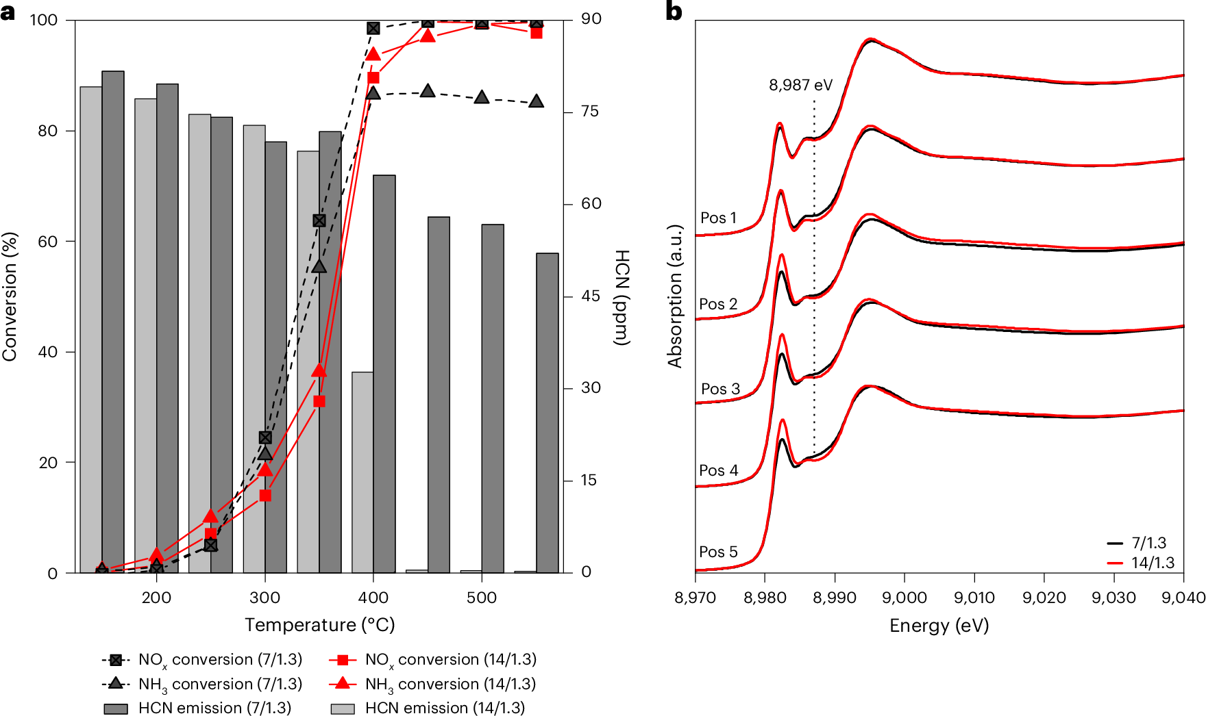
Fig. 4: Influence of HCN on NH3-SCR activity and catalyst structure.

a, Conversion of NOx (dashed lines) and NH3 (solid lines) in the presence of HCN for Cu-SSZ-13 (7/1.3) (black lines) and Cu-SSZ-13 (14/1.3) (red lines) during NH3-SCR of NOx. b, Spatially resolved operando XANES measurements at the Cu K edge for Cu-SSZ-13 (7/1.3) (black lines) and Cu-SSZ-13 (14/1.3) (red lines) during steady-state SCR conditions in the presence of HCN at 300 °C. Position 1 was towards the inlet of the capillary reactor and position 5 was towards the outlet. The gas composition was 350 ppm NO, 350 ppm NH3, 100 ppm HCN, 0.5% H2O and 10% O2 in He.