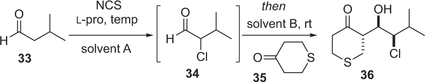
Table 2 Optimization of α-chlorination/aldol with 35.

From: Diversity-oriented synthesis of glycomimetics

View full size image

Entry

Additive

Temp (°C)

Solv. A

Solv. B

dra

Yieldb

1

None

RT

CH2Cl2

None

N.D.

<5%

2

None

RT

DMSO

None

N.D.

0%

3

None

0

CH2Cl2

None

N.D.

<5%

4c

None

0

CH2Cl2

DMSO

10:1

38%

5c

H2Od

0

CH2Cl2

DMSO

10:1

45%e

  1. aDiastereomeric ratio determined by 1H NMR spectroscopic analysis of crude reaction mixture (stereochemistry of minor diastereomer not assigned).
  2. b% isolated yield of 36.
  3. cCH2Cl2:DMSO = 9:1.
  4. dH2O (1.0 vol%) was added.
  5. eEnantiomeric excess = 94%.