Fig. 2
From: Selective prebiotic synthesis of phosphoroaminonitriles and aminothioamides in neutral water

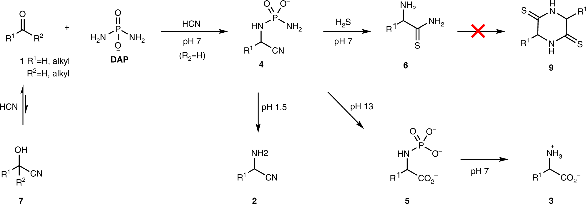
Phosphoro-Strecker reaction. N-Phosphoro-aminonitriles (4) are synthesised from aldehydes (1) (R1 = alkyl or H, R2 = H), HCN and diamidophosphate (DAP) in excellent yields at pH 7. Ketones (1) (R1 ≠ H, R2 ≠ H) give α,α-disubstituted N-phosphoro-aminonitriles (4) (R2 ≠ H) in low yields alongside their respective cyanohydrins (7). N-Phosphoro-aminonitriles (4) afford their respective aminonitriles (2) upon acid hydrolysis, N-phosphoro amino acids (5) upon alkaline hydrolysis, and thioamides (6) upon thiolysis at neutral pH. See Table 1 for reaction conditions and yields