Fig. 6
From: Mixed valence salts based on carbon-centered neutral radical crystals

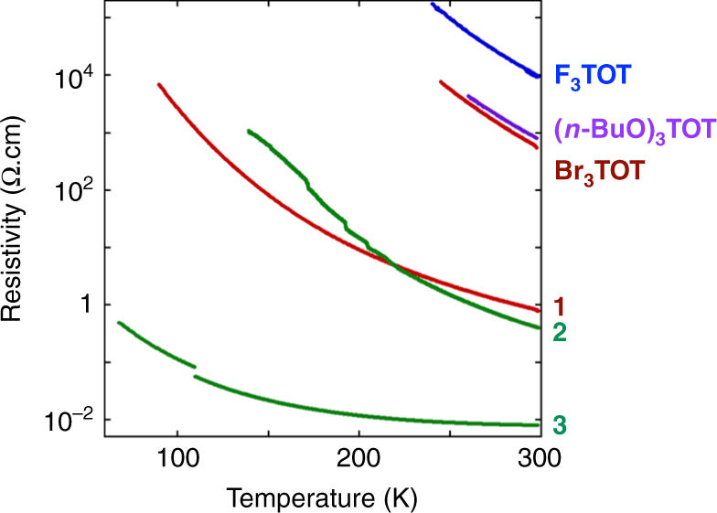
Temperature dependences of resistivities of TOT derivatives and MV salts. Measurement were performed for single crystals (I//π-stacking direction). MV salts showed much lower resistivities than those of TOT neutral radicals