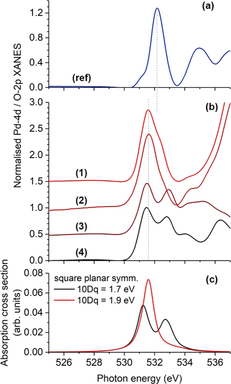
Fig. 5: Soft X-ray absorption near edge structures of Pd.

Normalized experimental a, b and simulated c X-ray absorption near edge structure around the Pd M3 edge of [PdCl4]2− (ref), CoPd12P8 (1), FePd12P8 (2), FePd12(PhAs)8 (3), and PdPd12As8 (4). Step-like functions have been subtracted from experimental data accounting for electron excitations into higher unoccupied states than Pd 4d or O 2p, respectively.