation cost of US$274 ± 116 billion is far outweighed by the resulting environmental, health and resource benefits, which we indicatively estimate at US$722 ± 302 billion. Priority action in China and India could yield the largest net gains, whereas Sub-Saharan Africa faces limited cost-effectiveness owing to structural and economic barriers. Future scenarios indicate that ambitious implementation pathways could halve NH3 emissions by 2050, whereas weak climate action and inadequate nitrogen regulations would drive continued emission growth, leading to substantial environmental deterioration. These findings highlight both the feasibility and urgency of integrating NH3 control into multi-objective policies for food security, air quality and sustainable development.
Similar content being viewed by others
Main
Ammonia (NH3), a colourless and pungent gas, plays an intrinsic role in Earth’s nitrogen cycle and is vital for agricultural productivity, especially in fertilizer synthesis1. Over the past four decades, there has been a marked increase in global NH3 emissions, driven largely by the growing demand for agricultural products and changes in dietary preferences2. Large countries with important agricultural sectors, such as China, India and the United States, are key contributors to this rise3. Concurrently, the adverse effects of NH3 emissions on human health and ecosystems have become a growing concern. Ammonia contributes to the formation of fine particulate matter in the atmosphere, leading to cardiovascular and respiratory diseases in humans4. It also causes biodiversity loss in terrestrial and aquatic ecosystems through eutrophication, acidification and changes in plant community structures, disrupting the ecological balance1.
Despite the well-documented environmental and health impacts of ammonia, the development and implementation of targeted NH3 mitigation policies remain at an early stage globally, with most actions to date limited to high-level commitments or indirect regulatory measures. For example, the Colombo Declaration on Sustainable Nitrogen Management (2019) represents a voluntary international commitment to halve nitrogen waste5, and regional actions such as the EU’s National Emission Ceilings (NEC) Directive6 and China’s enhanced fertilizer controls under its 14th Five-Year Plan signal emerging policy traction7. However, comprehensive and enforceable NH3-specific regulations remain limited in most countries. Current research and initiatives mainly target agricultural emissions, which is consistent with the dominant role of the agricultural sector, yet other sectors such as waste management, household activities, industry and transportation also require consideration8. The costs of implementing various abatement measures and their benefits for environmental and human health remain poorly understood on a global scale9, hampering understanding and informing policy for comprehensive NH3 mitigation strategies. An integrated analysis assessing the costs and benefits of mitigation strategies in various regions, considering their unique socioeconomic and environmental contexts, is urgently needed to guide effective and efficient global NH3 mitigation policies.
To address this knowledge gap, this study assesses the mitigation potential, costs and benefits of various NH3 mitigation strategies at global and regional scales. Employing a multi-model coupled assessment framework (Extended Data Fig. 1), we evaluate 32 mitigation measures across 7 sectors in 185 countries (Supplementary Table 1) to identify cost-effective strategies that deliver net benefits for society. The study quantifies the global NH3 mitigation potential through the combined implementation of selected measures, pinpointing major sources and priority regions for reduction. It also examines marginal abatement cost curves (MACC) for NH3 emissions in different countries/regions to determine the most favourable measures for each. Finally, the study analyses the various NH3 mitigation ambitions, together with their social costs and benefits under mid-term based on scenarios using the Shared Socioeconomic Pathways–Representative Concentration Pathways (SSP–RCP) framework10,11 for 2020–2050 to provide a comprehensive understanding of potential policy impacts.
Global NH3 emissions
Over the past four decades, global NH3 emissions increased by approximately 48%, rising from 42 ± 3 teragrams (Tg) in 1980 to 62 ± 6 Tg in 2020, as illustrated in Fig. 1a. This increase is primarily attributed to rising food demand, which has driven growth in agricultural emissions, particularly from cropland fertilization and livestock manure management2. Cropland emissions increased from 14 ± 2 Tg NH3 to 22 ± 2 Tg NH3, and livestock emissions rose from 11 ± 1 Tg to 16 ± 2 Tg. The waste sector, which includes emissions from human solid waste and wastewater management, contributed 2–4 Tg NH3 emissions globally. The household sector maintained a steady increasing trend of NH3 emission, reaching 2 Tg NH3 in 2020, predominantly from human excretion, cooking and heating. NH3 emissions from the industrial, power and transport sectors, typically linked with combustion processes3,12, collectively account for 4–5% of total NH3 annually. These non-agricultural emissions, previously underestimated in global assessments13, demonstrate the diverse sources of NH3 emissions. Emissions from biomass burning such as forest fires, savanna and grassland fires, are categorized under ‘other sectors’, which represent ~3–4% of the total NH3 emissions. Emissions from wildlife, wetland and oceans are not included in this analysis due to insufficient global data and inadequate evaluation methods.
a, NH3 emissions by sector during 1980–2020. b, NH3 emission flows among sector, region and income group in 2020. c,d, spatial patterns of NH3 emission density in 1980 (c) and 2020 (d). Detailed country classification can be found in Supplementary Table 1. Maps were created based on the integration of CHANS emission inventory and EDGAR annual grid maps with 0.5 × 0.5 degree resolution. UMI, upper-middle income; LMI, lower-middle income; HI, high income; LI, low income. Basemaps in c and d are sourced from GADM (https://gadm.org/).
Figure 1b demonstrates that China and India are the primary contributors to global NH3 emissions, jointly accounting for over a third of the total. This high level of emissions can be attributed to their large populations and extensive agricultural activities, with fertilizer use in croplands being the dominant source in China and livestock-related emissions contributing more prominently in India2. Other Asian countries (OA) collectively contribute 16 ± 3%, signifying their substantial role. Sub-Saharan Africa (SSA), with a growing share, contributed 13 ± 2% in 2020, whereas Europe and North America (NA) act as notable emitters with their total contributions of 14 ± 3% (9 ± 1 Tg) NH3 emissions. Latin America (LA), including Brazil, accounts for 7 ± 1 Tg NH3 per year. The Middle East and North Africa (MENA), along with the Former Soviet Union (FSU) exhibit moderate contributions. Oceania has the lowest emission level of 1 ± 0.5 Tg NH3 per year, which could be attributed to the region’s smaller population and less intensive agricultural practices14.
The spatial distribution of NH3 emissions from 1980 to 2020 reveals distinct regional trends, with a notable increase in many parts of the world (Fig. 1c,d). This upward trajectory is driven primarily by anthropogenic activities, particularly the expansion of intensified agricultural practices to sustain a burgeoning global population, coupled with the widespread adoption of synthetic nitrogen fertilizers (for example, urea-based formulations)15. The major NH3 emission hotspots16 are located in East Asia (China), South Asia (India/Pakistan), the central US and parts of Europe, where they are characterized by intensive agricultural production, especially high livestock densities and heavy fertilizer application, rather than necessarily by high population density.
Abatement cost and benefits across sectors
To evaluate the global and regional NH3 mitigation potential and associated costs, this study integrated 32 mitigation measures across seven sectors (Extended Data Fig. 2) into CHANS and GAINS models. Global MACCs covering all 32 NH3 mitigation measures are illustrated in Fig. 2a. Options are ranked by increasing marginal cost, from low-cost measures such as dietary shifts, improved crop and soil management, 4 R fertilization and low-emission manure application, to higher-cost interventions such as NH3 scrubbers, NH3 slip catalysts and the development of low-NH3 alternative goods. However, the implementation feasibility of these options depends on local agronomic capacity, advisory services and farmers’ economic risk tolerance.
a, MACC of global NH3 emissions by option, the x axis stands for the value of cumulative NH3 mitigation and the y axis is the marginal abatement cost of the mitigation option in dollars per kilogram of NH3 mitigated. Note that the values do not include the financial value of N saved by reduced NH3 emissions of the measures listed; each dot on the MACCs represents a different mitigation option, and all options are ranked according to their unit costs, with the least costly on the left. Options labelled in green represent NH3-targeted options, whereas options with orange borders are behavioural options; the remaining options are non-technological options and/or co-benefit options. Detailed option classification and description could be found in Supplementary Tables 3–5. b, NH3 mitigation potential and costs categorized by NH3-targeted versus co-benefit options and technological versus non-technological options. c, Global and regional NH3 mitigation potential and cumulative cost. 60% represent the overall NH3 mitigation potential globally under the current baseline. The red dashed line represents the global average abatement cost (dollars per kilogram of NH3 abated), which is calculated by dividing the global total mitigation cost by the total NH3 reduction. d, The enlarged version of regional MACC in c for better visibility. LCP, low-crude protein; 4R, right time, right type, right rate and right place of fertilization; EENF, enhanced efficiency nitrogen fertilizer; SCR, selective catalytic reduction.
The curve shows a wide cost range, with the global all-sector average marginal cost estimated at US$7.4 per kilogram of NH3, and a total technical mitigation potential reaching 60% of global anthropogenic NH3 emissions. In general, technological measures dominate both the mitigation volume and cost, accounting for 28 Tg NH3 abatement at a cost of US$205 billion (Fig. 2b). Behavioural options, although essential for demand-side engagement, such as dietary shifts and waste reduction, offer an important mitigation contribution (9 Tg NH3) at a cost of US$68 billion. From a policy perspective, about one-third of total mitigation (28 Tg NH3) is delivered by measures explicitly targeting NH3 emissions (for example, manure management and fertilizer formulation), whereas the remainder (10 Tg NH3) comes from broader strategies that primarily target other environmental goals (for example, greenhouse gas (GHG) reduction and nutrient recycling) but also yield NH3 abatement as a co-benefit17.
Regional heterogeneity in MACCs is highlighted in Fig. 2c and detailed in Supplementary Figs. 3–13. Regions with stronger agricultural emissions and mitigation potential, such as India and China, show larger abatement potential at lower costs, whereas structurally constrained regions such as Sub-Saharan Africa face steeper marginal costs due to limited mitigation readiness. The curvature and slope of each regional MACC (Fig. 2d) reflect not only economic conditions but also the underlying structure of emissions and the availability of low-cost mitigation levers.
Figure 3a shows that India emerges with the lowest unit abatement costs (UAC) at US$4.8 per kilogram of NH3, which is primarily due to the large abatement potential (5.8 Tg), widespread opportunities to improve nitrogen use efficiency and relatively low implementation costs. Europe, with a smaller abatement amount (3.3 Tg), also achieves a low UAC at US$5.4 per kilogram of NH3 through mature regulatory systems and optimized farming practices. China contributes the largest abatement volume (8.1 Tg), driving the highest total mitigation cost (US$51 billion), and its UAC remains moderate owing to ongoing modernization in agriculture and waste management. By contrast, SSA faces the highest UAC at US$14 per kilogram of NH3, not because of high baseline agricultural emissions, which remain low owing to limited input use, but due to structural challenges. These include fragmented farming systems, poor infrastructure and limited access to capital and technology. The region requires substantial upfront investments in basic infrastructure and training to enable effective implementation of mitigation measures.
a, Sectoral contributions and marginal costs of global NH3 mitigation. b, Regional contributions and marginal costs of global NH3 mitigation. c, Cost and benefit distribution of NH3 mitigation by sector and region for the baseline year 2020. Net benefits are presented as white diamonds (means) ± 95% confidence intervals, based on the standard errors of 1,000 Monte Carlo simulations.
The global total implementation cost for the proposed NH3 mitigation options is estimated at US$274 ± 116 billion, based on 2020 technology and price levels. The mitigation potential and associated costs vary significantly across different sectors, as shown in Fig. 3. The agricultural sector, encompassing both cropland fertilization and livestock management, offers the largest direct technological mitigation potential, with 23 Tg NH3, abated at a low average cost of US$2.6 per kilogram (Fig. 3a), accounting for 61% of the total mitigation potential while contributing only 21% of the total cost. The household sector, primarily through behavioural measures such as dietary shifts and food waste reduction, contributes a substantial 8.2 Tg of NH3 abatement, despite its low baseline emissions (2.7 Tg), and incurs a moderately higher cost of US$3.6 per kilogram, reflecting the systemic nature of behavioural change. Similarly, the waste sector (solid waste and wastewater) contributes 3.6 Tg of abatement at a cost of US$13.8 per kilogram of NH3, due to the infrastructure and operational investments required for source separation, composting and advanced treatment. The power and industry sectors exhibit limited abatement potential (0.9 Tg and 0.7 Tg NH3, respectively), but incur high marginal costs of US$66 and US$78 per kilogram, respectively (Fig. 3a), and they together contribute only 4% of the total mitigation volume while absorbing over 40% of total mitigation costs. The transport sector shows the highest unit cost (US$80 per kilogram) with minimal abatement potential (0.2 Tg), largely due to the limited role of NH3 in modern vehicular emissions and the high cost of emission control technologies such as NH3 slip catalysts. The ‘other’ sector, which includes biomass burning emissions, offers moderate potential (0.9 Tg) at relatively low cost (US$10 per kilogram), but faces higher uncertainty due to diffuse sources.
Cost-effectiveness across region and sector
NH3 mitigation potential and costs exhibit pronounced regional disparities (Fig. 3b). Oceania shows the lowest level of mitigation and associated costs, in line with its relatively minor emissions and limited scope for NH3 abatement. India and China, with a combined mitigation potential of 14 Tg NH3 emissions, can achieve substantial reductions at costs below the global average, underscoring their future pivotal role in global NH3 mitigation efforts, as shown in Fig. 3b. FSU demonstrates the limited potential of 1.0 Tg NH3 reduction with the total cost of US$7.8 billion. Europe and NA share similar NH3 mitigation potential (~3 – 4 Tg), with corresponding costs of US$18 billion and US$24 billion, respectively. MENA, LA and Brazil present higher implementation costs to achieve their NH3 mitigation potentials. Notably, OA and SSA hold a considerable NH3 mitigation share but much higher implementation costs than the global average. The comprehensive execution of NH3 mitigation options in SSA will require a substantial investment of US$57 billion, primarily for enhancements in the waste, power and industry sectors, able to achieve 3.5 Tg NH3 abatement.
Although NH3 mitigation in various regions involves substantial costs, the associated societal benefits, particularly in preventing premature human mortality and ecosystem degradation, are considerable (Fig. 3c). The monetized costs of premature mortality and ecosystem degradation were estimated using region-specific unit damage costs derived from published literature, primarily based on willingness-to-pay methods for ecosystem services and the economic valuation of health impacts from PM2.5 exposure, scaled by population, gross domestic product (GDP) per capita and NH3 emission density (see details in Methods). China leads with the highest net benefits of US$148 ± 57 billion, followed by Europe, NA and India with benefits of US$95 ± 39 billion, US$92 ± 39 billion and US$81 ± 33 billion, respectively (Fig. 3c). The high values in these regions stem from a combination of elevated ambient concentrations, large exposed populations and underlying health conditions. By contrast, OA, FSU and MENA present lower net benefits, indicating a less cost-effective outcome. SSA faces the most challenging cost–benefit outlook, where the estimated mitigation cost (US$57 ± 23 billion) exceeds the total monetized benefits (US$23 ± 11 billion). This imbalance mainly stems from our cost–benefit analysis being conducted from all-sector NH3 control perspective, without fully accounting for the broader GHG, air quality or long-term ecosystem synergies. Importantly, the regional average masks opportunities for selectively implementing cost-effective measures, particularly in agriculture and sanitation, where abatement can generate local health and productivity cobenefits.
The total estimated benefits from global NH3 mitigation amount to US$722 ± 302 billion, comprising US$373 ± 148 billion in health benefits4 and US$414 ± 183 billion in ecosystem benefits18, offset by US$65 ± 29 billion in negative climate impacts19. The agricultural sector presents the most favourable benefit–cost ratio (BCR) at 7.6 with US$58 ± 23 billion in mitigation costs but US$440 ± 177 billion in total benefits from health, ecosystem and climate impacts (Fig. 3c). This accounts for 61% of the total estimated benefits, resulting in a net benefit of US$382 ± 155 billion from agriculture. The waste sector, with costs at US$50 ± 18 billion and total benefits at US$71 ± 27 billion, shows a BCR of 1.5, suggesting a relatively cost-effective mitigation. The household sector has estimated benefits of US$42 ± 15 billion compared with mitigation costs of US$33 ± 10 billion, yielding a BCR of 1.4. Conversely, the transport, industry and power sectors encounter low BCRs at ~0.2 – 0.5 for NH3 mitigation, which underscores the economic challenges of reducing NH3 emissions in these sectors unless the considerable cobenefits of reducing GHGs and air pollutants (NOx, SO2 and PM2.5) are factored in20.
Future pathways
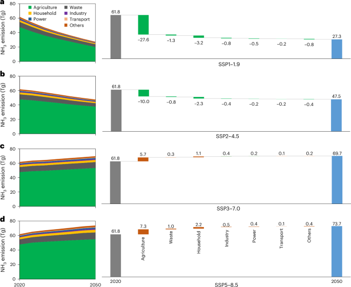
To evaluate future NH3 emission trajectories, four distinct SSP–RCP scenario analyses (Methods) spanning 2020–2050 were conducted. The SSP1–1.9 scenario, characterized as the ‘sustainability’ pathway (Extended Data Table 1), demonstrates a substantial reduction in NH3 emissions, with a decrease of 34.0 Tg between 2020 and 2050, representing a reduction of more than 50% (Fig. 4a and Extended Data Fig. 3). This decrease is mainly driven by sustainable diets, reduced food waste and resource-efficient production systems, with notable 27.6 Tg and 3.2 Tg reductions in the agriculture and waste sectors, respectively. In this scenario, all regions show a downward emission trend from 2020 to 2050, albeit at different rates, as depicted in Fig. 5a. In addition, prescribed burning practices are included in the other sector under SSP1–1.9, helping to mitigate wildfire risks, particularly in fire-prone regions.
a–d, NH3 emission trajectories and sectorial emission changes from 2020 to 2050 under SSP1–1.9 (a), SSP2–4.5 (b), SSP3–7.0 (c) and SSP5–8.5 (d).
a, Projected regional NH3 emission trajectories under SSP1–1.9, SSP2–4.5, SSP3–7.0 and SSP5–8.5. Shaded bands indicate the 95% confidence interval of estimated NH3 emissions. b, Global costs and benefits of NH3 emissions and mitigation from 2025 to 2050 by scenario. Net benefits are presented as white diamonds (means) ± 95% confidence intervals, based on the standard errors of 1,000 Monte Carlo simulations.
The SSP2–4.5 scenario, known as the ‘stabilization’ pathway, features intermediate levels of climate mitigation efforts and has moderate ambition on NH3 mitigation (Fig. 4b). This scenario envisions a trajectory balancing economic growth with environmental sustainability. Although SSP2–4.5 does not aim as ambitiously as SSP1–1.9, it includes measures to stabilize and gradually lower NH3 emissions across key sectors, including agriculture (−10 Tg), waste management (−2.3 Tg), household practices (−0.8 Tg) and fuel combustion-related sectors (−0.8 Tg). Most regions under SSP2–4.5 exhibit a steady but less significant decrease in emissions compared with SSP1–1.9, whereas SSA shows a slight rise by 2050 (Fig. 5a), driven by rising population and intensified food demand.
In the SSP3–7.0 scenario of the ‘regional rivalry’ world, NH3 emission-reduction actions in different countries and regions lack effective targets and technology development. Major emitting countries progress slowly on NH3 emission-reduction policies, and a noticeable upward trajectory in NH3 emissions is projected by 2050 (Fig. 4c). The agricultural sector alone contributes an increase of 7.3 Tg, driven by inefficient fertilizer use, expansion of livestock systems and lack of policy enforcement. Only Europe presents a slight decrease in NH3 emissions (Fig. 5a).
SSP5–8.5 represents a world with fossil-fuel-intensive economic growth and high energy demand, with little attention to controlling NH3 emissions. Under this pathway, NH3 emissions rise to 73.7 Tg by 2050 (Fig. 4d). Agriculture drives most of this increase, as production is intensified through greater fertilizer use and livestock density, with limited regard for environmental impacts. Emissions from waste and households increase by 2.2 Tg and 0.9 Tg, respectively, reflecting weak investment in treatment infrastructure and rising consumption. Industry, power and transport add another 1.0 Tg due to minimal deployment of abatement technologies. The ‘other’ sector also contributes substantially, mainly because of more frequent and severe wildfires.
Globally, SSP1–1.9 requires substantial abatement costs (US$296 ± 92 billion), but the benefits for health, ecosystems and climate rise to US$884 ± 292 billion by 2050 (Fig. 5b), demonstrating the long-term economic payoff of strong sustainability action. Under SSP2–4.5, moderate costs (US$111 ± 33 billion) still yield growing net benefits, reaching US$317 ± 129 billion by 2050. By contrast, SSP3–7.0, with weak and uneven NH3 control, leads to worsening health and ecosystem damage valued at US$390 ± 198 billion. SSP5–8.5, marked by minimal NH3 abatement and fossil-fuel-intensive growth, drives even larger losses (US$778 ± 435 billion), underscoring the cost of inaction.
In general, across mitigation pathways (SSP1–1.9 and SSP2–4.5), most regions gain net benefits (Extended Data Figs. 3–5), with China showing the largest gains (Extended Data Fig. 6). Conversely, under non-mitigation pathways (SSP3–7.0 and SSP5–8.5), nearly all regions, except Europe, suffer increasing health and economic losses (Extended Data Fig. 6). Agriculture remains the central source of NH3 emissions and the main target for mitigation (Extended Data Fig. 7); in mitigation scenarios, its social benefits are large enough to offset the sector’s damages under non-mitigation futures.
Policy implication
Our findings highlight the need for targeted and sector-specific strategies to achieve effective NH3 mitigation, with agriculture and waste management emerging as global priorities. In the agricultural sector, empirical evidence from regions such as Europe21, China22, Australia14, the USA and Canada23, confirms the effectiveness and practicality of abatement measures, not only for reducing NH3 emissions but also for curbing nitrogen runoff/leaching and GHG emissions24. Successful practices include fertilizer use regulations, adoption of precision agriculture and financial support for low-emission manure systems and feed additives25,26. Nevertheless, strategies must balance reduced fertilizer use with food security concerns for key crops (rice, wheat and maize). In waste management, stricter standards for incineration, composting27 and landfills can substantially cut NH3 emissions, although these improvements often require high investment, especially in low-income regions. In the industry, power and transportation sectors, NH3 abatement costs are high when calculated only from the perspective of NH3. However, many of the evaluated measures are often implemented primarily for climate or air quality purposes, other than NH3 control. These include transitioning to cleaner fuel, efficiency improvement and NOₓ control technologies in these sectors. In these cases, NH3 abatement is best understood as a co-benefit rather than the main driver of intervention, which may nonetheless result in substantial cost savings when viewed from an integrated policy perspective. Mitigation choices must be sensitive to context, and policies should promote integrated approaches that account for both synergies and trade-offs among environmental, economic and welfare objectives.
Geographical differences shape NH3 mitigation priorities. Asia, in particular China and India, accounts for the highest emissions and should lead global efforts, with cooperation among countries such as Pakistan, Indonesia and Bangladesh being crucial due to the transboundary nature of NH3 pollution28. Europe, by contrast, is already experiencing a decline in NH3 emissions; many effective NH3 mitigation measures are enforced primarily through the EU Nitrate Directive29, originally aimed at reducing water pollution. This reflects that NH3 control could be effectively implemented when integrated with water and nutrient management frameworks, particularly in the agricultural sector. SSA faces a different problem: agricultural NH3 emissions are projected to rise with growing fertilizer use and livestock production, and food security remains a priority30. The high cost of upgrading inadequate infrastructure makes NH3 mitigation a formidable task in SSA. Considering the region’s ongoing development in agriculture and low-income status, immediate NH3 abatement is deemed a lower priority.
Despite the availability of effective NH3 mitigation measures, implementation across sectors and regions faces multiple barriers, enablers and uncertainties. Economic constraints remain a major obstacle, particularly in low-income and middle-income countries where high upfront costs, for manure treatment, precision agriculture or waste infrastructure, restrict widespread adoption. Technological limitations, such as restricted access to advanced fertilizers and controlled-release formulations, along with institutional weaknesses such as fragmented policies or inadequate extension services, further hinder progress. Nevertheless, several important enablers can support wider uptake. These include strong cobenefits for climate mitigation (for example, GHG reductions), air and water quality improvement and enhanced agricultural productivity, especially when NH3 control is embedded in multi-objective policies. Aligning NH3 mitigation with global sustainable development agendas, such as the Colombo Declaration’s goal to halve global nitrogen waste31 and the United Nations Sustainable Development Goals (SDGs) (for example, SDG2 Zero Hunger, SDG6 Clean Water, SDG13 Climate Action and SDG15 Life on Land)32, can enhance policy coherence and maximize environmental, social and economic gains. For example, the Europe Sustainable Development Report 202233 includes NH3 emissions from agriculture as an SDG2 indicator, with a long-term goal to limit NH3 emissions to 8 kg NH3 ha−1. Policymakers can further leverage these synergies by incorporating NH3 abatement into national SDG strategies and air quality programmes. However, considerable uncertainties remain, including variability in behavioural adoption, the robustness of policy enforcement and evolving technology costs, all of which underscore the need for flexible, context-specific approaches. A global roadmap (proposed in Fig.6) and coordinated frameworks are essential for scaling action and addressing the transboundary nature of NH3 pollution.
A staged pathway to reduce global NH3 emissions across all major source sectors: agriculture (dominant source), energy and industry, household, transport and waste. The roadmap links sector-specific strategies with international cooperation and cost-effective options that deliver social and environmental cobenefits. It defines coordinated global targets over three time horizons: short term (2020–2030), 20–30% reduction, driven by rapid adoption of proven, low-cost measures and clean air policies in key regions (for example, China and India); medium term (2030–2050), ~50% reduction, supported by broader structural transformation of agriculture and waste management, deployment of cleaner fuels and processes, and integration of NH3 control into policies for food security, public health and sustainable development; long term (post-2050), >50% reduction, aligned with global goals on clean air, halving nitrogen waste, achieving carbon neutrality and advancing the SDGs. Icons from OfficePLUS Free Illustration Library under a Creative Commons licence CC0 1.0.
Uncertainty and limitations
Although our global NH3 emission inventory has been cross validated using multiple independent sources, some uncertainties remain, as discussed in Supplementary Information Section 3. One notable limitation is the exclusion of NH3 emissions from natural ecosystems, such as wetlands, oceans and wildlife owing to a lack of reliable data and robust evaluation methods. As a result, our analysis of NH3 emission-reduction potentials and costs focused on major anthropogenic sectors and relies primarily on literature review combined with Coupled Human And Natural Systems (CHANS)34 and greenhouse gas and air pollution interactions and synergies (GAINS)35 simulations. The mitigation potential estimates should be interpreted as indicative technical–economic potential under modelled assumptions rather than guaranteed real-world performance.
Several limitations affect our cost–benefit projections. In particular, a sensitivity test shows that adoption rates and cost estimates are the primary sources of uncertainty in mitigation potential and cost-effectiveness, whereas assumptions on exposure–response functions dominate the uncertainty in health cobenefits (Supplementary Fig. 21). These findings highlight the importance of policy ambition, socioeconomic context and data quality in shaping model outcomes. Although our MACs reflect variation in socioeconomic capacity through per capita gross domestic product (PGDP)-adjusted costs and scenario-dependent adoption rates, we did not model dynamic changes in mitigation efficiency or the emergence of new technologies. In addition, structural inefficiencies, including fragmented supply chains, financing constraints and regulatory delays, may increase actual implementation costs beyond our reported uncertainty ranges. Future work could integrate technology diffusion models to better reflect innovation and learning effects across SSPs.
Regarding the valuation of NH3-related impacts and mitigation benefits, coefficients and parameters used for quantification are derived from literature and model simulations (Supplementary Tables 3 and 4). Future damage cost coefficients have been adjusted to reflect changes in projected emission levels and socioeconomic development trajectories under each scenario. However, we acknowledge that this approach may introduce considerable uncertainty in assessing the broader social impacts of NH3 reduction, particularly due to simplified assumptions about exposure–response relationships, ecological recovery dynamics and economic valuation of ecosystem services (see detailed discussion in Supplementary Information Section 4). Although we reported standard deviations for key metrics (for example, US$274 ± 116 billion for costs and US$722 ± 302 billion for benefits), these figures should be seen as indicative variability ranges rather than precise confidence intervals. Monte Carlo simulations account for parameter uncertainty but do not fully capture epistemic uncertainty related to structural assumptions, long-term behavioural responses and valuation methods. Consequently, our cost–benefit analysis should be viewed as a tool for assessing relative cost-effectiveness rather than a definitive statement of social desirability. Decisions on NH3 mitigation are inherently complex and value driven, requiring careful consideration of ethical, institutional and cultural factors beyond simple economic metrics. In addition, our study does not systematically quantify the potential synergies and trade-offs between NH3 mitigation and the control of other pollutants. Future research should prioritize multi-pollutant strategies that target simultaneous reductions in NH3, GHGs and other air pollutants across region and sectors, thereby maximizing synergies, minimizing trade-offs and supporting broader goals such as carbon neutrality, clean air and the SDGs.
Methods
Global NH3 emission inventory
This study compiled an updated global NH3 emission inventory mainly based on the CHANS mass-balance model, with integration of credible global emission databases, including the Community Emissions Data System (CEDS)36, Emission Database for Global Atmospheric Research (EDGAR)37, Integrated Model to Assess the Global Environment (IMAGE)38 and the Model of Agricultural Production and its Impact on the Environment (MAgPIE)39 (Extended Data Fig. 1). Detailed descriptions of these NH3 model datasets used in this study are provided in Supplementary Information Section 1. We also referred to regional (USA, UK and Australia) NH3 emissions inventories and the published NH3-related paper for national validation (Supplementary Fig. 18). Seven major sectors of NH3 emissions are defined in this study for inventory compilation and source apportionment, including agriculture (fertilizer application, livestock manure and biomass burning), waste (solid waste management and wastewater treatment), household (cooking, heating and building), transport (on-road, rail and off-road), power (energy production and fossil fuel combustion), industry (explosives and acrylonitrile production) and others (biomass burning). Definitions for each emission source by sector are listed in Supplementary Table 2. The main data sources used in this study include the following.
-
(1)
FAOSTAT40, used for detailed crop production, land use and livestock population data. The World Bank41, provided national-scale socioeconomic indicators such as human population and GDP. IFASTAT42, supplied information on fertilizer consumption and nutrient use. Non-agricultural activity data such as fuel consumption are primarily based on IEA world energy balances43. Data on transportation activity, including vehicle counts and mileage, were sourced from the IEA Mobility Model44. Estimates of biomass burning area were derived from the Global Fire Emissions Database (GFED4s)45 and MODIS satellite observations46, whereas wastewater generation and treatment practices were informed by UNEP sanitation assessments47, national environmental reports and peer-reviewed papers.
-
(2)
Latest published papers on field experiments, meta-studies and national gas emission inventories that offer diverse parameters (for example, N content in crops, harvest index and manure recycling ratio) and regional-specific Nr emission factors (EFs) or global default values for countries that have not developed their own methods and EFs to enable the calculation of regional NH3 emissions (\({E}_{{\mathrm{NH}}_{3},i}\)) (equation (1),
where i, j, k represent the specific year, region and sector of NH3 emissions, \({A}_{i,\,j,k}\) is the activity level data and \({\mathrm{EF}}_{i,\,j,k}\) are the specific NH3 emission factors, which were derived from a comprehensive literature review and from the emission models and datasets referenced in Supplementary Fig. 14.
Mitigation options and potential
To explore the overall NH3 mitigation potential, we first conducted a literature review from the Web of Science published in 2000 to identify feasible NH3 abatement measures by sector. Keywords used for the search included ‘ammonia OR NH3 emission OR ammonia emission inventory OR ammonia mitigation potential OR mitigation cost OR mitigation benefit’, ‘mitigation options OR abatement OR reduction’, ‘agriculture OR waste OR industry OR transport OR cropland OR livestock OR fertilizer’ and ‘cobenefits OR trade-offs’. The selection of NH3 abatement measures was guided by five main criteria: (1) high mitigation efficiency; (2) relatively low implementation cost based on available literature and international assessments; (3) broad applicability across sectors and geographies; (4) feasibility of regional implementation under current or projected socioeconomic conditions; and (5) the presence of clear cobenefits (for example, GHG reduction and air or water quality improvement) or recognized trade-offs. Based on the selection criteria and literature review, a total of 32 mitigation options across seven emission sectors were included in this study. These options were classified from different perspectives: that is, technological versus non-technological options, NH3-targeted versus co-benefit options (Supplementary Fig. 2), to explore the feasibility and effectiveness of various mitigation strategies. A detailed description of each option’s application scope, implementation cost, co-benefit or trade-offs is provided in Supplementary Tables 3–5. In general, the technological options primarily focus on equipment upgrades, process modifications and infrastructure improvements that require capital investment and technical implementation. By contrast, behavioural options emphasize changes in human activities that can be implemented through policy interventions and awareness campaigns. The NH3-targeted options are specifically designed to reduce NH3 emissions as their primary objective, whereas co-benefit options address other environmental concerns, such as reducing GHG emissions, improving air quality or enhancing resource efficiency while contributing to NH3 mitigation. This classification framework allows a comprehensive assessment of the trade-offs between direct NH3 reduction effectiveness and broader environmental benefits, providing policymakers with insights into optimal mitigation portfolio selection based on specific regional priorities and constraints.
Mitigation potentials of NH3 emissions at the national scale were assessed by combining various mitigation options with the original emission inventory, which is calculated as in equation (2):
where i, j, k represent the specific year, region and emission sector, \(\Delta {E}_{{\mathrm{NH}}_{3},i}\) is the reduction potential of NH3 emissions in year i, m represents a specific abatement option or the combination of multiple options,\(\,{\eta }_{i,\,j,k,m}\) is the NH3 abatement efficacy and \({X}_{i,\,j,k,m}\) is the implementation rate of the abatement technique or options.
Implementation costs
A technologically detailed bottom-up approach can assess the financial costs of implementing various NH3 mitigation measures across nations/regions. Abatement options and their associated mitigation efficiency are characterized by major NH3-emitting sectors such as agriculture, transportation, industry and waste management. The implementation cost of NH3 emissions in this study is defined as a direct expenditure (the sum of investment costs and operation costs) for implementing measures to reduce NH3 emissions from different emission factors, whereas the possible public costs (for example, subsidy to promote the control policy) are not considered. Here we mainly refer to the methodology of cost assessment from the GAINS model to calculate the abatement costs of implementing various NH3 mitigation measures. The GAINS model has been widely used to determine least-cost abatement policies for reaching specified gas emission control targets in many countries and regions. The calculation of abatement costs is formulated in equation (3) as
where ACi,k represents the annual implementation cost, Ii,k refers to the investment cost, r is the discount rate, lti,k represents the lifetime of the abatement technique (10–15 years), \({{\rm{FO}}}_{i,k}\) is the fixed operating cost, \({{\rm{VO}}}_{i,k}\) is the variable operating cost (for example, feed, gas, electricity, labour and water) and FSi,k represents saving costs from reduced use of N fertilizer. All cost data from the literature were adjusted by the purchasing power parity index and measured in constant 2017 US dollars by assuming 2% annual inflation. Detailed cost-calculation methods and parameters can be found in Supplementary Table 4. Country/regional differences in the mitigation cost were considered through a series of international cost indices (labour, non-energy materials, electricity, water and energy) to create a more heterogeneous representation of emissions and mitigation costs across countries. For non-traditional or emerging options where empirical validation is limited, we applied uncertainty bounds and conducted uncertainty analysis to capture the plausible cost range (Supplementary Table 2).
MACC
An MACC is an analytical tool used to understand the costs associated with emission reduction. Country-specific data on baseline emission sources, abatement potentials, capital and operating costs, and technology adoption rates allows estimation of regional-specific MACCs. Based on the efficiency of investigated mitigation options and annual implementation cost, we estimated the regional and global marginal abatement cost (MAC) of NH3 mitigation to determine the additional cost associated with reducing one more unit of emissions. The basic equation for calculating the MAC is
where \(\Delta {C}_{m}\) is the cost change due to the implementation of the abatement measure m, and \(\Delta {E}_{m}\) represents the corresponding change in NH3 emissions.
Societal benefit assessment
Societal benefits (\({{\rm{SOC}}}_{{\rm{b}}{\rm{enefit}}}\)) of NH3 mitigation in this study are defined as the sum of benefits (avoided damage cost) for human health (\({{\rm{HH}}}_{{\rm{benefit}}}\)), ecosystem service (\({{\rm{EH}}}_{{\rm{be}}{\rm{nefit}}}\)) and climate impact (\({{\rm{CL}}}_{{\rm{impact}}}\)), as shown in equation (5):
The health benefit (\({\mathrm{HH}}_{\mathrm{benefit},i}\)) refers to the benefit of prevented mortality derived from PM2.5 mitigation caused by NH3 abatement48. We derived the baseline (2020) national-specific unit health damage costs (\(H{\mathrm{cost}}_{2020,\,j}\)) of NH3 emission from the N-share methodology4, which connected the economic cost of premature mortality per unit of NH3 emission with the PM2.5 concentration, population density, GDP per capita and total years of life lost. Then we estimated the changed health damage cost (\(H{\mathrm{cost}}_{i,\,j}\)) in a specific country and year based on the variation of regional NH3 emission density and the PGDP, as shown in equation (6). The avoided health damage cost by NH3 mitigation compared with 2020 is regarded as the health benefits, as presented in equation (7). It is noted that the estimated health benefits represent indicative magnitudes rather than precise valuations, given the uncertainties in exposure–response relationships, modelled chemical fractions of PM2.5 and monetization based on PGDP-weighted approaches.
where \({E}_{i,\,j}\) and \({E}_{2020,\,j}\) refer to the national NH3 emissions in the years i and 2020, respectively (specific parameters provided in Supplementary Table 7), \({\mathrm{PGDP}}_{i,\,j}\) and \({\mathrm{PGDP}}_{2020,\,j}\) refer to national GDP per capita in the years i and 2020, respectively, \({\mathrm{Density}}_{i,\,j}\) and \({\mathrm{Density}}_{2020,\,j}\) refer to NH3 emission density in kilograms of NH3 per hectare in the years i and 2020, respectively, and \(\alpha\) is the coefficient for health damage cost, which is derived by correlation analysis between past NH3 damage costs and PGDP and emission intensity.
Similarly, ecosystem benefits (\({{\rm{EH}}}_{{\rm{be}}{\rm{nefit}}}\)) in this study are regarded as the avoided damage costs of the improvement of acidification and eutrophication of ecosystems due to NH3 mitigation. We derived the baseline regional-specific unit NH3 damage costs to the ecosystem (\(E{\mathrm{cost}}_{2020,\,j}\)) based on the willingness-to-pay method from European Nitrogen Assessment49 and the latest peer-reviewed papers21,50, which provided national damage cost estimation (specific parameters provided in Supplementary Table 7). Then we assessed the future changed ecosystem damage cost based on the changing NH3 emission density and PGDP under the specific scenario to finally calculate the avoided ecosystem damage cost associated with NH3 management (equations (8) and (9)). Please note that we acknowledge the inherent limitations and uncertainties associated with willingness-to-pay-based approaches. These include their dependence on socioeconomic context, valuation method (for example, contingent valuation versus revealed preference) and cultural perceptions of environmental and health risks. The precision of these estimates is not meant to represent exact national values, but to support comparative analyses of where mitigation may offer relatively higher social benefit.
where \(E{\mathrm{cost}}_{i,\,j}\) and \(E{\mathrm{cost}}_{2020,\,j}\) refer to the national monetized ecosystem damage cost in the years i and 2020, respectively, and \(\beta\) is the coefficient for ecosystem damage cost adjustment, which was obtained through analysing the relationship between past damage costs and PGDP and emission intensity.
The climate impact from NH3 mitigation refers only to the alteration in the cooling effect that NH3 emissions have on the Earth51 resulting from the implementation of NH3 mitigation strategies, as shown in equations (10) and (11). The GHG-related cobenefits or trade-offs resulting from NH3 mitigation were not quantified in this assessment due to data and model limitations.
where \({\mathrm{CI}}_{i,\,j}\) and \({\mathrm{CI}}_{2020,\,j}\) refer to the regional monetized climate impact in the years i and 2020, respectively, and \(\gamma\) is the coefficient for climate impact adjustment, which was obtained through analysing the relationship between historical damage costs and PGDP and emission intensity.
Future scenario setting
To explore how global NH3 emissions may change under differing socioeconomic and policy conditions, this study conducted scenario analyses for the period 2020–2050 using the SSPs and RCPs, a framework widely applied in integrated assessment models and global environmental assessments such as the IPCC Sixth Assessment Report (AR6)11,52. In this study, we superimposed NH3 mitigation ambitions, ranging from weak to strong policy efforts, onto four combined SSP–RCP scenarios (SSP1–1.9, SSP2–4.5, SSP3–7.0 and SSP5–8.5) to assess potential emissions trajectories, sectoral mitigation contributions and associated societal costs and benefits. The four scenarios used in this study align with the standard CMIP6 pathways used in IPCC AR6 in terms of demographic, economic and energy trajectories. However, additional NH3-specific mitigation assumptions (Extended Data Table 1 and Supplementary Tables 6 and 7) were overlaid to reflect plausible variations in policy ambition and abatement adoption within each scenario. These extensions allow sector-specific analysis of NH3 mitigation potential and cost under internally consistent SSP–RCP frameworks53. This methodological approach builds on earlier nitrogen-focused SSP analyses10 by incorporating NH3-specific policies and linking them to broader sustainability and climate goals. Datasets on the future NH3 emission-related activity levels such as fertilizer use, livestock population, manure management, agricultural land use and waste management were derived from the IIASA SSP Scenario Database54 and peer-reviewed literature10,55,56. Detailed descriptions of the four scenarios and their characteristics are provided in Supplementary Information Section 2. Based on the quantifiable characteristics of the SSP–RCP, we integrated various NH3 emission-reduction measures and strategies into the CHANS model to assess potential emissions trajectories, sectoral mitigation contributions and associated societal costs and benefits. Through this analysis, we aimed to identify the extent to which ambitious climate and sustainability pathways could also deliver substantial NH3 reductions and, conversely, how business-as-usual trajectories may exacerbate emissions and their associated impacts.
Uncertainty analysis
To evaluate the robustness and reliability of our results, we conducted a comprehensive uncertainty analysis using Monte Carlo simulations. We performed 1,000 Monte Carlo iterations to quantify uncertainties in NH3 emission inventories, mitigation potential, abatement costs and associated benefits across different sectors and regions. Our simulation framework incorporated uncertainties from multiple sources and their potential interactions: activity data (for example, fertilizer application rates, livestock populations and industrial production levels), emission factors specific to different NH3 sources, technical parameters of mitigation measures (including mitigation efficiencies and implementation rates) and economic parameters (labour costs, market price and discount rates). Key parameters varied in the simulation included baseline emission factors (±15–30%, with larger uncertainties for non-agricultural sectors), mitigation efficiencies (±10–30%, depending on technological maturity), implementation costs (±20–50%, with regional variations) and activity data (±5–15%, based on statistical reporting uncertainty). The uncertainty ranges were sector specific, reflecting varying levels of data quality and understanding of emission processes. For example, agricultural emission factors had narrower uncertainty ranges due to extensive field measurements, whereas industrial and waste sector parameters had wider ranges reflecting limited data availability. We also considered parameter correlations and cross-sector interactions in our Monte Carlo framework. Cost–benefit calculations incorporated uncertainties in both monetary valuations of environmental benefits (for example, health impacts and ecosystem services) and region-specific discount rates. Detailed documentation of the simulation methodology and comprehensive results is provided in Supplementary Information Section 4 and Supplementary Tables 9 and 10.
Reporting summary
Further information on research design is available in the Nature Portfolio Reporting Summary linked to this article.
Data availability
Shared Socioeconomic Pathways (SSPs) projections used for scenario modelling are publicly available from the IIASA SSP Scenario Database (https://iiasa.ac.at/models-tools-data/ssp). Data supporting the findings of this study are available within the article and its Supplementary Information. Specific model parametrization is available upon reasonable request from the corresponding author. Source data are provided with this paper.
Code availability
No custom code was developed for this work. Data processing and statistical analyses were performed using Microsoft Excel (365), Origin (v.2025), ArcGIS Pro (v.3.3) and GraphPad Prism (v.10.1). All procedures are described in Methods.
Change history
20 January 2026
This article was originally published under the subscription model but it is now published under an Open Access license.
References
Erisman, J. W. How ammonia feeds and pollutes the world. Science 374, 684–685 (2021).
Liu, L. et al. Exploring global changes in agricultural ammonia emissions and their contribution to nitrogen deposition since 1980. Proc. Natl Acad. Sci. USA 119, e2121998119 (2022).
Van Damme, M. et al. Industrial and agricultural ammonia point sources exposed. Nature 564, 99–103 (2018).
Gu, B. et al. Abating ammonia is more cost-effective than nitrogen oxides for mitigating PM2. 5 air pollution. Science 374, 758–762 (2021).
Sutton, M. A., Howard, C. M., Mason, K. E., Brownlie, W. J. & Cordovil, C. Nitrogen Opportunities for Agriculture, Food & Environment. UNECE Guidance Document on Integrated Sustainable Nitrogen Management (UKCEH, 2022).
European Parliament and Council. Directive 2001/81/EC of the European Parliament and of the Council of 23 October 2001 on national emission ceilings for certain atmospheric pollutants. OJEU L309, 22–30 (2001).
Outline of the 14th Five-Year Plan (2021–2025) for National Economic and Social Development and Long-Range Objectives through the Year 2035 of the People’s Republic of China (translated title) (The State Council of the People’s Republic of China, 2021); https://www.mofcom.gov.cn/zcfb/zgdwjjmywg/art/2022/art_19e9611933cf4a18bf862d6175fa64a3.html
Ma, R. et al. Mitigation potential of global ammonia emissions and related health impacts in the trade network. Nat. Commun. 12, 6308 (2021).
Xu, P. et al. Fertilizer management for global ammonia emission reduction. Nature 626, 792–798 (2024).
Kanter, D. R. et al. A framework for nitrogen futures in the shared socioeconomic pathways. Glob. Environ. Change 61, 102029 (2020).
Rao, S. et al. Future air pollution in the Shared Socio-economic Pathways. Glob. Environ. Change 42, 346–358 (2017).
Farren, N. J., Davison, J., Rose, R. A., Wagner, R. L. & Carslaw, D. C. Underestimated ammonia emissions from road vehicles. Environ. Sci. Technol. 54, 15689–15697 (2020).
Meng, W. et al. Improvement of a global high-resolution ammonia emission inventory for combustion and industrial sources with new data from the residential and transportation sectors. Environ. Sci. Technol. 51, 2821–2829 (2017).
Zhang, X. et al. Costs and benefits of ammonia abatement in Australia. Resour. Conserv. Recycl. 182, 106318 (2022).
Xu, R. et al. Global ammonia emissions from synthetic nitrogen fertilizer applications in agricultural systems: empirical and process-based estimates and uncertainty. Glob. Change Biol. 25, 314–326 (2019).
Luo, Z. et al. Estimating global ammonia (NH3) emissions based on IASI observations from 2008 to 2018. Atmos. Chem. Phys. 22, 10375–10388 (2022).
Thompson, T. M., Rausch, S., Saari, R. K. & Selin, N. E. A systems approach to evaluating the air quality co-benefits of US carbon policies. Nat. Clim. Change 4, 917–923 (2014).
Guthrie, S. et al. The Impact of Ammonia Emissions from Agriculture on Biodiversity (RAND Corporation and The Royal Society, 2018).
Van Grinsven, H. J. M. et al. Costs and benefits of nitrogen for Europe and implications for mitigation. Environ. Sci. Technol. 47, 3571–3579 (2013).
Vandyck, T., Keramidas, K., Tchung-Ming, S., Weitzel, M. & Van Dingenen, R. Quantifying air quality co-benefits of climate policy across sectors and regions. Clim. Change 163, 1501–1517 (2020).
Giannakis, E., Kushta, J., Bruggeman, A. & Lelieveld, J. Costs and benefits of agricultural ammonia emission abatement options for compliance with European air quality regulations. Environ. Sci. Eur. 31, 1–13 (2019).
Zhang, X. et al. Societal benefits of halving agricultural ammonia emissions in China far exceed the abatement costs. Nat. Commun. 11, 4357 (2020).
Bittman, S., Sheppard, S. C. & Hunt, D. Potential for mitigating atmospheric ammonia in Canada. Soil Use Manag. 33, 263–275 (2017).
Winiwarter, W. & Klimont, Z. The role of N-gases (N2O, NOx, NH3) in cost-effective strategies to reduce greenhouse gas emissions and air pollution in Europe. Curr. Opin. Env. Sust. 3, 438–445 (2011).
Sun, G. et al. Mitigating greenhouse gas emissions and ammonia volatilization from cotton fields by integrating cover crops with reduced use of nitrogen fertilizer. Agric. Ecosyst. Environ. 332, 107946 (2022).
Mohankumar Sajeev, E. P., Winiwarter, W. & Amon, B. Greenhouse gas and ammonia emissions from different stages of liquid manure management chains: abatement options and emission interactions. J. Environ. Qual. 47, 30–41 (2018).
Wang, S. & Zeng, Y. Ammonia emission mitigation in food waste composting: a review. Bioresour. Technol. 248, 13–19 (2018).
Khwaja, M. A., Umer, F., Shaheen, N., Sherazi, A. & Shaheen, F. H. Air Pollution Reduction and Control in South Asia (Sustainable Development Policy Institute, 2012).
Council Directive 91/676/EEC of 12 December 1991 concerning the protection of waters against pollution caused by nitrates from agricultural sources. Off. J. Eur. Commun. 375, 1–8 (1991).
Holden, S. T. Fertilizer and sustainable intensification in Sub-Saharan Africa. Glob. Food Secur. 18, 20–26 (2018).
Colombo Declaration on Sustainable Nitrogen Management. UNEP https://www.unep.org/news-and-stories/press-release/colombo-declaration-calls-tackling-global-nitrogen-challenge (2019).
Lafortune, G., Fuller, G., Kloke-Lesch, A., Koundouri, P. & Riccaboni, A. European Elections, Europe’s Future and the SDGs: Europe Sustainable Development Report 2023/24 (SDSN and Dublin Univ. Press, 2024).
Lafortune, G. et al. Achieving the SDGs: Europe’s Compass in a Multipolar World: Europe Sustainable Development Report 2022 (SDSN, 2022).
Gu, B. & Zhang, X. The Coupled Human And Natural Systems (CHANS) Nitrogen Cycling Model. Software certificate number: 3733969 (2020).
GAINS 4.0 Online model (IIASA, 2023); http://www.iiasa.ac.at/
Hoesly, R. M. et al. Historical (1750-2014) anthropogenic emissions of reactive gases and aerosols from the Community Emissions Data System (CEDS). Geosci. Model Dev. 11, 369–408 (2018).
Crippa, M. et al. Insights into the spatial distribution of global, national, and subnational greenhouse gas emissions in the Emissions Database for Global Atmospheric Research (EDGAR v.8.0). Earth Syst. Sci. Data 16, 2811–2830 (2024).
Integrated model to assess the global environment (IMAGE) model documentation. PBL https://www.pbl.nl/en/image/home (2020).
Lord, E. I. & Anthony, S. G. MAGPIE: a modelling framework for evaluating nitrate losses at national and catchment scales. Soil Use Manag. 16, 167–174 (2000).
Food and Agriculture Projections to 2050 Data Portal; https://www.fao.org/global-perspectives-studies/food-agriculture-projections-to-2050/en/ (2024)
World Bank Income Classifications FY24 (World Bank, 2024).
International Fertilizer Association (IFA) Fertilizer Statistics Database (IFASTAT); https://www.ifastat.org/databases/plant-nutrition (2025)
World Energy Balances (International Energy Agency, 2025); https://www.iea.org/data-and-statistics/data-product/world-energy-balances
International Energy Agency Mobility Model (MoMo, 2018); https://iea.blob.core.windows.net/assets/imports/events/70/JacobTETERIEA.pdf (2024)
van der Werf, G. R. et al. Global fire emissions estimates during 1997–2016. Earth Syst. Sci. Data 9, 697–720 (2017).
Giglio, L., Boschetti, L., Roy, D. P., Humber, M. L. & Justice, C. O. MODIS Collection 6 Burned Area Product (MCD64A1) (NASA EOSDIS Land Processes DAAC, 2018).
Andersson, K., Rosemarin, A., Dickin, S. & Trimmer, C. Sanitation, Wastewater Management and Sustainability: From Waste Disposal to Resource Recovery 2nd edn (UNESCO, 2021); https://doi.org/10.34894/T8E8GZ
Xu, W. et al. Increasing importance of ammonia emission abatement in PM2.5 pollution control. Sci. Bull. 67, 1745–1749 (2022).
Brink, C. et al. in The European Nitrogen Assessment (eds Sutton, M. A. et al.) 513–540 (Cambridge Univ. Press, 2011).
Gu, B. et al. Cost-effective mitigation of nitrogen pollution from global croplands. Nature 613, 77–84 (2023).
Ma, R. et al. Data-driven estimates of fertilizer-induced soil NH3, NO and N2O emissions from croplands in China and their climate change impacts. Global Change Biol. 28, 1008–1022 (2022).
O’Neill, B. C. et al. The Scenario Model Intercomparison Project (ScenarioMIP) for CMIP6. Geosci. Model Dev. 9, 3461–3482 (2016).
Tebaldi, C. et al. Climate model projections from the scenario model intercomparison project (ScenarioMIP) of CMIP6. Earth Syst. Dynam. 12, 253–293 (2021).
Shared socioeconomic pathways (SSP) scenario database. IIASA https://data.ece.iiasa.ac.at/ssp/#/login?redirect=%2Fworkspaces (2024).
Mogollón, J. M. et al. Assessing future reactive nitrogen inputs into global croplands based on the shared socioeconomic pathways. Environ. Res. Lett. 13, 44008 (2018).
Riahi, K. et al. The Shared Socioeconomic Pathways and their energy, land use, and greenhouse gas emissions implications: an overview. Glob. Environ. Change 42, 153–168 (2017).
Acknowledgements
This study was supported by the National Natural Science Foundation of China (grant number 42325707 and 42261144001 to B.G. and grant number U24A20575 to X.Z.). This research contributes to project CN 02/2022 funded by Austria’s Agency for Education and Internationalization and the global analysis of the International Nitrogen Management System (INMS) funded by the Global Environment Facility (GEF) through the United Nations Environment Programme (UNEP). M.S. acknowledges national capability funding to UKCEH from the UK Natural Environment Research Council (NERC). X.Z. acknowledges grant agreement Project-101149335-SynCAN-HORIZON-MSCA-2023-PF-01 funded by the European Union.
Author information
Authors and Affiliations
Contributions
B.G. and X.Z. designed the study. X.Z. prepared and analysed the data. X.Z. and B.G. interpreted the results and wrote the first draft of the paper. Y.S. assisted with the data collection. Y.G. provided support for spatial visualization. M.S., H.G., W.W., S.Z. and S.L. provided important comments on the draft paper and edited the paper. All authors contributed to the discussion and revision of the paper.
Corresponding author
Ethics declarations
Competing interests
The authors declare no competing interests.
Peer review
Peer review information
Nature Sustainability thanks Frank Dentener and the other, anonymous, reviewer(s) for their contribution to the peer review of this work.
Additional information
Publisher’s note Springer Nature remains neutral with regard to jurisdictional claims in published maps and institutional affiliations.
Extended data
Extended Data Fig. 1 Research Framework.
This study adopts a comprehensive multi-model coupled assessment framework. Initially, a literature review and data collection were performed to get an overview of NH3 emission inventory and mitigation options, followed by a comparative analysis of several model outputs or datasets to validate the current global and regional NH3 emissions. Subsequently, the research evaluated mitigation measures across 7 sectors in 185 countries, utilizing the CHANS and GAINS models to assess their mitigation potential, implementation costs, and health, ecosystem, and climate impact. Marginal abatement cost curves for NH3 emissions across different regions/countries are generated to identify the cost-effective strategies for each. The final phase involved an examination of the varied future NH3 emission trajectories, alongside their societal costs and benefits, under four Shared Socioeconomic Pathways–Representative Concentration Pathways (SSP-RCP) scenarios, spanning from 2020 to 2050. Credit: World map, flat curve graph and computer icons from SVG SiLH (svgsilh.com) under a Creative Commons license CC0 1.0.
Extended Data Fig. 2 Classification of NH3 mitigation options.
NH3-targeted options are designed to reduce NH3 emissions as their primary goal, co-benefit options are primarily targeted other objectives (for example, climate mitigation, water quality, health) but also reduce NH3 as a co-benefit. Technological options directly rely on the use of physical technologies, infrastructure, or engineered systems to reduce NH3 emissions. Non-tech options depend on changes in human behavior, management practices, policy frameworks, or institutional support, without necessarily requiring new physical technologies. Detailed descriptions of mitigation options could be found in supplementary Table 3-5.
Extended Data Fig. 3 NH3 emission change (%) in 2050 compared to 2020 level under different SSP/RCP scenarios.
a, b, c, d represents the relative changes (%) of NH3 emissions from 2020 to 2050 under SSP1_1.9, SSP2_4.5, SSP3_7.0, and SSP5_8.5, respectively. Basemaps are sourced from GADM (https://gadm.org/).
Extended Data Fig. 4 Spatial distributions of NH3 mitigation cost ($ per capita) in 2050 under SSP/RCP scenarios.
a, b, c, d represent the distribution of implementation cost for NH3 mitigation under SSP1_1.9, SSP2_4.5, SSP3_7.0, and SSP5_8.5, respectively. Basemaps are sourced from GADM (https://gadm.org/).
Extended Data Fig. 5 Monetized impact of NH3 emissions ($ per capita) in 2050 under SSP/RCP scenarios.
a, b, c, d represent the distribution of the net monetized impact of NH3 emissions under SSP1_1.9, SSP2_4.5, SSP3_7.0, and SSP5_8.5, respectively. Basemaps are sourced from GADM (https://gadm.org/).
Extended Data Fig. 6 Regional costs and benefits of NH3 mitigation in 2050 under SSP/RCP scenarios.
a, b, c, and d represent the regional impact assessment under SSP1_1.9, SSP2_4.5, SSP3_7.0 and SSP5_8.5, respectively; e, f, g, and h represent the regional shares of implementation cost and monetized impact under SSP1_1.9, SSP2_4.5, SSP3_7.0, and SSP5_8.5, respectively. Net benefits are presented as white diamonds (means) ± 95% confidence intervals, based on 1000 monte carlo simulations; negative value of impact denotes the damage cost.
Extended Data Fig. 7 Sectoral costs and benefits of NH3 mitigation in 2050 under SSP/RCP scenarios.
a, b, c, and d represent the sectoral cost and impact assessment under SSP1_1.9, SSP2_4.5, SSP3_7.0 and SSP5_8.5, respectively; e, f, g, and h represent the sectoral shares of implementation cost and monetized impact under SSP1_1.9, SSP2_4.5, SSP3_7.0, and SSP5_8.5, respectively.Net benefits are presented as white diamonds (means) ± 95% confidence intervals, based on 1000 monte carlo simulations; negative value of impact denotes the damage cost.
Supplementary information
Supplementary Information (download PDF )
Supplementary Methods, Figs. 1–20, Tables 1–10 and Discussion.
Supplementary Data 1 (download XLSX )
This supplementary data provides key cost parameters; detailed description of NH3 mitigation options, agricultural NH3 unit cost data from GAINS and regional NH3 environmental impact (ecosystem, health and climate) parameters in base year 2020.
Source data
Source Data Fig. 1 (download XLSX )
Statistical source data.
Source Data Fig. 2 (download XLSX )
Statistical source data.
Source Data Fig. 3 (download XLSX )
Statistical source data.
Source Data Fig. 4 (download XLSX )
Statistical source data.
Source Data Fig. 5 (download XLSX )
Statistical source data.
Source Data Extended Data Fig. 2 (download XLSX )
Statistical source data.
Source Data Extended Data Fig. 3 (download XLSX )
Statistical source data.
Source Data Extended Data Fig. 4 (download XLSX )
Statistical source data.
Source Data Extended Data Fig. 5 (download XLSX )
Statistical source data.
Source Data Extended Data Fig. 6 (download XLSX )
Statistical source data.
Source Data Extended Data Fig. 7 (download XLSX )
Statistical source data.
Rights and permissions
Open Access This article is licensed under a Creative Commons Attribution-NonCommercial-NoDerivatives 4.0 International License, which permits any non-commercial use, sharing, distribution and reproduction in any medium or format, as long as you give appropriate credit to the original author(s) and the source, provide a link to the Creative Commons licence, and indicate if you modified the licensed material. You do not have permission under this licence to share adapted material derived from this article or parts of it. The images or other third party material in this article are included in the article’s Creative Commons licence, unless indicated otherwise in a credit line to the material. If material is not included in the article’s Creative Commons licence and your intended use is not permitted by statutory regulation or exceeds the permitted use, you will need to obtain permission directly from the copyright holder. To view a copy of this licence, visit http://creativecommons.org/licenses/by-nc-nd/4.0/.
About this article
Cite this article
Zhang, X., Sun, Y., Gao, Y. et al. Halving global ammonia emissions with cost-effective measures. Nat Sustain 9, 247–259 (2026). https://doi.org/10.1038/s41893-025-01723-5
Received:
Accepted:
Published:
Version of record:
Issue date:
DOI: https://doi.org/10.1038/s41893-025-01723-5








