Fig. 5: Cluster analysis on test products based on similarities of their predicted reactions.
From: G2Retro as a two-step graph generative models for retrosynthesis prediction

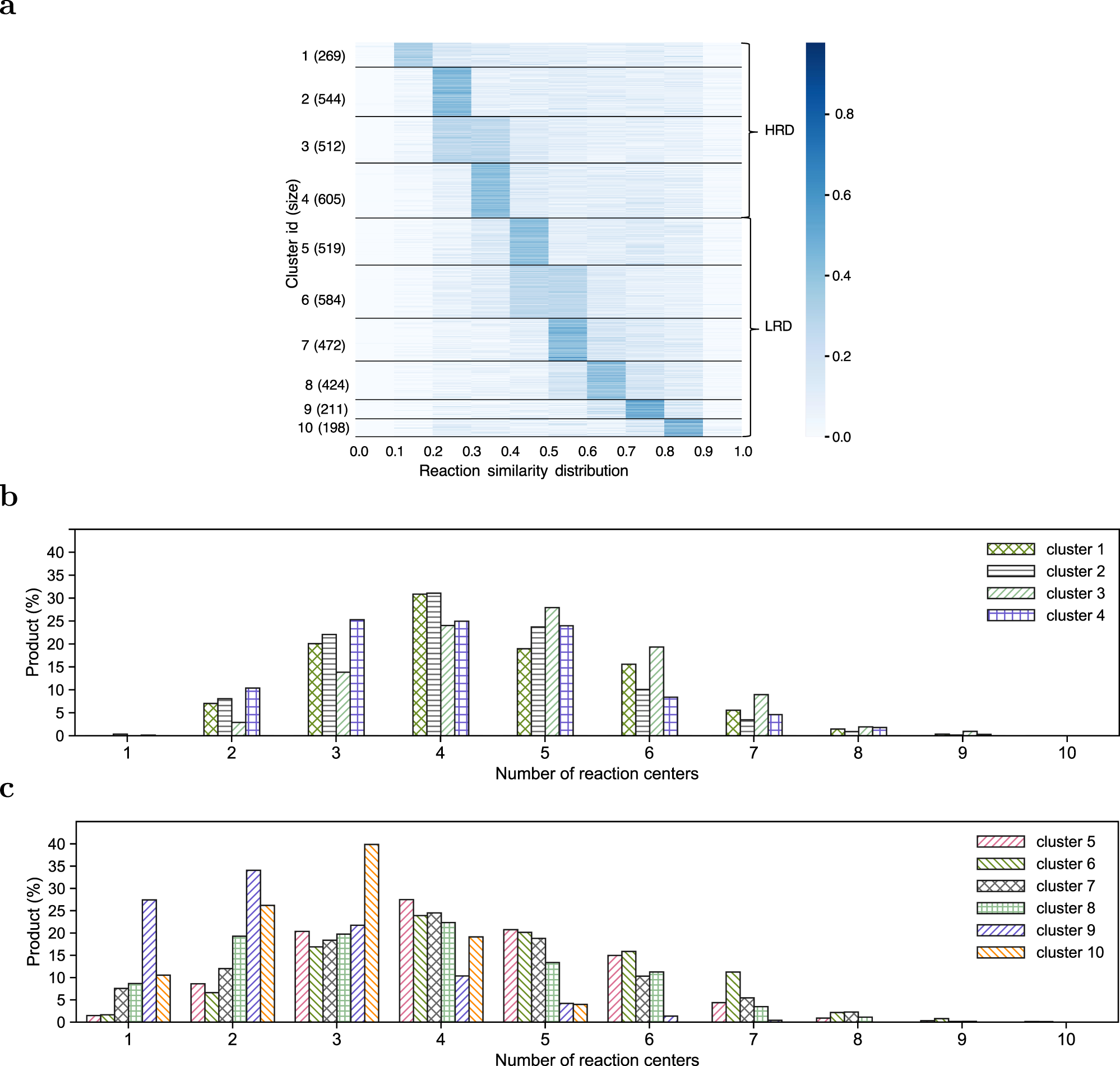
a Clustering on test products based on similarities of their predicted reactions. The x-axis indicates the range of reaction similarities (e.g., the column between 0.1 and 0.2 indicates the range (0.1, 0.2]); the y-axis shows the cluster ID and the cluster size. Each row in the heatmap corresponds to the reaction similarity distribution of a product belonging to a specific cluster; each block in the row corresponds to the frequency of reaction similarities within each similarity range, and the block color represents the scale of the frequency (e.g., a darker color indicates a higher frequency value). The clusters are labeled as 'HRD' for high-reaction-diversity clusters with average low reaction similarities, and 'LRD' for low-reaction-diversity clusters with average high reaction similarities. b Test product distributions over the number of reaction centers of HRD products. c Test product distributions over the number of reaction centers of LRD products.