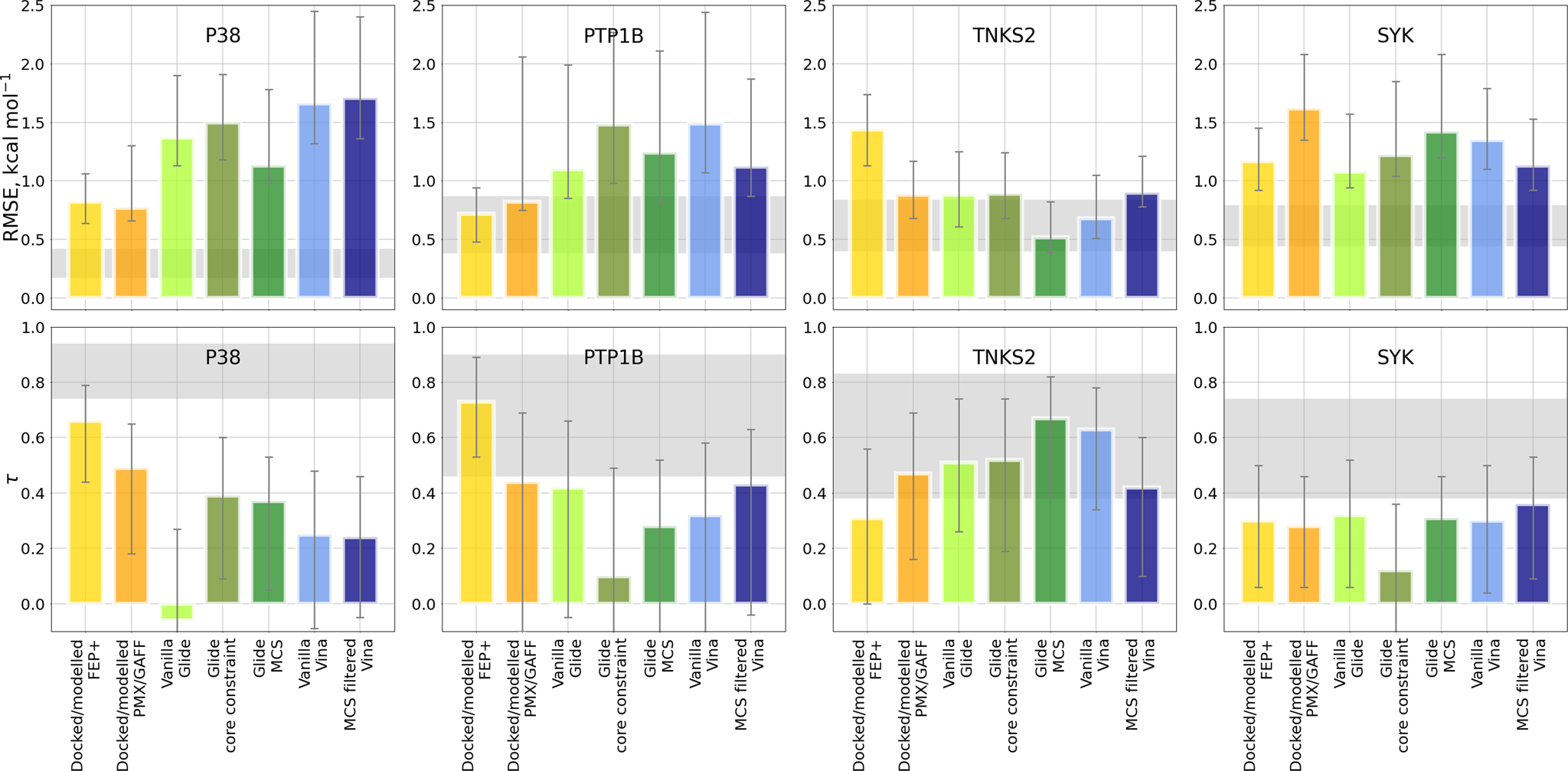
Fig. 5: RMSE and Kendall’s τ for each docking method on each of the four tested systems.
From: Automated relative binding free energy calculations from SMILES to ΔΔG

Shaded regions represent 95% confidence intervals for RMSE and τ of the experimentally measured values based on the experimental uncertainty. For the cases where experimental uncertainty was not available (PTP1B, TNKS2, SYK), a lower bound for uncertainty of 0.43 kcal mol−1 as suggested by the best practices was used47. Error bars denote 95% confidence intervals for the calculated values.