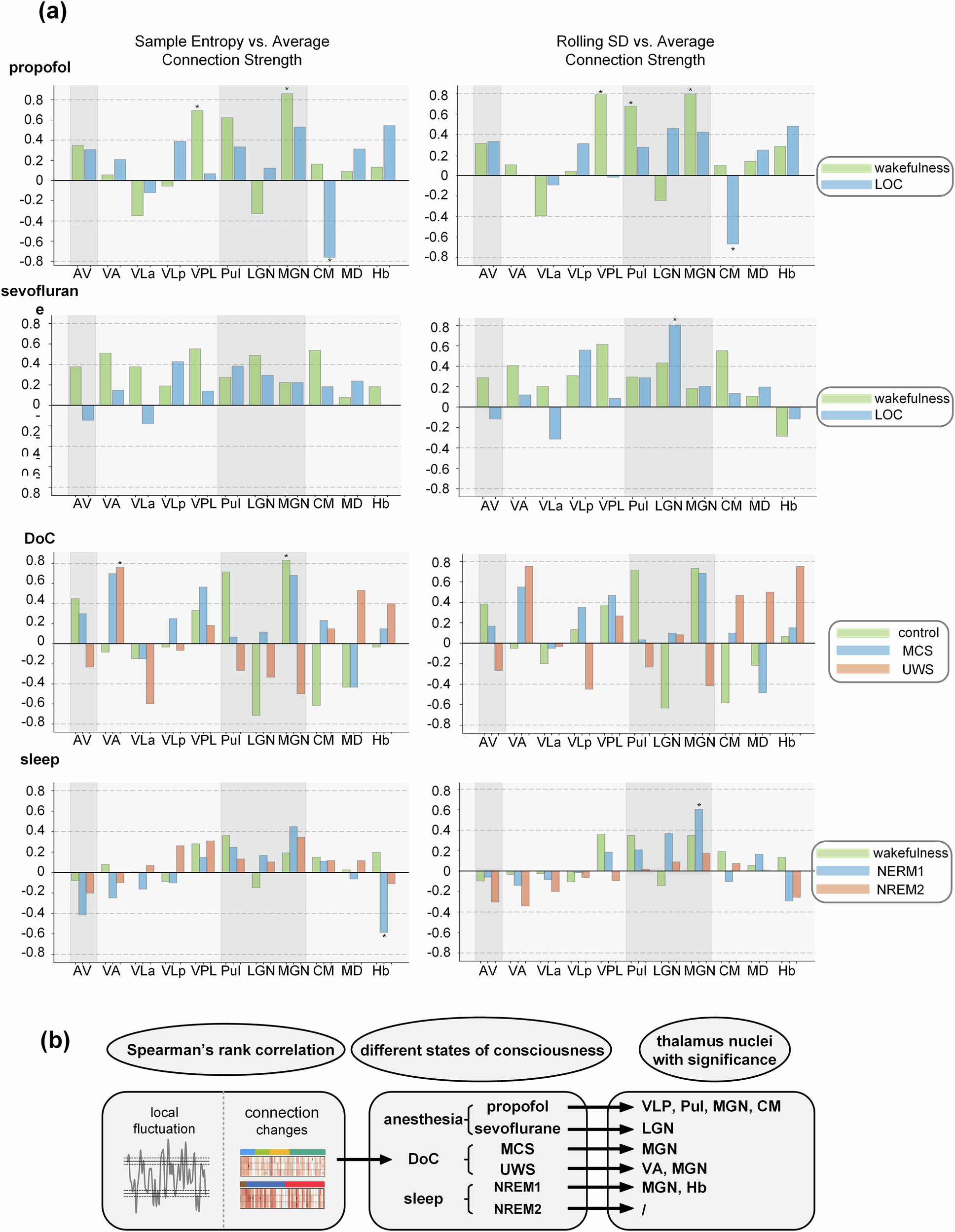
Fig. 6: Correlation of local fluctuations and average connection strength across thalamic nuclei.

a Correlation of sample entropy and average connectivity strength (left) and correlation of rolling SD and average connectivity strength (right). Shaded regions demarcate distinct nuclear groups (anterior, lateral, posterior, and medial groups). Asterisks indicate significant changes in thalamic regions where FDR-corrected p < 0.05 for the corresponding correlation coefficient. b Integration of thalamic nuclei with statistically significant correlation coefficients between local fluctuations and average connectivity strength across different consciousness states. The forward slash (/) indicates that no significant activation was detected in any thalamic nuclei.