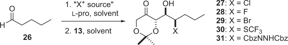
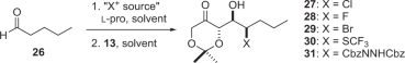
Table 1 α-Functionalization/aldol reactions with pentanal and dioxanone 13.

From: Diversity-oriented synthesis of glycomimetics

View full size image

Entry

X+

Solvent

dra

%ee

Yieldb

1c

NCS

CH2Cl2

6:1

94

72

2d, e

NCS

CH2Cl2:DMF

2.2:1

ND

ND

3d, e

NFSI

CH2Cl2:DMF

15:1

96

61

4d, e, f

NBS

CH2Cl2:DMF

1.7:1

ND

17

5g

PhthN-SCF3

CH2Cl2:DMSO

6:1

91

52

6h

CbzNNCbz

MeNO2

3:1

98

45

  1. aDiastereomeric ratio determined by 1H NMR spectroscopic analysis of crude reaction mixture.
  2. b% isolated yield of diastereomer shown.
  3. cPentanal (1.0 equiv), L-pro (0.8 equiv), NCS (1.05 equiv), 13 (1.05 equiv), CH2Cl2, rt, 24 h.
  4. dPentanal (1.5 equiv.), L-pro (1.5 equiv), X+ source (1.5 equiv), NaHCO3 (1.5 equiv.), DMF (0.75 M), 1.5 h, −10 °C then add 13 (1.0 equiv) in CH2Cl2, rt, 48 h.
  5. eCH2Cl2-DMF = 9:1.
  6. frt, 60 h.
  7. gPentanal (2.0 equiv.), L-pro (2.0 equiv), PhthN-SCF3 (2.0 equiv), NaHCO3 (2.0 equiv.), DMSO (0.75 M), 1.25 h, rt then add 13 (1.0 equiv.) in CH2Cl2, rt, 48 h (CH2Cl2-DMSO = 5:1).
  8. hPentanal (1.1 equiv.), L-Pro (0.8 equiv), CbzNNCbz (1.0 equiv), MeNO2 (0.50 M), rt then add 13 (2.0 equiv), rt, 48 h.