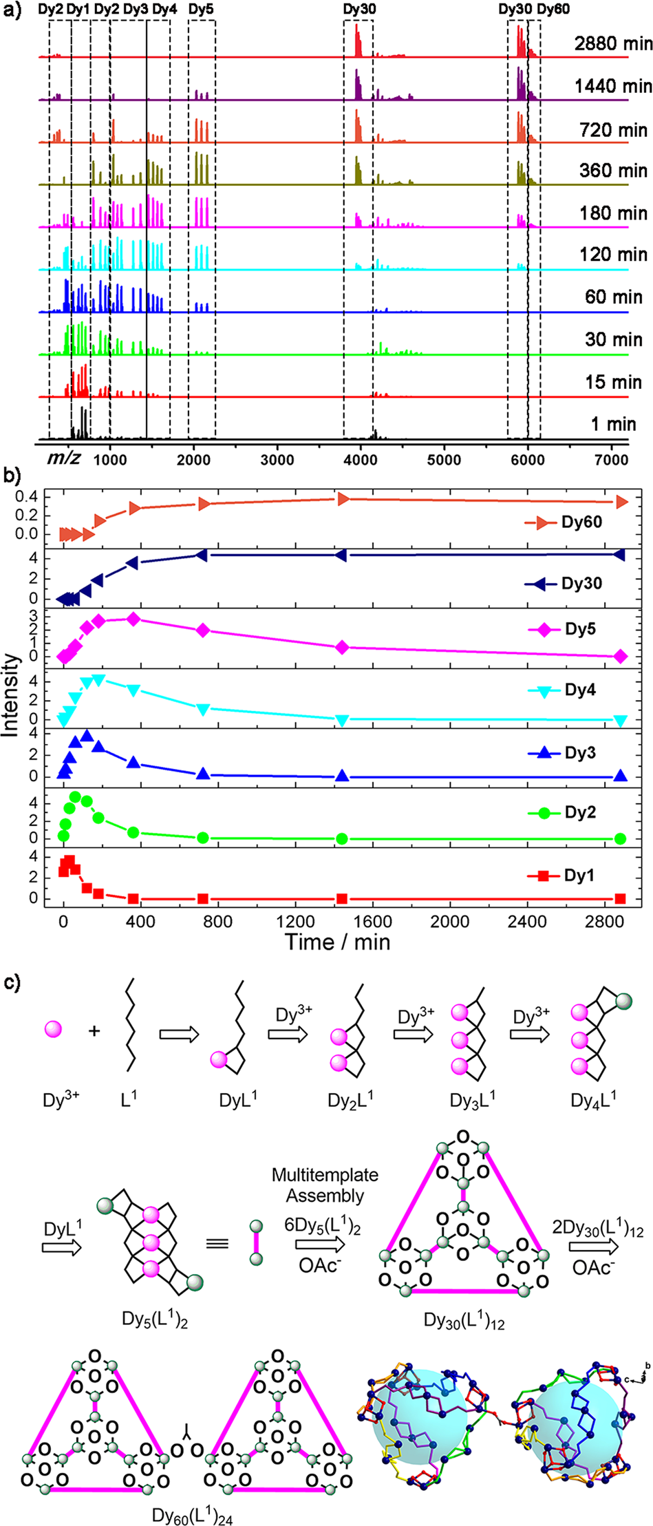
Fig. 3: Assembly mechanism analysis of Dy60.

a Time-dependent assembly of cage-shaped Dy60 in cationic mode. b HRESI-MS spectra intensity–time profiles of the species in the assembly. c Possible assembly mechanism for Dy60.

a Time-dependent assembly of cage-shaped Dy60 in cationic mode. b HRESI-MS spectra intensity–time profiles of the species in the assembly. c Possible assembly mechanism for Dy60.