Fig. 3

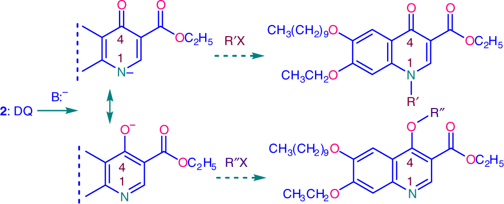
Regiochemistry of reactions of the pyridone anion. Deprotonation of the 4-pyridone system in DQ 2 generates the pyridone anion that as an ambident nucleophile may react through N-1 or O-4. For SN2-reactive electrophiles 1° alkyl halides R′X, lower activation free energies are associated with reaction through N-1 leading to the N-1-alkyl 4-pyridone (ref. 41). However, O-alkylation is preferred for SN1-reactive electrophiles, and carbonyl electrophiles, e.g. acyl halides, that react via addition-elimination (R″X = activated alkyl or acyl halide)