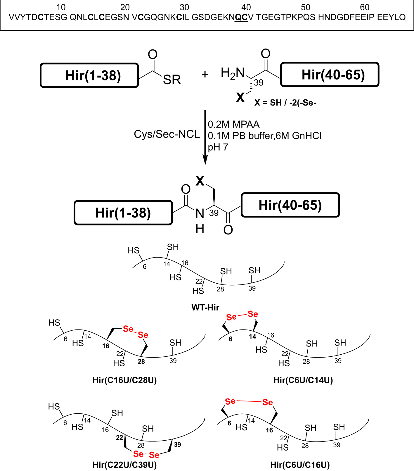
Fig. 2: Chemical synthesis of WT-Hir and its seleno-analogues.
From: Diselenide crosslinks for enhanced and simplified oxidative protein folding

The WT-Hir, Hir(C6U/C14U), Hir(C16U/C28U), Hir(C22U/C39U) and Hir(C6U/C16U) have been produced by native chemical ligation (NCL) reactions. The amino acid sequence of WT-Hir is also shown. The ligation site is indicated in bold/underlined letters, while the Cys residues are marked in bold.