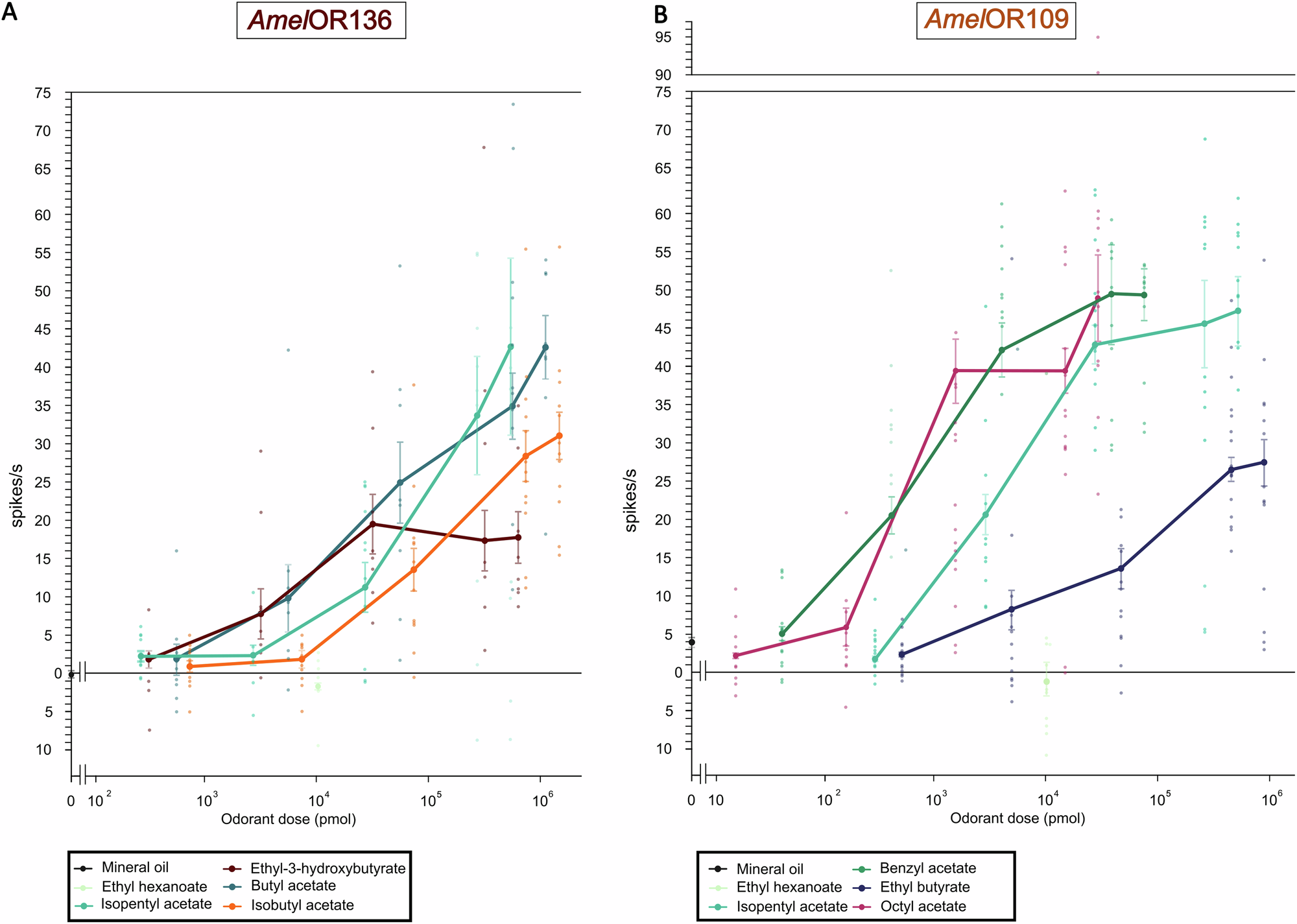
Fig. 5: Dose-response curves for AmelOR136 and AmelOR109 for 4 compounds.

Mean response of AmelOR136 (A, n = 13) and AmelOR109 (B, n = 15), in spikes per second. Five different doses of each compound were applied: 1, 10, 100, 1000, and 2000 μg. In order to compare these compounds with different volatilities, the airborne amount of each odorant (in pmol) was calculated using the guidelines in Andersson et al.39 (see methods). Responses to mineral oil and ethyl hexanoate (the ligand of DmelOR22a, to ensure that this receptor is not expressed - in light green) are shown as controls.