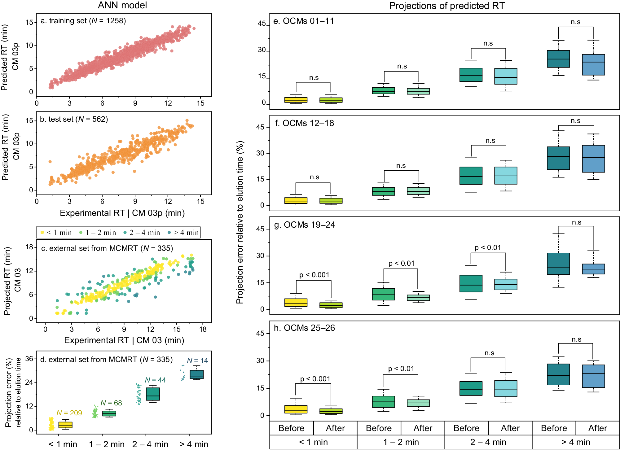
Fig. 7: QSRR model and predicted-experimental projection results before and after calibration.

a, b Correlations between experimental and predicted RTs for molecules in training (a) and validation sets (b) for QSRR model. c Correlation between experimental and projected RTs for molecules in MCMRT (external set). d Projection error relative to elution time for molecules with different prediction error. Panels e–h show the differences between predicted–experimental projection results before and after calibration for OCMs 01–11 (e), OCMs 12–18 (f), OCMs 19–24 (g), and OCMs 25–30 (h), respectively. All projections and calibrations from the 30 CMs (excluding ReICM 07) were used for calculation; the box plot represents median value (line) and interquartile range (25–75% percentiles) excluding outliers; the error bands represent 10–90% percentiles; P values obtained from t–tests are provided (n< 1 min = 2090, n1-2 min = 680, n2-4 min = 440, n> 4 min = 140 in OCMs 01–11; n< 1 min = 1463, n1-2 min = 476, n2-4 min = 308, n> 4 min = 98 in OCMs 12–18; n< 1 min = 1231, n1-2 min = 408, n2-4 min = 264, n> 4 min = 84 in OCMs 19–24; n< 1 min = 1254, n1-2 min = 408, n2-4 min = 264, n> 4 min = 84 in OCMs 25–30) for a 95% confidence interval.