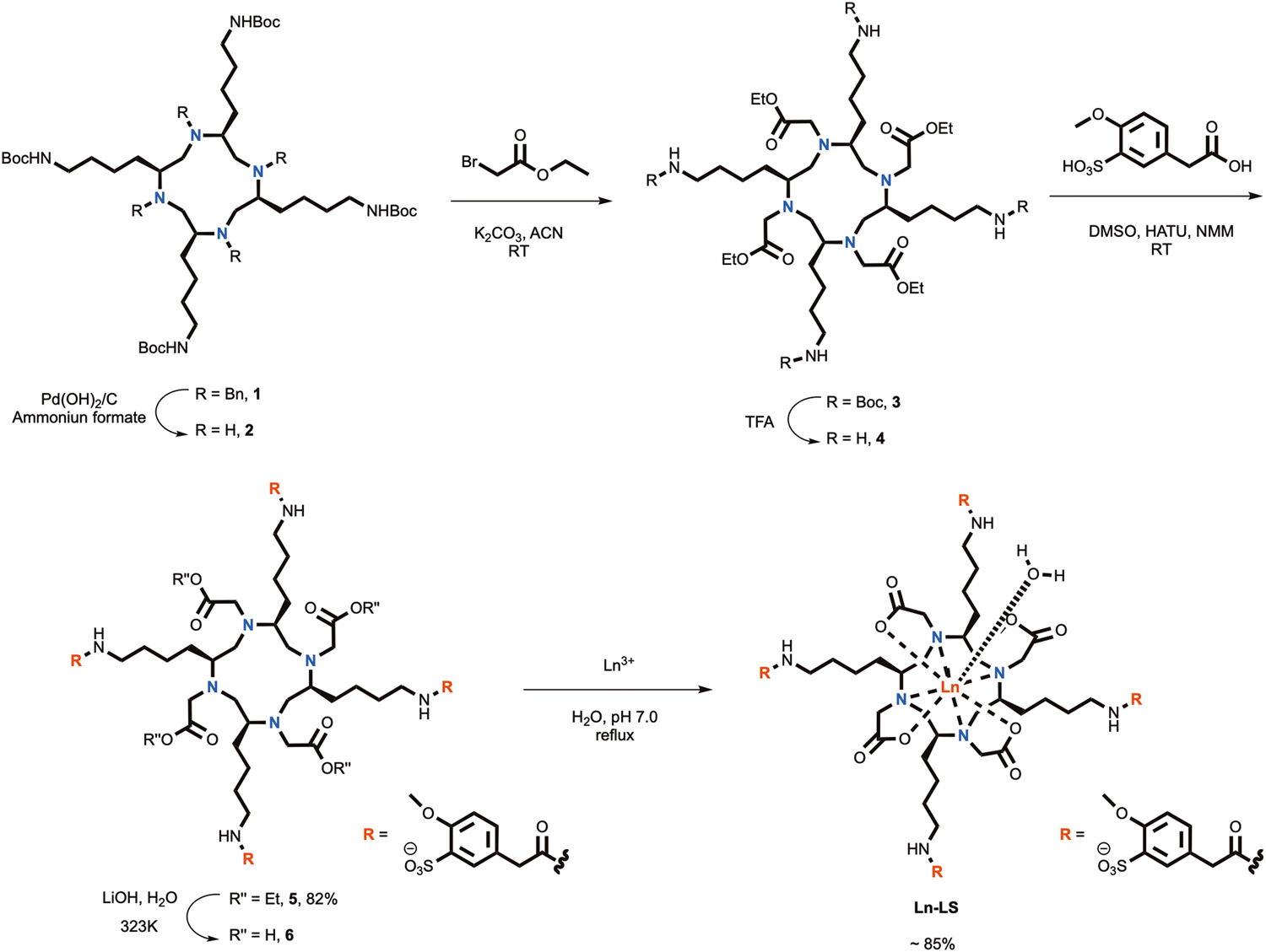
Fig. 2: Synthesis of Ln-LS.
From: Design and synthesis of chiral DOTA-based MRI contrast agents with remarkable relaxivities

Ln represents Eu(III) and Gd(III); counter ions are not shown for clarity.
From: Design and synthesis of chiral DOTA-based MRI contrast agents with remarkable relaxivities

Ln represents Eu(III) and Gd(III); counter ions are not shown for clarity.