Fig. 1

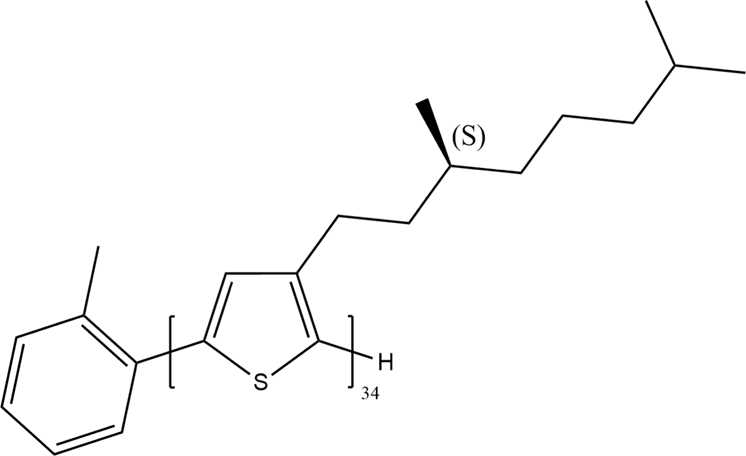
Structure of regioregular poly(3-(3(S),7-dimethyl)thiophene). The used poly(3-alkylthiophene) consists of 34 monomeric units and has a dispersity of 1.1

Structure of regioregular poly(3-(3(S),7-dimethyl)thiophene). The used poly(3-alkylthiophene) consists of 34 monomeric units and has a dispersity of 1.1