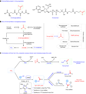
Abstract
S-formylation of thiols is achieved via an enzymatic process catalysed by formate dehydrogenase enzyme that fixes CO2 onto substrates, which plays a crucial role in regulating important biological pathways in living organisms. The achievement of this reactivity through a chemical approach could also be advantageous, which would allow the fixation of CO2 on a diverse range of thiols. Here we demonstrate a chemical process to prepare S-formyl thiols from CO2 using a mesoionic N-heterocyclic olefin under metal-free conditions. This catalytic reaction is used to diversify a variety of biologically active thiols obtained from natural terpenoids, fatty alcohols, antioxidants, and commercially accessible analgesic and anti-inflammatory medication molecules, as well as preparation of 13C-labelled formyl coenzyme A. Furthermore, we establish a one-pot S-formylation-olefination process for the synthesis of vinyl sulfides under completely metal-free conditions in the presence of CO2. Overall, this study provides a platform to transform thiols and CO2 into value-added products.

This is a preview of subscription content, access via your institution
Access options
Access Nature and 54 other Nature Portfolio journals
Get Nature+, our best-value online-access subscription
$32.99 / 30 days
cancel any time
Subscribe to this journal
Receive 12 digital issues and online access to articles
$119.00 per year
only $9.92 per issue
Buy this article
- Purchase on SpringerLink
- Instant access to the full article PDF.
USD 39.95
Prices may be subject to local taxes which are calculated during checkout







Similar content being viewed by others
Data availability
All the data generated in this study are available within the main text and Supplementary Information. Data are also available from the corresponding author upon request. Crystallographic data for structure 2 reported in this article have been deposited at the Cambridge Crystallographic Data Centre, under deposition number CCDC 2244147. Copies of the data can be obtained free of charge via https://www.ccdc.cam.ac.uk/structures/.
References
Lee, S., Chen, M., Yang, W. & Richards, N. G. J. Sampling long time scale protein motions: OSRW simulation of active site loop conformational free energies in formyl-CoA:oxalate CoA transferase. J. Am. Chem. Soc. 132, 7252–7253 (2010).
Mullins, E. A. et al. Formyl-coenzyme A (CoA): oxalate CoA-transferase from the acidophile Acetobacter aceti has a distinctive electrostatic surface and inherent acid stability. Protein Sci. 21, 686–696 (2012).
Sly, W. S. & Stadtman, E. R. Formate Metabolism: formyl coenzyme A, an intermediate in the formate-dependent decomposition of acetyl phosphate in Clostridium kluyveri. J. Biol. Chem. 238, 2632–2638 (1963).
Kullin, B. et al. A functional analysis of the formyl-coenzyme A (frc) gene from Lactobacillus reuteri 100-23C. J. Appl. Microbiol. 116, 1657–1667 (2014).
Legler, P. M., Kumaran, D., Swaminathan, S., Studier, F. W. & Millard, C. B. Structural characterization and reversal of the natural organophosphate resistance of a D-type esterase, Saccharomyces cerevisiae S-formylglutathione hydrolase. Biochemistry 47, 9592–9601 (2008).
Koivusalo, M., Lapatto, R. & Uotila, L. Enzymology and Molecular Biology of Carbonyl Metabolism 5. Advances in Experimental Medicine and Biology Vol. 372 (Springer, 1995).
Wu, J.-L. et al. Brain metabolomic profiling of eastern honey bee (Apis cerana) infested with the mite Varroa destructor. PLoS ONE 12, e0175573 (2017).
Uotila, L. & Koivusalo, M. Purification and properties of S-formylglutathione hydrolase from human liver. J. Biol. Chem. 249, 7664–7672 (1974).
Neben, I., Sahm, H. & Kula, M.-R. Studies on an enzyme, S-formylglutathione hydrolase, of the dissimilatory pathway of methanol in Candida boidinii. Biochim. Biophys. Acta 614, 81–91 (1980).
Shaw, W. H., Arioli, T. & Plazinski, J. Cloning and sequencing of a S-formylglutathione hydrolase gene from the cyanobacterium Anabaena azollae. Plant Physiol. Plant Gene Register 116, 868–869 (1998).
Harms, N., Ras, J., Reijnders, W. N. M., van Spanning, R. J. M. & Stouthamer, A. H. S-formylglutathione hydrolase of Paracoccus denitrificans is homologous to human esterase D: a universal pathway for formaldehyde detoxification? J. Bacteriol. 178, 6296–6299 (1996).
Haslam, R., Rust, S., Pallett, K., Cole, D. & Coleman, J. Cloning and characterisation of S-formylglutathione hydrolase from Arabidopsis thaliana: a pathway for formaldehyde detoxification. Plant Physiol. Biochem. 40, 281–288 (2002).
Bar-Even, A. Formate assimilation: the metabolic architecture of natural and synthetic pathways. Biochemistry 55, 3851–3863 (2016).
Bang, J. et al. Synthetic formatotrophs for one-carbon biorefinery. Adv. Sci. 8, 2100199 (2021).
Siegel, J. B. et al. Computational protein design enables a novel one-carbon assimilation pathway. Proc. Natl Acad. Sci. USA 112, 3704–3709 (2015).
Wang, J., Anderson, K., Yang, E., He, L. & Lidstrom, M. E. Enzyme engineering and in vivo testing of a formate reduction pathway. Synth. Biol. 6, 1–14 (2021).
Calzadiaz-Ramirez, L. & Meyer, A. S. Formate dehydrogenases for CO2 utilization. Curr. Opin. Biotechnol. 73, 95–100 (2022).
Maia, L. B., Moura, J. J. G. & Moura, I. Molybdenum and tungsten-dependent formate dehydrogenases. J. Biol. Inorg. Chem. 20, 287–309 (2015).
Hansmann, M. M., Antoni, P. W. & Pesch, H. Stable mesoionic N-heterocyclic olefins (mNHOs). Angew. Chem. Int. Ed. 59, 5782–5787 (2020).
Antoni, P. W., Golz, C., Holstein, J. J., Pantazis, D. A. & Hansmann, M. M. Isolation and reactivity of an elusive diazoalkene. Nat. Chem. 13, 587–593 (2021).
Maji, S., Das, A. & Mandal, S. K. Mesoionic N-heterocyclic olefin catalysed reductive functionalization of CO2 for consecutive N-methylation of amines. Chem. Sci. 12, 12174–12180 (2021).
Liang, Q. & Song, D. Recent advances of mesoionic N-heterocyclic olefins. Dalton Trans. 51, 9191–9198 (2022).
Aldeco-Perez, E. et al. Isolation of a C5-deprotonated imidazolium, a crystalline ‘abnormal’ N-heterocyclic carbene. Science 326, 556–559 (2009).
Sau, S. C., Hota, P. K., Mandal, S. K., Soleilhavoup, M. & Bertrand, G. Stable abnormal N-heterocyclic carbenes and their applications. Chem. Soc. Rev. 49, 1233–1252 (2020).
Bartholomew, C. H., Agrawal, P. K. & Katzer, J. R. in Advances in Catalysis Vol. 31 (eds Eley, D. D., Pines, H. & Weisz, P. B.) 135–242 (Academic Press, 1982).
Dunleavy, J. Sulfur as a catalyst poison. Platin. Met. Rev. 50, 110 (2006).
Zhou, Z.-G. et al. Integration of CO2 capture, activation, and conversion with a ternary acetylglucosyl 2-methyl-imidazolium modified Pd catalyst. Org. Chem. Front. 10, 2045–2053 (2023).
Wang, Y.-B., Wang, Y.-M., Zhang, W.-Z. & Lu, X.-B. Fast CO2 sequestration, activation, and catalytic transformation using N-heterocyclic olefins. J. Am. Chem. Soc. 135, 11996–12003 (2013).
Glockler, G. Carbon–oxygen bond energies and bond distances. J. Phys. Chem. 62, 1049–1054 (1958).
Jacquet, O., Gomes, C. D. N., Ephritikhine, M. & Cantat, T. Recycling of carbon and silicon wastes: room temperature formylation of N–H bonds using carbon dioxide and polymethylhydrosiloxane. J. Am. Chem. Soc. 134, 2934–2937 (2012).
Hota, P. K., Sau, S. C. & Mandal, S. K. Metal-free catalytic formylation of amides using CO2 under ambient conditions. ACS Catal. 8, 11999–12003 (2018).
Sanchez, S., Bateson, J. H., O’Hanlon, P. J. & Gallagher, T. S-alkyl dithioformates as 1,3 dipolarophiles. Generation of C2-unsubstituted penems. Org. Lett. 6, 2781–2783 (2004).
Babin, V., Taran, F. & Audisio, D. Late-stage carbon-14 labeling and isotope exchange: emerging opportunities and future challenges. JACS Au 2, 1234–1251 (2022).
Pirali, T., Serafini, M., Cargnin, S. & Genazzani, A. A. Applications of deuterium in medicinal chemistry. J. Med. Chem. 62, 5276–5297 (2019).
Fernandez-Salas, J. A., Manzini, S. & Nolan, S. P. Efficient ruthenium-catalysed S–S, S–Si and S–B bond forming reactions. Chem. Commun. 49, 5829–5831 (2013).
Bołt, M. & ŻaK, P. Application of bulky NHC–rhodium complexes in efficient S–Si and S–S bond forming reactions. Inorg. Chem. 60, 17579–17585 (2021).
Kucinski, K. & Hreczycho, G. Catalytic formation of silicon–heteroatom (N, P, O, S) bonds. ChemCatChem 9, 1868–1885 (2017).
Bratz, M., Bullock, W. H., Overman, L. E. & Takemoto, T. Total synthesis of (+)-laurencin. Use of acetal-vinyl sulfide cyclizations for forming highly functionalized eight-membered cyclic ethers. J. Am. Chem. Soc. 117, 5958–5966 (1995).
Narasaka, K., Hayashi, Y., Shimadzu, H. & Niihata, S. Asymmetric [2 + 2] cycloaddition reaction catalyzed by a chiral titanium reagent. J. Am. Chem. Soc. 114, 8869 (1992).
Beletskaya, I. P. & Ananikov, V. P. Transition-metal-catalyzed C–S, C–Se, and C–Te bond formation via cross-coupling and atom-economic addition reaction. Chem. Rev. 111, 1596–1636 (2011).
Sasmal, P. K. & Maier, M. E. Formation of bicyclic ethers from Lewis acid promoted cyclizations of cyclic oxonium ions. Org. Lett. 4, 1271–1274 (2002).
Feldman, K. S. & Skoumbourdis, A. P. Regioselective ring-opening/cross-metathesis reactions of norbornene derivatives with electron-rich olefins. Org. Lett. 7, 131–134 (2005).
Liu, Z. et al. Thio-Claisen rearrangement used in preparing anti-β-functionalized γ,δ-unsaturated amino acids: scope and limitations. J. Org. Chem. 77, 1289–1300 (2012).
Meng, D., Chen, W. & Zhao, W. Sulfur-containing spiroketal glycosides from Breynia fruticose. J. Nat. Prod. 70, 824–829 (2007).
Szilágyi, A. et al. Synthesis and cytotoxicity of leinamycin antibiotic analogues. J. Med. Chem. 49, 5626–5630 (2006).
Kausar, A., Zulfiqar, S. & Sarwar, M. I. Recent developments in sulfur-containing polymers. Polym. Rev. 54, 185–267 (2014).
Scharf, D. H., Habel, A., Heinekamp, T., Brakhage, A. A. & Hertweck, C. Opposed effects of enzymatic gliotoxin N- and S-methylations. J. Am. Chem. Soc. 136, 11674–11679 (2014).
Beletskaya, I. P. & Ananikov, V. P. Transition-metal-catalyzed C–S, C–Se, and C–Te bond formations via cross-coupling and atom-economic addition reactions. achievements and challenges. Chem. Rev. 122, 16110–16293 (2022).
Kuniyasu, H. et al. The first example of transition-metal-catalyzed addition of aromatic thiols to acetylenes. J. Am. Chem. Soc. 114, 5902–5903 (1992).
Castarlenas, R., Giuseppe, A. D., Pérez-Torrente, J. J. & Oro, L. A. The emergence of transition-metal-mediated hydrothiolation of unsaturated carbon–carbon bonds: a mechanistic outlook. Angew. Chem. Int. Ed. 52, 211–222 (2013).
Di Giuseppe, A. et al. Ligand-controlled regioselectivity in the hydrothiolation of alkynes by rhodium N-heterocyclic carbene catalysts. J. Am. Chem. Soc. 134, 8171–8183 (2012).
Wittig, G. & Schllkopf, U. Über Triphenyl-PhosphinMethylene als Olefinbildende Reagenzien (I. Mitteil.). Chem. Ber. 87, 1318–1330 (1954).
Hoffmann, R. W. Wittig and his accomplishments: still relevant beyond his 100th birthday. Angew. Chem. Int. Ed. 40, 1411–1416 (2001).
Ahmadi, R. & Emami, S. Recent applications of vinyl sulfone motif in drug design and discovery. Eur. J. Med. Chem. 234, 114255 (2022).
Ledovskaya, M. S., Voronin, V. V., Rodygina, K. S. & Ananikov, V. P. Efficient labelling of organic molecules using 13C elemental carbon: universal access to 13C2-labeled synthetic building blocks, polymers and pharmaceuticals. Org. Chem. Front. 7, 638–647 (2020).
Whaley, T. W. & Ott, D. G. Syntheses with stable isotopes: acetylene-13C2 and lithium acetylide-13C2 ethylenediamine complex. J. Label. Compd Radiopharm. 10, 461–468 (1974).
Acknowledgements
S.K.M. thanks the SERB (DST), India (grant no. CRG/2022/000471). S.M. thanks the CSIR, India for a research fellowship (09/921(0233)/2019-EMR-I). A.D. thanks the IISER Kolkata for a research fellowship.
Author information
Authors and Affiliations
Contributions
S.K.M. and S.M. conceived the idea of this work. S.M. carried out all synthetic and catalytic experiments. A.D. contributed to crystallization and X-ray structure determination. M.M.B. carried out the experiments for thiol synthesis. S.K.M. supervised the overall work. The manuscript was written through the contributions of all authors. All authors have given approval for the final version of the manuscript.
Corresponding author
Ethics declarations
Competing interests
The authors declare no competing interests.
Peer review
Peer review information
Nature Catalysis thanks Vania Andre and the other, anonymous, reviewer(s) for their contribution to the peer review of this work.
Additional information
Publisher’s note Springer Nature remains neutral with regard to jurisdictional claims in published maps and institutional affiliations.
Supplementary information
Supplementary Information
Supplementary methods, Figs. 1–206 and references.
Supplementary Data 1
CIF file of the crystal structure of compound 2.
Supplementary Data 2
Check CIF file of the crystal structure of compound 2.
Rights and permissions
Springer Nature or its licensor (e.g. a society or other partner) holds exclusive rights to this article under a publishing agreement with the author(s) or other rightsholder(s); author self-archiving of the accepted manuscript version of this article is solely governed by the terms of such publishing agreement and applicable law.
About this article
Cite this article
Maji, S., Das, A., Bhatt, M.M. et al. Metal-free organocatalytic S-formylation of thiols using CO2. Nat Catal 7, 375–385 (2024). https://doi.org/10.1038/s41929-024-01114-7
Received:
Accepted:
Published:
Version of record:
Issue date:
DOI: https://doi.org/10.1038/s41929-024-01114-7


